应用d-二聚体与白蛋白比值结合中性粒细胞与淋巴细胞比值预测老年髋部骨折患者术前深静脉血栓形成。

IF 3.7 3区 医学 Q2 GERIATRICS & GERONTOLOGY
Clinical Interventions in Aging Pub Date : 2025-06-23 eCollection Date: 2025-01-01 DOI:10.2147/CIA.S523443
Wenbin Lu, Fan Jia, Miaomiao Rao, Wubin Chen, Yi Liu, Jinjun Bian
{"title":"应用d-二聚体与白蛋白比值结合中性粒细胞与淋巴细胞比值预测老年髋部骨折患者术前深静脉血栓形成。","authors":"Wenbin Lu, Fan Jia, Miaomiao Rao, Wubin Chen, Yi Liu, Jinjun Bian","doi":"10.2147/CIA.S523443","DOIUrl":null,"url":null,"abstract":"<p><strong>Objective: </strong>This study aimed to explore the potential value of the d-dimer to albumin ratio (DAR) combined with the neutrophil-to-lymphocyte ratio (NLR) for predicting preoperative lower extremity deep vein thrombosis (DVT) in older patients with hip fracture.</p><p><strong>Methods: </strong>Demographic characteristics, comorbidities, medication history, and preoperative laboratory test results were collected from older patients with hip fracture between 2018 and 2023. Binary logistic regression analysis was used to assess the association between the DAR, NLR, and DVT. Receiver operating characteristic (ROC) curve analysis was performed to calculate the potential value of DAR combined with NLR in predicting preoperative DVT.</p><p><strong>Results: </strong>A total of 1177 patients were included, of whom 23 (2%) developed lower extremity DVT before surgery. Multivariate logistic regression analysis indicated that age (OR = 1.08, 95% CI = 1.01~1.15, <i>P</i> = 0.015), DAR (OR = 1.53, 95% CI = 1.21~1.92, <i>P</i> < 0.001), and NLR (OR = 1.24, 95% CI = 1.10~1.39, <i>P</i> < 0.001) were independently associated with preoperative DVT in older patients with hip fractures. Furthermore, the ROC curve analysis indicated that DAR combined with NLR has a significant predictive value for DVT, with an area under the curve of 78.72% (95% CI = 68.24-89.20%).</p><p><strong>Conclusion: </strong>The preoperative DAR and NLR were independently associated with preoperative DVT in older patients with hip fractures. DAR combined with NLR can be considered as a predictive indicator of DVT.</p>","PeriodicalId":48841,"journal":{"name":"Clinical Interventions in Aging","volume":"20 ","pages":"873-879"},"PeriodicalIF":3.7000,"publicationDate":"2025-06-23","publicationTypes":"Journal Article","fieldsOfStudy":null,"isOpenAccess":false,"openAccessPdf":"https://www.ncbi.nlm.nih.gov/pmc/articles/PMC12204101/pdf/","citationCount":"0","resultStr":"{\"title\":\"Predicting Preoperative Deep Vein Thrombosis Using d-Dimer-to-Albumin Ratio Combined with Neutrophil-to-Lymphocyte Ratio in Older Patients with Hip Fracture.\",\"authors\":\"Wenbin Lu, Fan Jia, Miaomiao Rao, Wubin Chen, Yi Liu, Jinjun Bian\",\"doi\":\"10.2147/CIA.S523443\",\"DOIUrl\":null,\"url\":null,\"abstract\":\"<p><strong>Objective: </strong>This study aimed to explore the potential value of the d-dimer to albumin ratio (DAR) combined with the neutrophil-to-lymphocyte ratio (NLR) for predicting preoperative lower extremity deep vein thrombosis (DVT) in older patients with hip fracture.</p><p><strong>Methods: </strong>Demographic characteristics, comorbidities, medication history, and preoperative laboratory test results were collected from older patients with hip fracture between 2018 and 2023. Binary logistic regression analysis was used to assess the association between the DAR, NLR, and DVT. Receiver operating characteristic (ROC) curve analysis was performed to calculate the potential value of DAR combined with NLR in predicting preoperative DVT.</p><p><strong>Results: </strong>A total of 1177 patients were included, of whom 23 (2%) developed lower extremity DVT before surgery. Multivariate logistic regression analysis indicated that age (OR = 1.08, 95% CI = 1.01~1.15, <i>P</i> = 0.015), DAR (OR = 1.53, 95% CI = 1.21~1.92, <i>P</i> < 0.001), and NLR (OR = 1.24, 95% CI = 1.10~1.39, <i>P</i> < 0.001) were independently associated with preoperative DVT in older patients with hip fractures. Furthermore, the ROC curve analysis indicated that DAR combined with NLR has a significant predictive value for DVT, with an area under the curve of 78.72% (95% CI = 68.24-89.20%).</p><p><strong>Conclusion: </strong>The preoperative DAR and NLR were independently associated with preoperative DVT in older patients with hip fractures. DAR combined with NLR can be considered as a predictive indicator of DVT.</p>\",\"PeriodicalId\":48841,\"journal\":{\"name\":\"Clinical Interventions in Aging\",\"volume\":\"20 \",\"pages\":\"873-879\"},\"PeriodicalIF\":3.7000,\"publicationDate\":\"2025-06-23\",\"publicationTypes\":\"Journal Article\",\"fieldsOfStudy\":null,\"isOpenAccess\":false,\"openAccessPdf\":\"https://www.ncbi.nlm.nih.gov/pmc/articles/PMC12204101/pdf/\",\"citationCount\":\"0\",\"resultStr\":null,\"platform\":\"Semanticscholar\",\"paperid\":null,\"PeriodicalName\":\"Clinical Interventions in Aging\",\"FirstCategoryId\":\"3\",\"ListUrlMain\":\"https://doi.org/10.2147/CIA.S523443\",\"RegionNum\":3,\"RegionCategory\":\"医学\",\"ArticlePicture\":[],\"TitleCN\":null,\"AbstractTextCN\":null,\"PMCID\":null,\"EPubDate\":\"2025/1/1 0:00:00\",\"PubModel\":\"eCollection\",\"JCR\":\"Q2\",\"JCRName\":\"GERIATRICS & GERONTOLOGY\",\"Score\":null,\"Total\":0}","platform":"Semanticscholar","paperid":null,"PeriodicalName":"Clinical Interventions in Aging","FirstCategoryId":"3","ListUrlMain":"https://doi.org/10.2147/CIA.S523443","RegionNum":3,"RegionCategory":"医学","ArticlePicture":[],"TitleCN":null,"AbstractTextCN":null,"PMCID":null,"EPubDate":"2025/1/1 0:00:00","PubModel":"eCollection","JCR":"Q2","JCRName":"GERIATRICS & GERONTOLOGY","Score":null,"Total":0}
引用次数: 0

