0.125%阿托品外用治疗韩国近视儿童的临床观察。

Korean journal of ophthalmology : KJO Pub Date : 2025-08-01 Epub Date: 2025-06-30 DOI:10.3341/kjo.2025.0039
Dae Hee Kim, Jinu Han, Kyung-Ah Park, Hee Kyung Yang, Ungsoo Samuel Kim, Seung-Hyun Kim, Hae Jung Paik
{"title":"0.125%阿托品外用治疗韩国近视儿童的临床观察。","authors":"Dae Hee Kim, Jinu Han, Kyung-Ah Park, Hee Kyung Yang, Ungsoo Samuel Kim, Seung-Hyun Kim, Hae Jung Paik","doi":"10.3341/kjo.2025.0039","DOIUrl":null,"url":null,"abstract":"<p><strong>Purpose: </strong>To evaluate the effectiveness of 0.125% atropine eye drops in controlling myopia progression by analyzing 1-year follow-up data through a multicenter retrospective study in South Korea.</p><p><strong>Methods: </strong>A retrospective chart review was conducted across five centers, including 121 myopic children (aged 4-11 years) treated with 0.125% atropine between January 2021 and December 2023. An equal number of age-, sex-, axial length (AL)-, and spherical equivalent (SE)-matched untreated individuals (control group) were included. Baseline and follow-up data at 6 and 12 months included visual acuity, autorefraction, AL measurement (IOLMaster 700), and fundus examination. The primary outcome measures were changes in SE and AL compared to controls.</p><p><strong>Results: </strong>Age, SE, and AL in the treatment group at baseline were 7.5 ± 1.5 years (range, 4 to 11), -3.07 ± 1.65 diopters (D; range, -0.25 to -5.88 D), and 24.39 ± 0.85 mm (range, 22.19 to 26.94 mm), respectively, and these parameters showed no statistical differences compared to the matched controls. SE after 1-year treatment was less myopic in the treatment group (-3.42 ± 1.72 D vs. -3.94 ± 1.92 D, p = 0.019). Similarly, AL was significantly shorter in treatment group compared to the control group (24.65 ± 0.88 mm vs. 24.88 ± 0.80 mm, p = 0.031). The SE change from baseline was -0.33 ± 0.73 D in the treatment group versus -0.91 ± 1.01 D in the control group (p < 0.001). AL increased by 0.25 ± 0.32 mm in the treatment group, significantly less than 0.49 ± 0.24 mm increase in the control group (p < 0.001). Baseline AL and mean keratometry showed no correlation with AL progression (all p > 0.05).</p><p><strong>Conclusions: </strong>The use of 0.125% atropine eye drops significantly reduced myopia progression, with approximately 50% reduction in AL elongation compared to controls. Given its effectiveness and variable compliance, 0.125% atropine eye drops may serve as a viable alternative to low-dose atropine for myopia control.</p>","PeriodicalId":101356,"journal":{"name":"Korean journal of ophthalmology : KJO","volume":" ","pages":"323-329"},"PeriodicalIF":0.0000,"publicationDate":"2025-08-01","publicationTypes":"Journal Article","fieldsOfStudy":null,"isOpenAccess":false,"openAccessPdf":"https://www.ncbi.nlm.nih.gov/pmc/articles/PMC12358724/pdf/","citationCount":"0","resultStr":"{\"title\":\"Therapeutic Effect of Topical 0.125% Atropine in South Korean Myopic Children: A Real-World Experience.\",\"authors\":\"Dae Hee Kim, Jinu Han, Kyung-Ah Park, Hee Kyung Yang, Ungsoo Samuel Kim, Seung-Hyun Kim, Hae Jung Paik\",\"doi\":\"10.3341/kjo.2025.0039\",\"DOIUrl\":null,\"url\":null,\"abstract\":\"<p><strong>Purpose: </strong>To evaluate the effectiveness of 0.125% atropine eye drops in controlling myopia progression by analyzing 1-year follow-up data through a multicenter retrospective study in South Korea.</p><p><strong>Methods: </strong>A retrospective chart review was conducted across five centers, including 121 myopic children (aged 4-11 years) treated with 0.125% atropine between January 2021 and December 2023. An equal number of age-, sex-, axial length (AL)-, and spherical equivalent (SE)-matched untreated individuals (control group) were included. Baseline and follow-up data at 6 and 12 months included visual acuity, autorefraction, AL measurement (IOLMaster 700), and fundus examination. The primary outcome measures were changes in SE and AL compared to controls.</p><p><strong>Results: </strong>Age, SE, and AL in the treatment group at baseline were 7.5 ± 1.5 years (range, 4 to 11), -3.07 ± 1.65 diopters (D; range, -0.25 to -5.88 D), and 24.39 ± 0.85 mm (range, 22.19 to 26.94 mm), respectively, and these parameters showed no statistical differences compared to the matched controls. SE after 1-year treatment was less myopic in the treatment group (-3.42 ± 1.72 D vs. -3.94 ± 1.92 D, p = 0.019). Similarly, AL was significantly shorter in treatment group compared to the control group (24.65 ± 0.88 mm vs. 24.88 ± 0.80 mm, p = 0.031). The SE change from baseline was -0.33 ± 0.73 D in the treatment group versus -0.91 ± 1.01 D in the control group (p < 0.001). AL increased by 0.25 ± 0.32 mm in the treatment group, significantly less than 0.49 ± 0.24 mm increase in the control group (p < 0.001). Baseline AL and mean keratometry showed no correlation with AL progression (all p > 0.05).</p><p><strong>Conclusions: </strong>The use of 0.125% atropine eye drops significantly reduced myopia progression, with approximately 50% reduction in AL elongation compared to controls. Given its effectiveness and variable compliance, 0.125% atropine eye drops may serve as a viable alternative to low-dose atropine for myopia control.</p>\",\"PeriodicalId\":101356,\"journal\":{\"name\":\"Korean journal of ophthalmology : KJO\",\"volume\":\" \",\"pages\":\"323-329\"},\"PeriodicalIF\":0.0000,\"publicationDate\":\"2025-08-01\",\"publicationTypes\":\"Journal Article\",\"fieldsOfStudy\":null,\"isOpenAccess\":false,\"openAccessPdf\":\"https://www.ncbi.nlm.nih.gov/pmc/articles/PMC12358724/pdf/\",\"citationCount\":\"0\",\"resultStr\":null,\"platform\":\"Semanticscholar\",\"paperid\":null,\"PeriodicalName\":\"Korean journal of ophthalmology : KJO\",\"FirstCategoryId\":\"1085\",\"ListUrlMain\":\"https://doi.org/10.3341/kjo.2025.0039\",\"RegionNum\":0,\"RegionCategory\":null,\"ArticlePicture\":[],\"TitleCN\":null,\"AbstractTextCN\":null,\"PMCID\":null,\"EPubDate\":\"2025/6/30 0:00:00\",\"PubModel\":\"Epub\",\"JCR\":\"\",\"JCRName\":\"\",\"Score\":null,\"Total\":0}","platform":"Semanticscholar","paperid":null,"PeriodicalName":"Korean journal of ophthalmology : KJO","FirstCategoryId":"1085","ListUrlMain":"https://doi.org/10.3341/kjo.2025.0039","RegionNum":0,"RegionCategory":null,"ArticlePicture":[],"TitleCN":null,"AbstractTextCN":null,"PMCID":null,"EPubDate":"2025/6/30 0:00:00","PubModel":"Epub","JCR":"","JCRName":"","Score":null,"Total":0}
引用次数: 0

