利多卡因用于超声引导成人星状神经节阻滞的90%最小有效体积和浓度:一项倾斜硬币设计,上下顺序分配试验。

IF 6.3 4区 医学 Q1 ANESTHESIOLOGY
Korean Journal of Anesthesiology Pub Date : 2025-10-01 Epub Date: 2025-07-01 DOI:10.4097/kja.24607
Shujun Sun, Qinghua Yin, Jiwei Shen, Yang Lv, Long Li, Zhangyan Mao, Yun Lin, Xiangdong Chen, Dong Yang
{"title":"利多卡因用于超声引导成人星状神经节阻滞的90%最小有效体积和浓度:一项倾斜硬币设计,上下顺序分配试验。","authors":"Shujun Sun, Qinghua Yin, Jiwei Shen, Yang Lv, Long Li, Zhangyan Mao, Yun Lin, Xiangdong Chen, Dong Yang","doi":"10.4097/kja.24607","DOIUrl":null,"url":null,"abstract":"<p><strong>Background: </strong>As ultrasound imaging technology matured, stellate ganglion blocks (SGBs) have become increasingly precise and safe, and their use in clinical practice has become widespread. However, the 90% minimum effective volume (MEV90) and concentration (MEC90) of lidocaine for ultrasound-guided SGB remain unclear. We aimed to determine the MEV90 and MEC90 of lidocaine used in ultrasound-guided SGBs.</p><p><strong>Methods: </strong>Patients with indications for an SGB were recruited, without restrictions on sex or disease type. In this two-part study, we first determined the MEV90, and then used these results to determine the MEC90. The MEV90 and MEC90 of lidocaine for each subsequent patient were determined based on the previous patient's response, using a biased-coin design, up-and-down sequential allocation trial. The lidocaine volume and concentration intervals were 0.2 ml and 0.1%, respectively.</p><p><strong>Results: </strong>In total, 110 patients were enrolled (58 and 52 patients in the MEV90 and MEC90 studies, respectively). The MEV90 for 1% lidocaine was found to be 3.83 ml (95% CI [3.19-3.91]) and the extrapolated MEV99 was 3.97 ml (95% CI [3.95-5.29]). The MEC90 for lidocaine (4.0 ml) was found to be 0.38% (95% CI [0.32-0.41]) and the extrapolated MEC99 was 0.47% (95% CI [0.46-2.55]). Four patients in this study developed hoarseness, but no serious adverse events occurred.</p><p><strong>Conclusions: </strong>For ultrasound-guided SGB in adults, we have determined the MEV90 of 1% lidocaine as 3.83 ml, and identified the MEC90 of 4 ml of lidocaine as 0.38%.</p>","PeriodicalId":17855,"journal":{"name":"Korean Journal of Anesthesiology","volume":" ","pages":"471-481"},"PeriodicalIF":6.3000,"publicationDate":"2025-10-01","publicationTypes":"Journal Article","fieldsOfStudy":null,"isOpenAccess":false,"openAccessPdf":"https://www.ncbi.nlm.nih.gov/pmc/articles/PMC12489579/pdf/","citationCount":"0","resultStr":"{\"title\":\"The 90% minimum effective volume and concentration of lidocaine for ultrasound-guided stellate ganglion blocks in adults: a biased-coin design, up-and-down sequential allocation trial.\",\"authors\":\"Shujun Sun, Qinghua Yin, Jiwei Shen, Yang Lv, Long Li, Zhangyan Mao, Yun Lin, Xiangdong Chen, Dong Yang\",\"doi\":\"10.4097/kja.24607\",\"DOIUrl\":null,\"url\":null,\"abstract\":\"<p><strong>Background: </strong>As ultrasound imaging technology matured, stellate ganglion blocks (SGBs) have become increasingly precise and safe, and their use in clinical practice has become widespread. However, the 90% minimum effective volume (MEV90) and concentration (MEC90) of lidocaine for ultrasound-guided SGB remain unclear. We aimed to determine the MEV90 and MEC90 of lidocaine used in ultrasound-guided SGBs.</p><p><strong>Methods: </strong>Patients with indications for an SGB were recruited, without restrictions on sex or disease type. In this two-part study, we first determined the MEV90, and then used these results to determine the MEC90. The MEV90 and MEC90 of lidocaine for each subsequent patient were determined based on the previous patient's response, using a biased-coin design, up-and-down sequential allocation trial. The lidocaine volume and concentration intervals were 0.2 ml and 0.1%, respectively.</p><p><strong>Results: </strong>In total, 110 patients were enrolled (58 and 52 patients in the MEV90 and MEC90 studies, respectively). The MEV90 for 1% lidocaine was found to be 3.83 ml (95% CI [3.19-3.91]) and the extrapolated MEV99 was 3.97 ml (95% CI [3.95-5.29]). The MEC90 for lidocaine (4.0 ml) was found to be 0.38% (95% CI [0.32-0.41]) and the extrapolated MEC99 was 0.47% (95% CI [0.46-2.55]). Four patients in this study developed hoarseness, but no serious adverse events occurred.</p><p><strong>Conclusions: </strong>For ultrasound-guided SGB in adults, we have determined the MEV90 of 1% lidocaine as 3.83 ml, and identified the MEC90 of 4 ml of lidocaine as 0.38%.</p>\",\"PeriodicalId\":17855,\"journal\":{\"name\":\"Korean Journal of Anesthesiology\",\"volume\":\" \",\"pages\":\"471-481\"},\"PeriodicalIF\":6.3000,\"publicationDate\":\"2025-10-01\",\"publicationTypes\":\"Journal Article\",\"fieldsOfStudy\":null,\"isOpenAccess\":false,\"openAccessPdf\":\"https://www.ncbi.nlm.nih.gov/pmc/articles/PMC12489579/pdf/\",\"citationCount\":\"0\",\"resultStr\":null,\"platform\":\"Semanticscholar\",\"paperid\":null,\"PeriodicalName\":\"Korean Journal of Anesthesiology\",\"FirstCategoryId\":\"3\",\"ListUrlMain\":\"https://doi.org/10.4097/kja.24607\",\"RegionNum\":4,\"RegionCategory\":\"医学\",\"ArticlePicture\":[],\"TitleCN\":null,\"AbstractTextCN\":null,\"PMCID\":null,\"EPubDate\":\"2025/7/1 0:00:00\",\"PubModel\":\"Epub\",\"JCR\":\"Q1\",\"JCRName\":\"ANESTHESIOLOGY\",\"Score\":null,\"Total\":0}","platform":"Semanticscholar","paperid":null,"PeriodicalName":"Korean Journal of Anesthesiology","FirstCategoryId":"3","ListUrlMain":"https://doi.org/10.4097/kja.24607","RegionNum":4,"RegionCategory":"医学","ArticlePicture":[],"TitleCN":null,"AbstractTextCN":null,"PMCID":null,"EPubDate":"2025/7/1 0:00:00","PubModel":"Epub","JCR":"Q1","JCRName":"ANESTHESIOLOGY","Score":null,"Total":0}
引用次数: 0