摘要

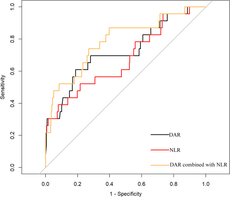
目的:探讨d-二聚体与白蛋白比值(DAR)联合中性粒细胞与淋巴细胞比值(NLR)预测老年髋部骨折患者术前下肢深静脉血栓形成(DVT)的潜在价值。方法:收集2018 - 2023年老年髋部骨折患者的人口学特征、合并症、用药史和术前实验室检查结果。采用二元logistic回归分析评估DAR、NLR和DVT之间的相关性。通过受试者工作特征(ROC)曲线分析,计算DAR联合NLR预测术前DVT的潜在价值。结果:共纳入1177例患者,其中23例(2%)术前发生下肢DVT。多因素logistic回归分析显示,年龄(OR = 1.08, 95% CI = 1.01~1.15, P = 0.015)、DAR (OR = 1.53, 95% CI = 1.21~1.92, P < 0.001)、NLR (OR = 1.24, 95% CI = 1.10~1.39, P < 0.001)与老年髋部骨折患者术前DVT独立相关。ROC曲线分析显示DAR联合NLR对DVT有显著的预测价值,曲线下面积为78.72% (95% CI = 68.24 ~ 89.20%)。结论:老年髋部骨折患者术前DAR和NLR与术前DVT独立相关。DAR联合NLR可作为DVT的预测指标。
本文章由计算机程序翻译,如有差异,请以英文原文为准。

Predicting Preoperative Deep Vein Thrombosis Using d-Dimer-to-Albumin Ratio Combined with Neutrophil-to-Lymphocyte Ratio in Older Patients with Hip Fracture.

