在严格行为控制下神经性厌食症患者体重增加所需能量的相关因素:日本医疗监狱的一项研究。

IF 2.4 4区 医学 Q2 PSYCHIATRY
Chie Aso Suzuyama, Shu Takakura, Masato Takii, Junji Kishimoto, Kenta Toda, Makoto Yamashita, Tomokazu Hata, Nobuyuki Sudo
{"title":"在严格行为控制下神经性厌食症患者体重增加所需能量的相关因素:日本医疗监狱的一项研究。","authors":"Chie Aso Suzuyama, Shu Takakura, Masato Takii, Junji Kishimoto, Kenta Toda, Makoto Yamashita, Tomokazu Hata, Nobuyuki Sudo","doi":"10.1186/s13030-025-00332-0","DOIUrl":null,"url":null,"abstract":"<p><strong>Background: </strong>Weight restoration is a crucial factor in the treatment of anorexia nervosa (AN); however, there is currently no consensus on the amount of energy required to achieve weight gain in patients with AN.</p><p><strong>Methods: </strong>Forty-one patients with AN in a Japanese medical prison were included in the study. All the data were collected from their medical charts. Body weight and composition were measured using the multifrequency bioelectrical impedance device InBody 770®. Daily caloric intake was determined by subtracting the amount of calories in leftover food from that provided, and resting energy expenditure was calculated using Scalfi's formulation. These were then used to calculate daily amount of energy and energy necessary for a 1-kg weight gain (EE1). In addition, we investigated the relation between EE1 and the initial body composition values, body mass index, and AN subtype.</p><p><strong>Results: </strong>Of the 41 patients, two had EE1s that we considered outliers. Excluding these, the mean EE1 was 12,776.8 kcal/kg, with large individual differences observed (range: 6,636-22,064 kcal/kg). Significant associations were noted between EE1 and body fat mass, body fat percentage, soft lean percentage, and body water ratio. Moreover, patients with body fat mass (BFM) ≤ 3 kg (p = 0.003), body fat percentage (BFP) ≤ 8% (p = 0.008), soft lean percentage (SLP) > 85% (p = 0.011), and body water ratio (BWR) > 0.665 (p = 0.011) had higher mean EE1s.</p><p><strong>Conclusions: </strong>To gain weight, patients with AN may require a higher caloric intake than that reported in the literature for healthy women, particularly patients with less fat and more muscle. (242/350words).</p>","PeriodicalId":9027,"journal":{"name":"BioPsychoSocial Medicine","volume":"19 1","pages":"9"},"PeriodicalIF":2.4000,"publicationDate":"2025-07-01","publicationTypes":"Journal Article","fieldsOfStudy":null,"isOpenAccess":false,"openAccessPdf":"https://www.ncbi.nlm.nih.gov/pmc/articles/PMC12210703/pdf/","citationCount":"0","resultStr":"{\"title\":\"Factors related to the amount of energy required for weight gain in patients with anorexia nervosa under strict behavioral control: a study in a Japanese medical prison.\",\"authors\":\"Chie Aso Suzuyama, Shu Takakura, Masato Takii, Junji Kishimoto, Kenta Toda, Makoto Yamashita, Tomokazu Hata, Nobuyuki Sudo\",\"doi\":\"10.1186/s13030-025-00332-0\",\"DOIUrl\":null,\"url\":null,\"abstract\":\"<p><strong>Background: </strong>Weight restoration is a crucial factor in the treatment of anorexia nervosa (AN); however, there is currently no consensus on the amount of energy required to achieve weight gain in patients with AN.</p><p><strong>Methods: </strong>Forty-one patients with AN in a Japanese medical prison were included in the study. All the data were collected from their medical charts. Body weight and composition were measured using the multifrequency bioelectrical impedance device InBody 770®. Daily caloric intake was determined by subtracting the amount of calories in leftover food from that provided, and resting energy expenditure was calculated using Scalfi's formulation. These were then used to calculate daily amount of energy and energy necessary for a 1-kg weight gain (EE1). In addition, we investigated the relation between EE1 and the initial body composition values, body mass index, and AN subtype.</p><p><strong>Results: </strong>Of the 41 patients, two had EE1s that we considered outliers. Excluding these, the mean EE1 was 12,776.8 kcal/kg, with large individual differences observed (range: 6,636-22,064 kcal/kg). Significant associations were noted between EE1 and body fat mass, body fat percentage, soft lean percentage, and body water ratio. Moreover, patients with body fat mass (BFM) ≤ 3 kg (p = 0.003), body fat percentage (BFP) ≤ 8% (p = 0.008), soft lean percentage (SLP) > 85% (p = 0.011), and body water ratio (BWR) > 0.665 (p = 0.011) had higher mean EE1s.</p><p><strong>Conclusions: </strong>To gain weight, patients with AN may require a higher caloric intake than that reported in the literature for healthy women, particularly patients with less fat and more muscle. (242/350words).</p>\",\"PeriodicalId\":9027,\"journal\":{\"name\":\"BioPsychoSocial Medicine\",\"volume\":\"19 1\",\"pages\":\"9\"},\"PeriodicalIF\":2.4000,\"publicationDate\":\"2025-07-01\",\"publicationTypes\":\"Journal Article\",\"fieldsOfStudy\":null,\"isOpenAccess\":false,\"openAccessPdf\":\"https://www.ncbi.nlm.nih.gov/pmc/articles/PMC12210703/pdf/\",\"citationCount\":\"0\",\"resultStr\":null,\"platform\":\"Semanticscholar\",\"paperid\":null,\"PeriodicalName\":\"BioPsychoSocial Medicine\",\"FirstCategoryId\":\"3\",\"ListUrlMain\":\"https://doi.org/10.1186/s13030-025-00332-0\",\"RegionNum\":4,\"RegionCategory\":\"医学\",\"ArticlePicture\":[],\"TitleCN\":null,\"AbstractTextCN\":null,\"PMCID\":null,\"EPubDate\":\"\",\"PubModel\":\"\",\"JCR\":\"Q2\",\"JCRName\":\"PSYCHIATRY\",\"Score\":null,\"Total\":0}","platform":"Semanticscholar","paperid":null,"PeriodicalName":"BioPsychoSocial Medicine","FirstCategoryId":"3","ListUrlMain":"https://doi.org/10.1186/s13030-025-00332-0","RegionNum":4,"RegionCategory":"医学","ArticlePicture":[],"TitleCN":null,"AbstractTextCN":null,"PMCID":null,"EPubDate":"","PubModel":"","JCR":"Q2","JCRName":"PSYCHIATRY","Score":null,"Total":0}
引用次数: 0

