熟练护理机构废水监测:SARS-CoV-2和抗菌素耐药性检测中试研究

IF 2.4 4区 环境科学与生态学 Q3 ENVIRONMENTAL SCIENCES
Journal of water and health Pub Date : 2025-06-01 Epub Date: 2025-05-09 DOI:10.2166/wh.2025.374
Ariel Jose Santiago, Maria Burgos Garay, Mariya Campbell, Yimu Cahela, Rodney Donlan, Paige Gable, Christine Ganim Kyros, Lauren Franco, Leila Kartforosh, Susanna Lenz, Amanda K Lyons, Jamari Moore, Judith Noble-Wang, Carrie Sanders, Bethelhem Abera, Colin H Adler, Sophie Jones, Magdalena Medrzycki, Maroya S Walters, Peter Cook, Yan Li, Ying Tao, Jing Zhang, Lakshmi Malapati, Adam Retchless, Suxiang Tong, Angela D Coulliette-Salmond
{"title":"熟练护理机构废水监测:SARS-CoV-2和抗菌素耐药性检测中试研究","authors":"Ariel Jose Santiago, Maria Burgos Garay, Mariya Campbell, Yimu Cahela, Rodney Donlan, Paige Gable, Christine Ganim Kyros, Lauren Franco, Leila Kartforosh, Susanna Lenz, Amanda K Lyons, Jamari Moore, Judith Noble-Wang, Carrie Sanders, Bethelhem Abera, Colin H Adler, Sophie Jones, Magdalena Medrzycki, Maroya S Walters, Peter Cook, Yan Li, Ying Tao, Jing Zhang, Lakshmi Malapati, Adam Retchless, Suxiang Tong, Angela D Coulliette-Salmond","doi":"10.2166/wh.2025.374","DOIUrl":null,"url":null,"abstract":"<p><p>The purpose of this study was to determine the feasibility of facility-level wastewater surveillance in the detection of severe acute respiratory syndrome coronavirus 2 (SARS-CoV-2) in skilled nursing facility (SNF) wastewater using three concentration methods, as well as a proof-of-concept for antimicrobial resistance (AR) genes/organisms detection. Wastewater effluent samples were collected from an SNF over an 8-week period. Wastewater was concentrated using electronegative membrane filtration (enMF), polyethylene glycol precipitation, and Nanotrap<sup>®</sup> magnetic virus particles (NP). Quantification of the genome copy concentration from SARS-CoV-2 and bovine respiratory syncytial virus (BRSV), a SARS-CoV-2 surrogate spiked into all samples, was performed with droplet digital polymerase chain reaction (ddPCR). Wastewater sample aliquots were also enriched in microbiological culture media and screened for organisms with AR phenotypes on selective and differential agars. Multiplex real-time PCR was used to detect a broad array of carbapenem resistance genes. SARS-CoV-2 was detected and quantified from a single enMF-concentrated wastewater sample. The highest concentration of BRSV came from enMF-concentrated samples. <i>Klebsiella</i>, <i>Enterobacter</i>, <i>Citrobacter</i>, and <i>Escherichia coli</i> exhibiting AR phenotypes were successfully detected using culture-dependent approaches. Culture-independent, multiplex PCR indicated that bla<sub><i>KPC</i></sub> was the main carbapenemase gene detected in wastewater samples. Facility-level wastewater surveillance could be a useful strategy for SNFs.</p>","PeriodicalId":17436,"journal":{"name":"Journal of water and health","volume":"23 6","pages":"727-742"},"PeriodicalIF":2.4000,"publicationDate":"2025-06-01","publicationTypes":"Journal Article","fieldsOfStudy":null,"isOpenAccess":false,"openAccessPdf":"https://www.ncbi.nlm.nih.gov/pmc/articles/PMC12323735/pdf/","citationCount":"0","resultStr":"{\"title\":\"Skilled nursing facility wastewater surveillance: a SARS-CoV-2 and antimicrobial resistance detection pilot study.