对医院厕所微生物群落的多中心探索表明:医院环境中的抗生素暴露选择了肠球菌而不是共生类群。

IF 4.4 2区 医学 Q1 INFECTIOUS DISEASES
Claudio Neidhöfer, Marcel Neuenhoff, Esther Sib, Anna Rehm, Lúcia Ribeiro Dias, Bernd Neumann, Jörg Steinmann, Manuel Döhla, Yousra Kherabi, Ana Budimir, Crystel Hajjar, Rouba Khatib, Katharina Axtmann, Katjana Schwab, Peter Brossart, Steffen Engelhart, Nico T Mutters, Gabriele Bierbaum, Stefan Janssen, Marijo Parčina
{"title":"对医院厕所微生物群落的多中心探索表明:医院环境中的抗生素暴露选择了肠球菌而不是共生类群。","authors":"Claudio Neidhöfer, Marcel Neuenhoff, Esther Sib, Anna Rehm, Lúcia Ribeiro Dias, Bernd Neumann, Jörg Steinmann, Manuel Döhla, Yousra Kherabi, Ana Budimir, Crystel Hajjar, Rouba Khatib, Katharina Axtmann, Katjana Schwab, Peter Brossart, Steffen Engelhart, Nico T Mutters, Gabriele Bierbaum, Stefan Janssen, Marijo Parčina","doi":"10.1186/s13756-025-01600-y","DOIUrl":null,"url":null,"abstract":"<p><strong>Background: </strong>Excessive antibiotic utilization in hospital settings catalyzes the emergence and dissemination of multidrug resistant (MDR) bacteria, with sanitary facilities serving as critical vectors for their propagation. This study investigated the impact of patient antibiotic exposure on microbial diversity in hospital sanitary facilities, as well as the emergence of uniform communities and prospering taxa under antibiotic pressure.</p><p><strong>Methods: </strong>For this purpose a cross-sectional study was conducted between September 2022 and April 2023 from eight hospitals in seven cities across five countries, representing a diverse mix of tertiary care, military, oncological, psychiatric, and general teaching hospitals to analyze bacterial population differences in hospital toilets on wards with high versus minimal antibiotic administration using 16s rRNA amplicon sequencing.</p><p><strong>Results: </strong>PCoA analysis with Bray-Curtis and unweighted UniFrac metrics revealed microbial clustering influenced by antibiotic exposure and geography. Among all taxa analyzed, Enterococcus showed the strongest and most consistent association with high-exposure environments, making it one of the most striking findings in our dataset.</p><p><strong>Conclusion: </strong>Routine overuse of antimicrobial agents aimed at false patient safety promotes a high-risk environment in the sanitary facilities of respective wards. Hence, the issue of hospital acquired infections with MDR pathogens transcends mere pathogen spread, entailing significant changes to both environmental and microbial landscapes over time. The situation signals an emerging ecological problem within healthcare environments, and highlights the urgency for an integrated approach to antimicrobial stewardship. The low detection of key nosocomial Gram-negative genera likely reflects the focus on toilets rather than sinks or showers.</p>","PeriodicalId":7950,"journal":{"name":"Antimicrobial Resistance and Infection Control","volume":"14 1","pages":"78"},"PeriodicalIF":4.4000,"publicationDate":"2025-07-01","publicationTypes":"Journal Article","fieldsOfStudy":null,"isOpenAccess":false,"openAccessPdf":"https://www.ncbi.nlm.nih.gov/pmc/articles/PMC12220145/pdf/","citationCount":"0","resultStr":"{\"title\":\"Multicenter exploration of microbial communities in hospital toilets reveals: antibiotic exposure in a nosocomial settings selects for coEnterococcus over commensal taxa.