利用ct应变参数分析主动脉狭窄严重程度对左心功能的影响。

IF 5.3 2区 医学 Q1 RADIOLOGY, NUCLEAR MEDICINE & MEDICAL IMAGING
Sohee Park, Seung-Ah Lee, Jong Eun Lee, Joon-Won Kang, Dong Hyun Yang, Hyun Jung Koo
{"title":"利用ct应变参数分析主动脉狭窄严重程度对左心功能的影响。","authors":"Sohee Park, Seung-Ah Lee, Jong Eun Lee, Joon-Won Kang, Dong Hyun Yang, Hyun Jung Koo","doi":"10.3348/kjr.2024.1261","DOIUrl":null,"url":null,"abstract":"<p><strong>Objective: </strong>This study aimed to evaluate changes in left ventricular and left atrial mechanics in relation to the severity of aortic stenosis (AS) by comparing computed tomography (CT)-derived strain values in patients with mild-to-severe AS.</p><p><strong>Materials and methods: </strong>This single-center retrospective study included 120 patients (median age, 76 years; 45.0% male), comprising 30, 30, and 60 patients with mild, moderate, and severe AS, respectively, all of whom underwent multiphase cardiac CT between 2015 and 2021. Patients were selected from 177 individuals who met the initial eligibility criteria, with matching for age, sex, and hypertension in a 1:1:2 ratio across the mild, moderate, and severe AS groups. Electrocardiography-gated cardiac CT images were analyzed to obtain various quantitative left ventricle (LV) and left atrium (LA) strain parameters. Statistical differences in cardiac CT-derived LV and LA strain parameters among mild, moderate, and severe AS were evaluated using the Kruskal-Wallis test, followed by post-hoc tests.</p><p><strong>Results: </strong>The median LV global longitudinal strain differed significantly across AS severity (GLS: -19.4%, -18.2%, and -16.2% for mild, moderate, and severe AS, respectively; <i>P</i> < 0.001), with the absolute value decreasing as AS severity increased. Additionally, the median values of LV global circumferential strain (GCS: -29.8%, -30.8%, and -27.4%, respectively; <i>P</i> = 0.045), LV global radial strain (GRS: 50.1%, 50.3%, and 39.3%, respectively; <i>P</i> = 0.004), and LA conduit strain (11.5%, 11.2%, and 9.0%, respectively; <i>P</i> = 0.031) differed significantly according to AS severity, with lower absolute values observed in patients with severe AS.</p><p><strong>Conclusion: </strong>In patients with AS, CT-derived LV and LA strains revealed changes in myocardial deformation according to AS severity. Specifically, there was a gradual decrease in the absolute value of LV GLS with increasing AS severity and initial preservation until moderate AS, followed by an eventual decrease in the absolute values of LV GCS, LV GRS, and LA conduit strain in severe AS.</p>","PeriodicalId":17881,"journal":{"name":"Korean Journal of Radiology","volume":"26 7","pages":"626-637"},"PeriodicalIF":5.3000,"publicationDate":"2025-07-01","publicationTypes":"Journal Article","fieldsOfStudy":null,"isOpenAccess":false,"openAccessPdf":"https://www.ncbi.nlm.nih.gov/pmc/articles/PMC12235543/pdf/","citationCount":"0","resultStr":"{\"title\":\"Impact of Aortic Stenosis Severity on Left Heart Function Analyzed Using CT-Derived Strain Parameters.\",\"authors\":\"Sohee Park, Seung-Ah Lee, Jong Eun Lee, Joon-Won Kang, Dong Hyun Yang, Hyun Jung Koo\",\"doi\":\"10.3348/kjr.2024.1261\",\"DOIUrl\":null,\"url\":null,\"abstract\":\"<p><strong>Objective: </strong>This study aimed to evaluate changes in left ventricular and left atrial mechanics in relation to the severity of aortic stenosis (AS) by comparing computed tomography (CT)-derived strain values in patients with mild-to-severe AS.</p><p><strong>Materials and methods: </strong>This single-center retrospective study included 120 patients (median age, 76 years; 45.0% male), comprising 30, 30, and 60 patients with mild, moderate, and severe AS, respectively, all of whom underwent multiphase cardiac CT between 2015 and 2021. Patients were selected from 177 individuals who met the initial eligibility criteria, with matching for age, sex, and hypertension in a 1:1:2 ratio across the mild, moderate, and severe AS groups. Electrocardiography-gated cardiac CT images were analyzed to obtain various quantitative left ventricle (LV) and left atrium (LA) strain parameters. Statistical differences in cardiac CT-derived LV and LA strain parameters among mild, moderate, and severe AS were evaluated using the Kruskal-Wallis test, followed by post-hoc tests.</p><p><strong>Results: </strong>The median LV global longitudinal strain differed significantly across AS severity (GLS: -19.4%, -18.2%, and -16.2% for mild, moderate, and severe AS, respectively; <i>P</i> < 0.001), with the absolute value decreasing as AS severity increased. Additionally, the median values of LV global circumferential strain (GCS: -29.8%, -30.8%, and -27.4%, respectively; <i>P</i> = 0.045), LV global radial strain (GRS: 50.1%, 50.3%, and 39.3%, respectively; <i>P</i> = 0.004), and LA conduit strain (11.5%, 11.2%, and 9.0%, respectively; <i>P</i> = 0.031) differed significantly according to AS severity, with lower absolute values observed in patients with severe AS.</p><p><strong>Conclusion: </strong>In patients with AS, CT-derived LV and LA strains revealed changes in myocardial deformation according to AS severity. Specifically, there was a gradual decrease in the absolute value of LV GLS with increasing AS severity and initial preservation until moderate AS, followed by an eventual decrease in the absolute values of LV GCS, LV GRS, and LA conduit strain in severe AS.</p>\",\"PeriodicalId\":17881,\"journal\":{\"name\":\"Korean Journal of Radiology\",\"volume\":\"26 7\",\"pages\":\"626-637\"},\"PeriodicalIF\":5.3000,\"publicationDate\":\"2025-07-01\",\"publicationTypes\":\"Journal Article\",\"fieldsOfStudy\":null,\"isOpenAccess\":false,\"openAccessPdf\":\"https://www.ncbi.nlm.nih.gov/pmc/articles/PMC12235543/pdf/\",\"citationCount\":\"0\",\"resultStr\":null,\"platform\":\"Semanticscholar\",\"paperid\":null,\"PeriodicalName\":\"Korean Journal of Radiology\",\"FirstCategoryId\":\"3\",\"ListUrlMain\":\"https://doi.org/10.3348/kjr.2024.1261\",\"RegionNum\":2,\"RegionCategory\":\"医学\",\"ArticlePicture\":[],\"TitleCN\":null,\"AbstractTextCN\":null,\"PMCID\":null,\"EPubDate\":\"\",\"PubModel\":\"\",\"JCR\":\"Q1\",\"JCRName\":\"RADIOLOGY, NUCLEAR MEDICINE & MEDICAL IMAGING\",\"Score\":null,\"Total\":0}","platform":"Semanticscholar","paperid":null,"PeriodicalName":"Korean Journal of Radiology","FirstCategoryId":"3","ListUrlMain":"https://doi.org/10.3348/kjr.2024.1261","RegionNum":2,"RegionCategory":"医学","ArticlePicture":[],"TitleCN":null,"AbstractTextCN":null,"PMCID":null,"EPubDate":"","PubModel":"","JCR":"Q1","JCRName":"RADIOLOGY, NUCLEAR MEDICINE & MEDICAL IMAGING","Score":null,"Total":0}
引用次数: 0