\",\"authors\":\"Ariel Jose Santiago, Maria Burgos Garay, Mariya Campbell, Yimu Cahela, Rodney Donlan, Paige Gable, Christine Ganim Kyros, Lauren Franco, Leila Kartforosh, Susanna Lenz, Amanda K Lyons, Jamari Moore, Judith Noble-Wang, Carrie Sanders, Bethelhem Abera, Colin H Adler, Sophie Jones, Magdalena Medrzycki, Maroya S Walters, Peter Cook, Yan Li, Ying Tao, Jing Zhang, Lakshmi Malapati, Adam Retchless, Suxiang Tong, Angela D Coulliette-Salmond\",\"doi\":\"10.2166/wh.2025.374\",\"DOIUrl\":null,\"url\":null,\"abstract\":\"<p><p>The purpose of this study was to determine the feasibility of facility-level wastewater surveillance in the detection of severe acute respiratory syndrome coronavirus 2 (SARS-CoV-2) in skilled nursing facility (SNF) wastewater using three concentration methods, as well as a proof-of-concept for antimicrobial resistance (AR) genes/organisms detection. Wastewater effluent samples were collected from an SNF over an 8-week period. Wastewater was concentrated using electronegative membrane filtration (enMF), polyethylene glycol precipitation, and Nanotrap<sup>®</sup> magnetic virus particles (NP). Quantification of the genome copy concentration from SARS-CoV-2 and bovine respiratory syncytial virus (BRSV), a SARS-CoV-2 surrogate spiked into all samples, was performed with droplet digital polymerase chain reaction (ddPCR). Wastewater sample aliquots were also enriched in microbiological culture media and screened for organisms with AR phenotypes on selective and differential agars. Multiplex real-time PCR was used to detect a broad array of carbapenem resistance genes. SARS-CoV-2 was detected and quantified from a single enMF-concentrated wastewater sample. The highest concentration of BRSV came from enMF-concentrated samples. <i>Klebsiella</i>, <i>Enterobacter</i>, <i>Citrobacter</i>, and <i>Escherichia coli</i> exhibiting AR phenotypes were successfully detected using culture-dependent approaches. Culture-independent, multiplex PCR indicated that bla<sub><i>KPC</i></sub> was the main carbapenemase gene detected in wastewater samples. Facility-level wastewater surveillance could be a useful strategy for SNFs.</p>\",\"PeriodicalId\":17436,\"journal\":{\"name\":\"Journal of water and health\",\"volume\":\"23 6\",\"pages\":\"727-742\"},\"PeriodicalIF\":2.4000,\"publicationDate\":\"2025-06-01\",\"publicationTypes\":\"Journal Article\",\"fieldsOfStudy\":null,\"isOpenAccess\":false,\"openAccessPdf\":\"https://www.ncbi.nlm.nih.gov/pmc/articles/PMC12323735/pdf/\",\"citationCount\":\"0\",\"resultStr\":null,\"platform\":\"Semanticscholar\",\"paperid\":null,\"PeriodicalName\":\"Journal of water and health\",\"FirstCategoryId\":\"93\",\"ListUrlMain\":\"https://doi.org/10.2166/wh.2025.374\",\"RegionNum\":4,\"RegionCategory\":\"环境科学与生态学\",\"ArticlePicture\":[],\"TitleCN\":null,\"AbstractTextCN\":null,\"PMCID\":null,\"EPubDate\":\"2025/5/9 0:00:00\",\"PubModel\":\"Epub\",\"JCR\":\"Q3\",\"JCRName\":\"ENVIRONMENTAL SCIENCES\",\"Score\":null,\"Total\":0}","platform":"Semanticscholar","paperid":null,"PeriodicalName":"Journal of water and health","FirstCategoryId":"93","ListUrlMain":"https://doi.org/10.2166/wh.2025.374","RegionNum":4,"RegionCategory":"环境科学与生态学","ArticlePicture":[],"TitleCN":null,"AbstractTextCN":null,"PMCID":null,"EPubDate":"2025/5/9 0:00:00","PubModel":"Epub","JCR":"Q3","JCRName":"ENVIRONMENTAL SCIENCES","Score":null,"Total":0}
引用次数: 0