Predicting Preoperative Deep Vein Thrombosis Using d-Dimer-to-Albumin Ratio Combined with Neutrophil-to-Lymphocyte Ratio in Older Patients with Hip Fracture.

Predicting Preoperative Deep Vein Thrombosis Using d-Dimer-to-Albumin Ratio Combined with Neutrophil-to-Lymphocyte Ratio in Older Patients with Hip Fracture.

Objective: This study aimed to explore the potential value of the d-dimer to albumin ratio (DAR) combined with the neutrophil-to-lymphocyte ratio (NLR) for predicting preoperative lower extremity deep vein thrombosis (DVT) in older patients with hip fracture.

Methods: Demographic characteristics, comorbidities, medication history, and preoperative laboratory test results were collected from older patients with hip fracture between 2018 and 2023. Binary logistic regression analysis was used to assess the association between the DAR, NLR, and DVT. Receiver operating characteristic (ROC) curve analysis was performed to calculate the potential value of DAR combined with NLR in predicting preoperative DVT.

Results: A total of 1177 patients were included, of whom 23 (2%) developed lower extremity DVT before surgery. Multivariate logistic regression analysis indicated that age (OR = 1.08, 95% CI = 1.01~1.15, P = 0.015), DAR (OR = 1.53, 95% CI = 1.21~1.92, P < 0.001), and NLR (OR = 1.24, 95% CI = 1.10~1.39, P < 0.001) were independently associated with preoperative DVT in older patients with hip fractures. Furthermore, the ROC curve analysis indicated that DAR combined with NLR has a significant predictive value for DVT, with an area under the curve of 78.72% (95% CI = 68.24-89.20%).

Conclusion: The preoperative DAR and NLR were independently associated with preoperative DVT in older patients with hip fractures. DAR combined with NLR can be considered as a predictive indicator of DVT.

求助全文
通过发布文献求助,成功后即可免费获取论文全文。 去求助
来源期刊
Clinical Interventions in Aging
Clinical Interventions in Aging GERIATRICS & GERONTOLOGY-
CiteScore
6.80
自引率
2.80%
发文量
193
审稿时长
6-12 weeks
期刊介绍: Clinical Interventions in Aging, is an online, peer reviewed, open access journal focusing on concise rapid reporting of original research and reviews in aging. Special attention will be given to papers reporting on actual or potential clinical applications leading to improved prevention or treatment of disease or a greater understanding of pathological processes that result from maladaptive changes in the body associated with aging. This journal is directed at a wide array of scientists, engineers, pharmacists, pharmacologists and clinical specialists wishing to maintain an up to date knowledge of this exciting and emerging field.
×
引用
GB/T 7714-2015
复制
MLA
复制
APA
复制
导出至
BibTeX EndNote RefMan NoteFirst NoteExpress
×
提示
您的信息不完整,为了账户安全,请先补充。
现在去补充
×
提示
您因"违规操作"
具体请查看互助需知
我知道了
×
提示
确定
请完成安全验证×
copy
已复制链接
快去分享给好友吧!
我知道了
右上角分享
点击右上角分享
0
联系我们:info@booksci.cn Book学术提供免费学术资源搜索服务,方便国内外学者检索中英文文献。致力于提供最便捷和优质的服务体验。 Copyright © 2023 布克学术 All rights reserved.
京ICP备2023020795号-1
ghs 京公网安备 11010802042870号
Book学术文献互助
Book学术文献互助群
群 号:604180095
Book学术官方微信