摘要

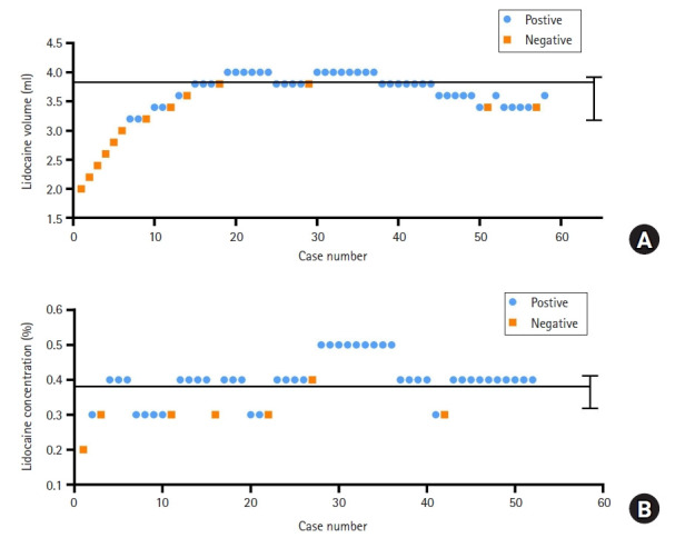
背景:随着超声成像技术的成熟,星状神经节阻滞(sgb)越来越精确和安全,在临床中的应用也越来越广泛。然而,利多卡因用于超声引导下SGB的90%最小有效体积(MEV90)和浓度(MEC90)尚不清楚。我们的目的是确定利多卡因在超声引导下用于sgb的MEV90和MEC90。方法:招募具有SGB适应症的患者,不受性别或疾病类型的限制。在这个分为两部分的研究中,我们首先确定了MEV90,然后利用这些结果确定了MEC90。根据先前患者的反应,采用偏硬币设计,上下顺序分配试验,确定每位后续患者的利多卡因MEV90和MEC90。利多卡因体积间隔为0.2 ml,浓度间隔为0.1%。结果:共有110例患者入组(MEV90和MEC90研究分别为58例和52例)。1%利多卡因组MEV90为3.83 ml (95%CI: 3.19, 3.91 ml),外推MEV99为3.97 ml (95%CI: 3.95, 5.29 ml)。利多卡因(4.0 ml)的MEC90为0.38% (95%CI: 0.32, 0.41%),外推MEC99为0.47% (95%CI: 0.46, 2.55%)。本研究中有4例患者出现声音嘶哑,但未发生严重不良事件。结论:超声引导成人SGB, 1%利多卡因时MEV90为3.83 ml, 4 ml利多卡因时MEV90为0.38%。
本文章由计算机程序翻译,如有差异,请以英文原文为准。