\",\"authors\":\"Claudio Neidhöfer, Marcel Neuenhoff, Esther Sib, Anna Rehm, Lúcia Ribeiro Dias, Bernd Neumann, Jörg Steinmann, Manuel Döhla, Yousra Kherabi, Ana Budimir, Crystel Hajjar, Rouba Khatib, Katharina Axtmann, Katjana Schwab, Peter Brossart, Steffen Engelhart, Nico T Mutters, Gabriele Bierbaum, Stefan Janssen, Marijo Parčina\",\"doi\":\"10.1186/s13756-025-01600-y\",\"DOIUrl\":null,\"url\":null,\"abstract\":\"<p><strong>Background: </strong>Excessive antibiotic utilization in hospital settings catalyzes the emergence and dissemination of multidrug resistant (MDR) bacteria, with sanitary facilities serving as critical vectors for their propagation. This study investigated the impact of patient antibiotic exposure on microbial diversity in hospital sanitary facilities, as well as the emergence of uniform communities and prospering taxa under antibiotic pressure.</p><p><strong>Methods: </strong>For this purpose a cross-sectional study was conducted between September 2022 and April 2023 from eight hospitals in seven cities across five countries, representing a diverse mix of tertiary care, military, oncological, psychiatric, and general teaching hospitals to analyze bacterial population differences in hospital toilets on wards with high versus minimal antibiotic administration using 16s rRNA amplicon sequencing.</p><p><strong>Results: </strong>PCoA analysis with Bray-Curtis and unweighted UniFrac metrics revealed microbial clustering influenced by antibiotic exposure and geography. Among all taxa analyzed, Enterococcus showed the strongest and most consistent association with high-exposure environments, making it one of the most striking findings in our dataset.</p><p><strong>Conclusion: </strong>Routine overuse of antimicrobial agents aimed at false patient safety promotes a high-risk environment in the sanitary facilities of respective wards. Hence, the issue of hospital acquired infections with MDR pathogens transcends mere pathogen spread, entailing significant changes to both environmental and microbial landscapes over time. The situation signals an emerging ecological problem within healthcare environments, and highlights the urgency for an integrated approach to antimicrobial stewardship. The low detection of key nosocomial Gram-negative genera likely reflects the focus on toilets rather than sinks or showers.</p>\",\"PeriodicalId\":7950,\"journal\":{\"name\":\"Antimicrobial Resistance and Infection Control\",\"volume\":\"14 1\",\"pages\":\"78\"},\"PeriodicalIF\":4.4000,\"publicationDate\":\"2025-07-01\",\"publicationTypes\":\"Journal Article\",\"fieldsOfStudy\":null,\"isOpenAccess\":false,\"openAccessPdf\":\"https://www.ncbi.nlm.nih.gov/pmc/articles/PMC12220145/pdf/\",\"citationCount\":\"0\",\"resultStr\":null,\"platform\":\"Semanticscholar\",\"paperid\":null,\"PeriodicalName\":\"Antimicrobial Resistance and Infection Control\",\"FirstCategoryId\":\"3\",\"ListUrlMain\":\"https://doi.org/10.1186/s13756-025-01600-y\",\"RegionNum\":2,\"RegionCategory\":\"医学\",\"ArticlePicture\":[],\"TitleCN\":null,\"AbstractTextCN\":null,\"PMCID\":null,\"EPubDate\":\"\",\"PubModel\":\"\",\"JCR\":\"Q1\",\"JCRName\":\"INFECTIOUS DISEASES\",\"Score\":null,\"Total\":0}","platform":"Semanticscholar","paperid":null,"PeriodicalName":"Antimicrobial Resistance and Infection Control","FirstCategoryId":"3","ListUrlMain":"https://doi.org/10.1186/s13756-025-01600-y","RegionNum":2,"RegionCategory":"医学","ArticlePicture":[],"TitleCN":null,"AbstractTextCN":null,"PMCID":null,"EPubDate":"","PubModel":"","JCR":"Q1","JCRName":"INFECTIOUS DISEASES","Score":null,"Total":0}
引用次数: 0