摘要

目的:通过对韩国一项多中心回顾性研究1年随访数据的分析,评价0.125%阿托品滴眼液控制近视进展的有效性。方法:对5个中心的121例(4-11岁)近视儿童(2021年1月至2023年12月期间使用0.125%阿托品治疗)进行回顾性图表回顾。年龄、性别、轴长(AL)、球体等效(SE)匹配的未治疗对照组纳入。6个月和12个月的基线和随访数据包括视力、自屈光、人工晶状体测量(IOL-Master 700)和眼底检查。主要结局指标是与对照组相比SE和AL的变化。结果:治疗组患者基线年龄为7.5±1.5(范围:4 ~ 11)岁,SE为-3.07±1.65(屈光度,D), AL为24.39±0.85 mm(范围:22.19 ~ 26.94),与对照组比较无统计学差异。治疗组1年后的SE近视程度较对照组低(-3.42±1.72 D vs -3.94±1.92 D, P = 0.020)。治疗组AL(24.65±0.88 mm)明显短于对照组(24.88±0.80 mm, P = 0.029)。与基线相比,治疗组SE变化为-0.33±0.73 D,对照组为-0.91±1.01 D (P < 0.001)。治疗组AL升高0.25±0.32 mm,显著低于对照组升高0.49±0.24 mm (P < 0.001)。基线AL和平均角膜度数与AL进展无相关性(p < 0.05)。结论:使用0.125%阿托品滴眼液可显著降低近视进展,与对照组相比,AL伸长降低约50%。鉴于其有效性和不同的依从性,0.125%阿托品滴眼液可作为低剂量阿托品控制近视的可行替代方案。
本文章由计算机程序翻译,如有差异,请以英文原文为准。

