远程可视化教学对支气管镜短期培训后临床能力的影响。

IF 1.7 Q2 EDUCATION, SCIENTIFIC DISCIPLINES
Advances in Medical Education and Practice Pub Date : 2025-06-25 eCollection Date: 2025-01-01 DOI:10.2147/AMEP.S520363
Shupeng Wang, Dejing Song, Xiaocong Sun, Chen Li, Hui Wang, Junyu Ma, Wei Li
{"title":"远程可视化教学对支气管镜短期培训后临床能力的影响。","authors":"Shupeng Wang, Dejing Song, Xiaocong Sun, Chen Li, Hui Wang, Junyu Ma, Wei Li","doi":"10.2147/AMEP.S520363","DOIUrl":null,"url":null,"abstract":"<p><strong>Objective: </strong>To evaluate the impact of remote visualized teaching (RVT) on trainees' confidence and clinical competence after short-term traditional simulation-based bronchoscopy training.</p><p><strong>Methods: </strong>In this prospective self-controlled quasi-experimental study, two cohorts, with 24 trainees each, completed a one-day traditional bronchoscopy course and voluntarily joined a one-month RVT program. Confidence and clinical competence were evaluated before and after RVT using the Bronchoscopy Operator Confidence Scale (BOCS) and a modified Ontario Bronchoscopy Assessment Tool (OBAT), with scores analyzed using the Wilcoxon signed-rank test.</p><p><strong>Results: </strong>48 trainees from 43 hospitals (81.2% secondary-level) completed the RVT course. Median BOCS scores increased significantly from 60.0 (54.0-64.0) to 75.0 (72.0-81.0; p<0.001), with notable improvements in emergency response (2.00→3.50) and operational skills (2.75→3.50). Modified OBAT scores rose from 66.7 (60.7-74.4) to 79.7 (76.7-84.9; p<0.001), notably, there were significant improvements in the scores for operational skills, diagnostic abilities, and post-procedure management.</p><p><strong>Conclusion: </strong>Remote visualized teaching significantly enhances trainees' confidence and clinical competence, serving as a valuable adjunct to traditional bronchoscopy education.</p>","PeriodicalId":47404,"journal":{"name":"Advances in Medical Education and Practice","volume":"16 ","pages":"1055-1062"},"PeriodicalIF":1.7000,"publicationDate":"2025-06-25","publicationTypes":"Journal Article","fieldsOfStudy":null,"isOpenAccess":false,"openAccessPdf":"https://www.ncbi.nlm.nih.gov/pmc/articles/PMC12206910/pdf/","citationCount":"0","resultStr":"{\"title\":\"The Impact of Remote Visualized Teaching on Clinical Competence Following Short-Term Bronchoscopy Training.\",\"authors\":\"Shupeng Wang, Dejing Song, Xiaocong Sun, Chen Li, Hui Wang, Junyu Ma, Wei Li\",\"doi\":\"10.2147/AMEP.S520363\",\"DOIUrl\":null,\"url\":null,\"abstract\":\"<p><strong>Objective: </strong>To evaluate the impact of remote visualized teaching (RVT) on trainees' confidence and clinical competence after short-term traditional simulation-based bronchoscopy training.</p><p><strong>Methods: </strong>In this prospective self-controlled quasi-experimental study, two cohorts, with 24 trainees each, completed a one-day traditional bronchoscopy course and voluntarily joined a one-month RVT program. Confidence and clinical competence were evaluated before and after RVT using the Bronchoscopy Operator Confidence Scale (BOCS) and a modified Ontario Bronchoscopy Assessment Tool (OBAT), with scores analyzed using the Wilcoxon signed-rank test.</p><p><strong>Results: </strong>48 trainees from 43 hospitals (81.2% secondary-level) completed the RVT course. Median BOCS scores increased significantly from 60.0 (54.0-64.0) to 75.0 (72.0-81.0; p<0.001), with notable improvements in emergency response (2.00→3.50) and operational skills (2.75→3.50). Modified OBAT scores rose from 66.7 (60.7-74.4) to 79.7 (76.7-84.9; p<0.001), notably, there were significant improvements in the scores for operational skills, diagnostic abilities, and post-procedure management.</p><p><strong>Conclusion: </strong>Remote visualized teaching significantly enhances trainees' confidence and clinical competence, serving as a valuable adjunct to traditional bronchoscopy education.</p>\",\"PeriodicalId\":47404,\"journal\":{\"name\":\"Advances in Medical Education and Practice\",\"volume\":\"16 \",\"pages\":\"1055-1062\"},\"PeriodicalIF\":1.7000,\"publicationDate\":\"2025-06-25\",\"publicationTypes\":\"Journal Article\",\"fieldsOfStudy\":null,\"isOpenAccess\":false,\"openAccessPdf\":\"https://www.ncbi.nlm.nih.gov/pmc/articles/PMC12206910/pdf/\",\"citationCount\":\"0\",\"resultStr\":null,\"platform\":\"Semanticscholar\",\"paperid\":null,\"PeriodicalName\":\"Advances in Medical Education and Practice\",\"FirstCategoryId\":\"1085\",\"ListUrlMain\":\"https://doi.org/10.2147/AMEP.S520363\",\"RegionNum\":0,\"RegionCategory\":null,\"ArticlePicture\":[],\"TitleCN\":null,\"AbstractTextCN\":null,\"PMCID\":null,\"EPubDate\":\"2025/1/1 0:00:00\",\"PubModel\":\"eCollection\",\"JCR\":\"Q2\",\"JCRName\":\"EDUCATION, SCIENTIFIC DISCIPLINES\",\"Score\":null,\"Total\":0}","platform":"Semanticscholar","paperid":null,"PeriodicalName":"Advances in Medical Education and Practice","FirstCategoryId":"1085","ListUrlMain":"https://doi.org/10.2147/AMEP.S520363","RegionNum":0,"RegionCategory":null,"ArticlePicture":[],"TitleCN":null,"AbstractTextCN":null,"PMCID":null,"EPubDate":"2025/1/1 0:00:00","PubModel":"eCollection","JCR":"Q2","JCRName":"EDUCATION, SCIENTIFIC DISCIPLINES","Score":null,"Total":0}
引用次数: 0