The 90% minimum effective volume and concentration of lidocaine for ultrasound-guided stellate ganglion blocks in adults: a biased-coin design, up-and-down sequential allocation trial.

The 90% minimum effective volume and concentration of lidocaine for ultrasound-guided stellate ganglion blocks in adults: a biased-coin design, up-and-down sequential allocation trial.

The 90% minimum effective volume and concentration of lidocaine for ultrasound-guided stellate ganglion blocks in adults: a biased-coin design, up-and-down sequential allocation trial.

The 90% minimum effective volume and concentration of lidocaine for ultrasound-guided stellate ganglion blocks in adults: a biased-coin design, up-and-down sequential allocation trial.

Background: As ultrasound imaging technology matured, stellate ganglion blocks (SGBs) have become increasingly precise and safe, and their use in clinical practice has become widespread. However, the 90% minimum effective volume (MEV90) and concentration (MEC90) of lidocaine for ultrasound-guided SGB remain unclear. We aimed to determine the MEV90 and MEC90 of lidocaine used in ultrasound-guided SGBs.

Methods: Patients with indications for an SGB were recruited, without restrictions on sex or disease type. In this two-part study, we first determined the MEV90, and then used these results to determine the MEC90. The MEV90 and MEC90 of lidocaine for each subsequent patient were determined based on the previous patient's response, using a biased-coin design, up-and-down sequential allocation trial. The lidocaine volume and concentration intervals were 0.2 ml and 0.1%, respectively.

Results: In total, 110 patients were enrolled (58 and 52 patients in the MEV90 and MEC90 studies, respectively). The MEV90 for 1% lidocaine was found to be 3.83 ml (95% CI [3.19-3.91]) and the extrapolated MEV99 was 3.97 ml (95% CI [3.95-5.29]). The MEC90 for lidocaine (4.0 ml) was found to be 0.38% (95% CI [0.32-0.41]) and the extrapolated MEC99 was 0.47% (95% CI [0.46-2.55]). Four patients in this study developed hoarseness, but no serious adverse events occurred.

Conclusions: For ultrasound-guided SGB in adults, we have determined the MEV90 of 1% lidocaine as 3.83 ml, and identified the MEC90 of 4 ml of lidocaine as 0.38%.

求助全文
通过发布文献求助,成功后即可免费获取论文全文。 去求助
来源期刊
CiteScore
6.20
自引率
6.90%
发文量
84
审稿时长
16 weeks
×
引用
GB/T 7714-2015
复制
MLA
复制
APA
复制
导出至
BibTeX EndNote RefMan NoteFirst NoteExpress
×
提示
您的信息不完整,为了账户安全,请先补充。
现在去补充
×
提示
您因"违规操作"
具体请查看互助需知
我知道了
×
提示
确定
请完成安全验证×
copy
已复制链接
快去分享给好友吧!
我知道了
右上角分享
点击右上角分享
0
联系我们:info@booksci.cn Book学术提供免费学术资源搜索服务,方便国内外学者检索中英文文献。致力于提供最便捷和优质的服务体验。 Copyright © 2023 布克学术 All rights reserved.
京ICP备2023020795号-1
ghs 京公网安备 11010802042870号
Book学术文献互助
Book学术文献互助群
群 号:604180095
Book学术官方微信