摘要

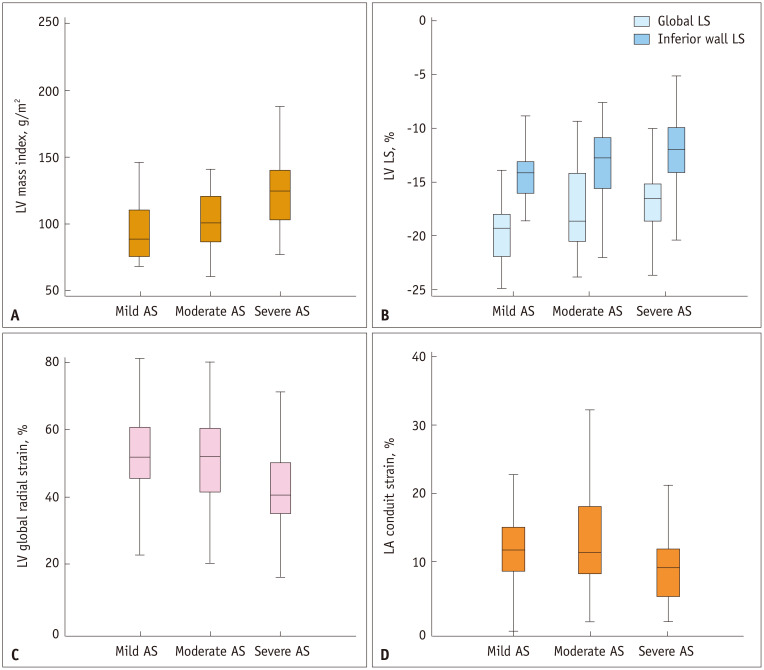
目的:本研究旨在通过比较轻至重度主动脉瓣狭窄(AS)患者的CT应变值来评估左心室和左心房力学变化与主动脉瓣狭窄(AS)严重程度的关系。材料和方法:本单中心回顾性研究纳入120例患者(中位年龄76岁;45.0%男性),分别包括30例、30例和60例轻度、中度和重度AS患者,所有患者均在2015年至2021年间接受了多期心脏CT检查。患者从177名符合初始资格标准的个体中选择,在轻度,中度和重度AS组中按1:1:2的比例匹配年龄,性别和高血压。分析心电图门控心脏CT图像,获得左心室(LV)和左心房(LA)的各种定量应变参数。使用Kruskal-Wallis检验评估轻度、中度和重度AS患者心脏ct衍生的左室和左室应变参数的统计学差异,随后进行事后检验。结果:中位LV整体纵向应变在AS严重程度上存在显著差异(轻度、中度和重度AS的GLS分别为-19.4%、-18.2%和-16.2%;P < 0.001),绝对值随as严重程度的增加而降低。LV整体周向应变(GCS)中值分别为-29.8%、-30.8%和-27.4%;P = 0.045)、LV整体径向应变(GRS分别为50.1%、50.3%和39.3%);P = 0.004), LA导管应变分别为11.5%、11.2%和9.0%;P = 0.031), AS严重程度差异有统计学意义,重度AS患者的绝对值较低。结论:在AS患者中,ct衍生的LV和LA株显示了不同程度AS患者心肌变形的变化。具体来说,随着AS严重程度和初始保存的增加,左室GLS的绝对值逐渐降低,直到中度AS,随后在严重AS中,左室GCS、左室GRS和LA导管应变的绝对值最终降低。
本文章由计算机程序翻译,如有差异,请以英文原文为准。