摘要

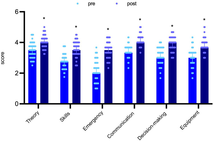
目的:评价远程可视化教学(RVT)对短期传统模拟支气管镜训练后学员信心和临床能力的影响。方法:在这项前瞻性、自我控制的准实验研究中,两组各有24名受训者完成了为期一天的传统支气管镜检查课程,并自愿参加了为期一个月的RVT计划。使用支气管镜操作员信心量表(BOCS)和改进的安大略省支气管镜评估工具(OBAT)评估RVT前后的信心和临床能力,并使用Wilcoxon符号秩检验对评分进行分析。结果:来自43家医院的48名学员(81.2%)完成了RVT课程。中位BOCS评分从60.0(54.0-64.0)显著增加到75.0 (72.0-81.0);结论:远程可视化教学可显著提高学员的自信心和临床能力,是传统支气管镜教学的有益补充。
本文章由计算机程序翻译,如有差异,请以英文原文为准。

The Impact of Remote Visualized Teaching on Clinical Competence Following Short-Term Bronchoscopy Training.

The Impact of Remote Visualized Teaching on Clinical Competence Following Short-Term Bronchoscopy Training.

The Impact of Remote Visualized Teaching on Clinical Competence Following Short-Term Bronchoscopy Training.

The Impact of Remote Visualized Teaching on Clinical Competence Following Short-Term Bronchoscopy Training.

Objective: To evaluate the impact of remote visualized teaching (RVT) on trainees' confidence and clinical competence after short-term traditional simulation-based bronchoscopy training.

Methods: In this prospective self-controlled quasi-experimental study, two cohorts, with 24 trainees each, completed a one-day traditional bronchoscopy course and voluntarily joined a one-month RVT program. Confidence and clinical competence were evaluated before and after RVT using the Bronchoscopy Operator Confidence Scale (BOCS) and a modified Ontario Bronchoscopy Assessment Tool (OBAT), with scores analyzed using the Wilcoxon signed-rank test.

Results: 48 trainees from 43 hospitals (81.2% secondary-level) completed the RVT course. Median BOCS scores increased significantly from 60.0 (54.0-64.0) to 75.0 (72.0-81.0; p<0.001), with notable improvements in emergency response (2.00→3.50) and operational skills (2.75→3.50). Modified OBAT scores rose from 66.7 (60.7-74.4) to 79.7 (76.7-84.9; p<0.001), notably, there were significant improvements in the scores for operational skills, diagnostic abilities, and post-procedure management.

Conclusion: Remote visualized teaching significantly enhances trainees' confidence and clinical competence, serving as a valuable adjunct to traditional bronchoscopy education.

求助全文
通过发布文献求助,成功后即可免费获取论文全文。 去求助
来源期刊
Advances in Medical Education and Practice
Advances in Medical Education and Practice EDUCATION, SCIENTIFIC DISCIPLINES-
CiteScore
3.10
自引率
10.00%
发文量
189
审稿时长
16 weeks
×
引用
GB/T 7714-2015
复制
MLA
复制
APA
复制
导出至
BibTeX EndNote RefMan NoteFirst NoteExpress
×
提示
您的信息不完整,为了账户安全,请先补充。
现在去补充
×
提示
您因"违规操作"
具体请查看互助需知
我知道了
×
提示
确定
请完成安全验证×
copy
已复制链接
快去分享给好友吧!
我知道了
右上角分享
点击右上角分享
0
联系我们:info@booksci.cn Book学术提供免费学术资源搜索服务,方便国内外学者检索中英文文献。致力于提供最便捷和优质的服务体验。 Copyright © 2023 布克学术 All rights reserved.
京ICP备2023020795号-1
ghs 京公网安备 11010802042870号
Book学术文献互助
Book学术文献互助群
群 号:604180095
Book学术官方微信