Therapeutic Effect of Topical 0.125% Atropine in South Korean Myopic Children: A Real-World Experience.

Therapeutic Effect of Topical 0.125% Atropine in South Korean Myopic Children: A Real-World Experience.

Therapeutic Effect of Topical 0.125% Atropine in South Korean Myopic Children: A Real-World Experience.

Therapeutic Effect of Topical 0.125% Atropine in South Korean Myopic Children: A Real-World Experience.

Purpose: To evaluate the effectiveness of 0.125% atropine eye drops in controlling myopia progression by analyzing 1-year follow-up data through a multicenter retrospective study in South Korea.

Methods: A retrospective chart review was conducted across five centers, including 121 myopic children (aged 4-11 years) treated with 0.125% atropine between January 2021 and December 2023. An equal number of age-, sex-, axial length (AL)-, and spherical equivalent (SE)-matched untreated individuals (control group) were included. Baseline and follow-up data at 6 and 12 months included visual acuity, autorefraction, AL measurement (IOLMaster 700), and fundus examination. The primary outcome measures were changes in SE and AL compared to controls.

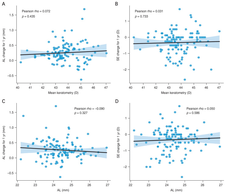
Results: Age, SE, and AL in the treatment group at baseline were 7.5 ± 1.5 years (range, 4 to 11), -3.07 ± 1.65 diopters (D; range, -0.25 to -5.88 D), and 24.39 ± 0.85 mm (range, 22.19 to 26.94 mm), respectively, and these parameters showed no statistical differences compared to the matched controls. SE after 1-year treatment was less myopic in the treatment group (-3.42 ± 1.72 D vs. -3.94 ± 1.92 D, p = 0.019). Similarly, AL was significantly shorter in treatment group compared to the control group (24.65 ± 0.88 mm vs. 24.88 ± 0.80 mm, p = 0.031). The SE change from baseline was -0.33 ± 0.73 D in the treatment group versus -0.91 ± 1.01 D in the control group (p < 0.001). AL increased by 0.25 ± 0.32 mm in the treatment group, significantly less than 0.49 ± 0.24 mm increase in the control group (p < 0.001). Baseline AL and mean keratometry showed no correlation with AL progression (all p > 0.05).

Conclusions: The use of 0.125% atropine eye drops significantly reduced myopia progression, with approximately 50% reduction in AL elongation compared to controls. Given its effectiveness and variable compliance, 0.125% atropine eye drops may serve as a viable alternative to low-dose atropine for myopia control.

求助全文
通过发布文献求助,成功后即可免费获取论文全文。 去求助
来源期刊
自引率
0.00%
发文量
0
×
引用
GB/T 7714-2015
复制
MLA
复制
APA
复制
导出至
BibTeX EndNote RefMan NoteFirst NoteExpress
×
提示
您的信息不完整,为了账户安全,请先补充。
现在去补充
×
提示
您因"违规操作"
具体请查看互助需知
我知道了
×
提示
确定
请完成安全验证×
copy
已复制链接
快去分享给好友吧!
我知道了
右上角分享
点击右上角分享
0
联系我们:info@booksci.cn Book学术提供免费学术资源搜索服务,方便国内外学者检索中英文文献。致力于提供最便捷和优质的服务体验。 Copyright © 2023 布克学术 All rights reserved.
京ICP备2023020795号-1
ghs 京公网安备 11010802042870号
Book学术文献互助
Book学术文献互助群
群 号:604180095
Book学术官方微信