摘要

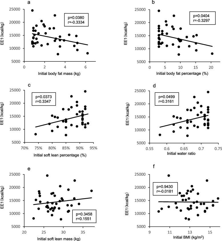
背景:体重恢复是神经性厌食症(AN)治疗的关键因素;然而,对于AN患者体重增加所需的能量,目前还没有达成共识。方法:选取日本某医疗监狱的41例AN患者作为研究对象。所有的数据都是从他们的病历中收集的。使用多频生物电阻抗装置InBody 770®测量体重和成分。每日卡路里摄入量是通过从提供的食物中减去剩余食物中的卡路里量来确定的,静息能量消耗是使用Scalfi公式计算的。然后用这些数据计算日能量和1公斤增重(EE1)所需的能量。此外,我们还研究了EE1与初始体成分值、体重指数和AN亚型之间的关系。结果:在41例患者中,我们认为有2例ee1异常值。排除这些因素,平均EE1为12,776.8 kcal/kg,个体差异很大(范围:6,636-22,064 kcal/kg)。EE1与体脂量、体脂率、软瘦率和体水比之间存在显著相关性。体脂质量(BFM)≤3 kg (p = 0.003)、体脂率(BFP)≤8% (p = 0.008)、软瘦率(SLP) > 85% (p = 0.011)、体水比(BWR) > 0.665 (p = 0.011)的患者平均EE1s较高。结论:为了增加体重,AN患者可能需要比文献中报道的健康女性更高的热量摄入,特别是脂肪较少而肌肉较多的患者。(242/350words)。
本文章由计算机程序翻译,如有差异,请以英文原文为准。