Impact of Aortic Stenosis Severity on Left Heart Function Analyzed Using CT-Derived Strain Parameters.

Impact of Aortic Stenosis Severity on Left Heart Function Analyzed Using CT-Derived Strain Parameters.

Impact of Aortic Stenosis Severity on Left Heart Function Analyzed Using CT-Derived Strain Parameters.

Impact of Aortic Stenosis Severity on Left Heart Function Analyzed Using CT-Derived Strain Parameters.

Objective: This study aimed to evaluate changes in left ventricular and left atrial mechanics in relation to the severity of aortic stenosis (AS) by comparing computed tomography (CT)-derived strain values in patients with mild-to-severe AS.

Materials and methods: This single-center retrospective study included 120 patients (median age, 76 years; 45.0% male), comprising 30, 30, and 60 patients with mild, moderate, and severe AS, respectively, all of whom underwent multiphase cardiac CT between 2015 and 2021. Patients were selected from 177 individuals who met the initial eligibility criteria, with matching for age, sex, and hypertension in a 1:1:2 ratio across the mild, moderate, and severe AS groups. Electrocardiography-gated cardiac CT images were analyzed to obtain various quantitative left ventricle (LV) and left atrium (LA) strain parameters. Statistical differences in cardiac CT-derived LV and LA strain parameters among mild, moderate, and severe AS were evaluated using the Kruskal-Wallis test, followed by post-hoc tests.

Results: The median LV global longitudinal strain differed significantly across AS severity (GLS: -19.4%, -18.2%, and -16.2% for mild, moderate, and severe AS, respectively; P < 0.001), with the absolute value decreasing as AS severity increased. Additionally, the median values of LV global circumferential strain (GCS: -29.8%, -30.8%, and -27.4%, respectively; P = 0.045), LV global radial strain (GRS: 50.1%, 50.3%, and 39.3%, respectively; P = 0.004), and LA conduit strain (11.5%, 11.2%, and 9.0%, respectively; P = 0.031) differed significantly according to AS severity, with lower absolute values observed in patients with severe AS.

Conclusion: In patients with AS, CT-derived LV and LA strains revealed changes in myocardial deformation according to AS severity. Specifically, there was a gradual decrease in the absolute value of LV GLS with increasing AS severity and initial preservation until moderate AS, followed by an eventual decrease in the absolute values of LV GCS, LV GRS, and LA conduit strain in severe AS.

求助全文
通过发布文献求助,成功后即可免费获取论文全文。 去求助
来源期刊
Korean Journal of Radiology
Korean Journal of Radiology 医学-核医学
CiteScore
10.60
自引率
12.50%
发文量
141
审稿时长
1.3 months
期刊介绍: The inaugural issue of the Korean J Radiol came out in March 2000. Our journal aims to produce and propagate knowledge on radiologic imaging and related sciences. A unique feature of the articles published in the Journal will be their reflection of global trends in radiology combined with an East-Asian perspective. Geographic differences in disease prevalence will be reflected in the contents of papers, and this will serve to enrich our body of knowledge. World''s outstanding radiologists from many countries are serving as editorial board of our journal.
×
引用
GB/T 7714-2015
复制
MLA
复制
APA
复制
导出至
BibTeX EndNote RefMan NoteFirst NoteExpress
×
提示
您的信息不完整,为了账户安全,请先补充。
现在去补充
×
提示
您因"违规操作"
具体请查看互助需知
我知道了
×
提示
确定
请完成安全验证×
copy
已复制链接
快去分享给好友吧!
我知道了
右上角分享
点击右上角分享
0
联系我们:info@booksci.cn Book学术提供免费学术资源搜索服务,方便国内外学者检索中英文文献。致力于提供最便捷和优质的服务体验。 Copyright © 2023 布克学术 All rights reserved.
京ICP备2023020795号-1
ghs 京公网安备 11010802042870号
Book学术文献互助
Book学术文献互助群
群 号:604180095
Book学术官方微信