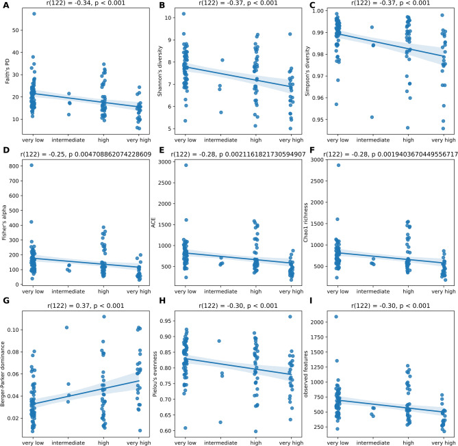
摘要

背景:医院环境中抗生素的过度使用催化了多药耐药(MDR)细菌的出现和传播,卫生设施是其传播的重要媒介。本研究探讨了患者抗生素暴露对医院卫生设施微生物多样性的影响,以及抗生素压力下统一群落和繁盛分类群的出现。方法:为此目的,在2022年9月至2023年4月期间,在5个国家7个城市的8家医院进行了一项横断面研究,代表了三级医疗、军事、肿瘤、精神病学和综合教学医院的不同组合,使用16s rRNA扩增子测序分析抗生素高剂量与低剂量给药病房的医院厕所细菌种群差异。结果:采用Bray-Curtis和un加权UniFrac指标进行的PCoA分析显示,抗生素暴露和地理位置对微生物聚类有影响。在分析的所有分类群中,肠球菌显示出与高暴露环境最强烈和最一致的关联,使其成为我们数据集中最引人注目的发现之一。结论:常规过度使用抗菌药物的目的是虚假的患者安全,促进了各自病房卫生设施的高风险环境。因此,耐多药病原体的医院获得性感染问题超越了单纯的病原体传播,随着时间的推移,环境和微生物景观都发生了重大变化。这种情况标志着卫生保健环境中出现的生态问题,并突出了采取综合方法进行抗菌剂管理的紧迫性。医院关键革兰氏阴性属的低检出率可能反映了对厕所而不是水槽或淋浴的关注。
本文章由计算机程序翻译,如有差异,请以英文原文为准。

Multicenter exploration of microbial communities in hospital toilets reveals: antibiotic exposure in a nosocomial settings selects for coEnterococcus over commensal taxa.

Multicenter exploration of microbial communities in hospital toilets reveals: antibiotic exposure in a nosocomial settings selects for coEnterococcus over commensal taxa.

Multicenter exploration of microbial communities in hospital toilets reveals: antibiotic exposure in a nosocomial settings selects for coEnterococcus over commensal taxa.

Multicenter exploration of microbial communities in hospital toilets reveals: antibiotic exposure in a nosocomial settings selects for coEnterococcus over commensal taxa.

Background: Excessive antibiotic utilization in hospital settings catalyzes the emergence and dissemination of multidrug resistant (MDR) bacteria, with sanitary facilities serving as critical vectors for their propagation. This study investigated the impact of patient antibiotic exposure on microbial diversity in hospital sanitary facilities, as well as the emergence of uniform communities and prospering taxa under antibiotic pressure.

Methods: For this purpose a cross-sectional study was conducted between September 2022 and April 2023 from eight hospitals in seven cities across five countries, representing a diverse mix of tertiary care, military, oncological, psychiatric, and general teaching hospitals to analyze bacterial population differences in hospital toilets on wards with high versus minimal antibiotic administration using 16s rRNA amplicon sequencing.

Results: PCoA analysis with Bray-Curtis and unweighted UniFrac metrics revealed microbial clustering influenced by antibiotic exposure and geography. Among all taxa analyzed, Enterococcus showed the strongest and most consistent association with high-exposure environments, making it one of the most striking findings in our dataset.

Conclusion: Routine overuse of antimicrobial agents aimed at false patient safety promotes a high-risk environment in the sanitary facilities of respective wards. Hence, the issue of hospital acquired infections with MDR pathogens transcends mere pathogen spread, entailing significant changes to both environmental and microbial landscapes over time. The situation signals an emerging ecological problem within healthcare environments, and highlights the urgency for an integrated approach to antimicrobial stewardship. The low detection of key nosocomial Gram-negative genera likely reflects the focus on toilets rather than sinks or showers.

求助全文
通过发布文献求助,成功后即可免费获取论文全文。 去求助
来源期刊
Antimicrobial Resistance and Infection Control
Antimicrobial Resistance and Infection Control PUBLIC, ENVIRONMENTAL & OCCUPATIONAL HEALTH -INFECTIOUS DISEASES
CiteScore
9.70
自引率
3.60%
发文量
140
审稿时长
13 weeks
期刊介绍: Antimicrobial Resistance and Infection Control is a global forum for all those working on the prevention, diagnostic and treatment of health-care associated infections and antimicrobial resistance development in all health-care settings. The journal covers a broad spectrum of preeminent practices and best available data to the top interventional and translational research, and innovative developments in the field of infection control.
×
引用
GB/T 7714-2015
复制
MLA
复制
APA
复制
导出至
BibTeX EndNote RefMan NoteFirst NoteExpress
×
提示
您的信息不完整,为了账户安全,请先补充。
现在去补充
×
提示
您因"违规操作"
具体请查看互助需知
我知道了
×
提示
确定
请完成安全验证×
copy
已复制链接
快去分享给好友吧!
我知道了
右上角分享
点击右上角分享
0
联系我们:info@booksci.cn Book学术提供免费学术资源搜索服务,方便国内外学者检索中英文文献。致力于提供最便捷和优质的服务体验。 Copyright © 2023 布克学术 All rights reserved.
京ICP备2023020795号-1
ghs 京公网安备 11010802042870号
Book学术文献互助
Book学术文献互助群
群 号:604180095
Book学术官方微信