Factors related to the amount of energy required for weight gain in patients with anorexia nervosa under strict behavioral control: a study in a Japanese medical prison.

Factors related to the amount of energy required for weight gain in patients with anorexia nervosa under strict behavioral control: a study in a Japanese medical prison.

Factors related to the amount of energy required for weight gain in patients with anorexia nervosa under strict behavioral control: a study in a Japanese medical prison.

Background: Weight restoration is a crucial factor in the treatment of anorexia nervosa (AN); however, there is currently no consensus on the amount of energy required to achieve weight gain in patients with AN.

Methods: Forty-one patients with AN in a Japanese medical prison were included in the study. All the data were collected from their medical charts. Body weight and composition were measured using the multifrequency bioelectrical impedance device InBody 770®. Daily caloric intake was determined by subtracting the amount of calories in leftover food from that provided, and resting energy expenditure was calculated using Scalfi's formulation. These were then used to calculate daily amount of energy and energy necessary for a 1-kg weight gain (EE1). In addition, we investigated the relation between EE1 and the initial body composition values, body mass index, and AN subtype.

Results: Of the 41 patients, two had EE1s that we considered outliers. Excluding these, the mean EE1 was 12,776.8 kcal/kg, with large individual differences observed (range: 6,636-22,064 kcal/kg). Significant associations were noted between EE1 and body fat mass, body fat percentage, soft lean percentage, and body water ratio. Moreover, patients with body fat mass (BFM) ≤ 3 kg (p = 0.003), body fat percentage (BFP) ≤ 8% (p = 0.008), soft lean percentage (SLP) > 85% (p = 0.011), and body water ratio (BWR) > 0.665 (p = 0.011) had higher mean EE1s.

Conclusions: To gain weight, patients with AN may require a higher caloric intake than that reported in the literature for healthy women, particularly patients with less fat and more muscle. (242/350words).

求助全文
通过发布文献求助,成功后即可免费获取论文全文。 去求助
来源期刊
CiteScore
3.60
自引率
0.00%
发文量
23
审稿时长
18 weeks
期刊介绍: BioPsychoSocial Medicine is an open access, peer-reviewed online journal that encompasses all aspects of the interrelationships between the biological, psychological, social, and behavioral factors of health and illness. BioPsychoSocial Medicine is the official journal of the Japanese Society of Psychosomatic Medicine, and publishes research on psychosomatic disorders and diseases that are characterized by objective organic changes and/or functional changes that could be induced, progressed, aggravated, or exacerbated by psychological, social, and/or behavioral factors and their associated psychosomatic treatments.
×
引用
GB/T 7714-2015
复制
MLA
复制
APA
复制
导出至
BibTeX EndNote RefMan NoteFirst NoteExpress
×
提示
您的信息不完整,为了账户安全,请先补充。
现在去补充
×
提示
您因"违规操作"
具体请查看互助需知
我知道了
×
提示
确定
请完成安全验证×
copy
已复制链接
快去分享给好友吧!
我知道了
右上角分享
点击右上角分享
0
联系我们:info@booksci.cn Book学术提供免费学术资源搜索服务,方便国内外学者检索中英文文献。致力于提供最便捷和优质的服务体验。 Copyright © 2023 布克学术 All rights reserved.
京ICP备2023020795号-1
ghs 京公网安备 11010802042870号
Book学术文献互助
Book学术文献互助群
群 号:604180095
Book学术官方微信