摘要

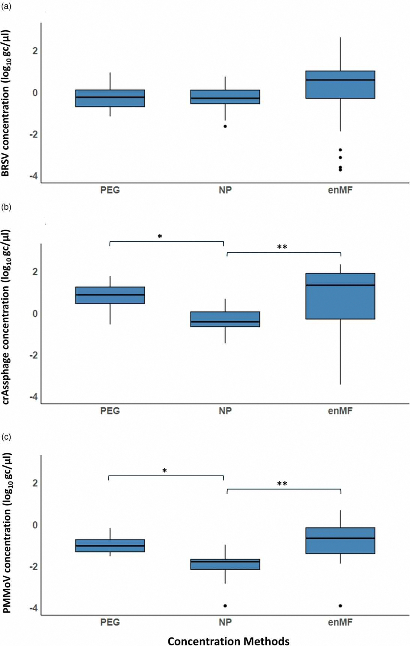
本研究的目的是确定设施级废水监测在熟练护理机构(SNF)废水中使用三种浓缩方法检测严重急性呼吸综合征冠状病毒2 (SARS-CoV-2)的可行性,以及检测抗微生物药物耐药性(AR)基因/生物的概念验证。在为期8周的时间内,从SNF收集废水排放样本。采用电负性膜过滤(enMF)、聚乙二醇沉淀法和Nanotrap®磁性病毒颗粒(NP)对废水进行浓缩。采用液滴数字聚合酶链反应(ddPCR)对SARS-CoV-2和牛呼吸道合胞病毒(BRSV)基因组拷贝浓度进行定量,BRSV是SARS-CoV-2的替代物。在微生物培养基中富集废水样品,并在选择性和差异琼脂上筛选具有AR表型的生物。多重实时荧光定量PCR检测多种碳青霉烯类耐药基因。从单个enmf浓缩废水样品中检测并定量了SARS-CoV-2。BRSV的最高浓度来自于enmf浓缩的样品。克雷伯氏菌、肠杆菌、柠檬酸杆菌和大肠杆菌表现出AR表型,使用培养依赖的方法成功检测到。培养不依赖的多重PCR结果表明,废水样品中检测到的碳青霉烯酶基因主要为blaKPC。设施级废水监测可能是snf的有用策略。
本文章由计算机程序翻译,如有差异,请以英文原文为准。

Skilled nursing facility wastewater surveillance: a SARS-CoV-2 and antimicrobial resistance detection pilot study.

Skilled nursing facility wastewater surveillance: a SARS-CoV-2 and antimicrobial resistance detection pilot study.

Skilled nursing facility wastewater surveillance: a SARS-CoV-2 and antimicrobial resistance detection pilot study.

Skilled nursing facility wastewater surveillance: a SARS-CoV-2 and antimicrobial resistance detection pilot study.

The purpose of this study was to determine the feasibility of facility-level wastewater surveillance in the detection of severe acute respiratory syndrome coronavirus 2 (SARS-CoV-2) in skilled nursing facility (SNF) wastewater using three concentration methods, as well as a proof-of-concept for antimicrobial resistance (AR) genes/organisms detection. Wastewater effluent samples were collected from an SNF over an 8-week period. Wastewater was concentrated using electronegative membrane filtration (enMF), polyethylene glycol precipitation, and Nanotrap® magnetic virus particles (NP). Quantification of the genome copy concentration from SARS-CoV-2 and bovine respiratory syncytial virus (BRSV), a SARS-CoV-2 surrogate spiked into all samples, was performed with droplet digital polymerase chain reaction (ddPCR). Wastewater sample aliquots were also enriched in microbiological culture media and screened for organisms with AR phenotypes on selective and differential agars. Multiplex real-time PCR was used to detect a broad array of carbapenem resistance genes. SARS-CoV-2 was detected and quantified from a single enMF-concentrated wastewater sample. The highest concentration of BRSV came from enMF-concentrated samples. Klebsiella, Enterobacter, Citrobacter, and Escherichia coli exhibiting AR phenotypes were successfully detected using culture-dependent approaches. Culture-independent, multiplex PCR indicated that blaKPC was the main carbapenemase gene detected in wastewater samples. Facility-level wastewater surveillance could be a useful strategy for SNFs.

求助全文
通过发布文献求助,成功后即可免费获取论文全文。 去求助
来源期刊
Journal of water and health
Journal of water and health 环境科学-环境科学
CiteScore
3.60
自引率
8.70%
发文量
110
审稿时长
18-36 weeks
期刊介绍: Journal of Water and Health is a peer-reviewed journal devoted to the dissemination of information on the health implications and control of waterborne microorganisms and chemical substances in the broadest sense for developing and developed countries worldwide. This is to include microbial toxins, chemical quality and the aesthetic qualities of water.
×
引用
GB/T 7714-2015
复制
MLA
复制
APA
复制
导出至
BibTeX EndNote RefMan NoteFirst NoteExpress
×
提示
您的信息不完整,为了账户安全,请先补充。
现在去补充
×
提示
您因"违规操作"
具体请查看互助需知
我知道了
×
提示
确定
请完成安全验证×
copy
已复制链接
快去分享给好友吧!
我知道了
右上角分享
点击右上角分享
0
联系我们:info@booksci.cn Book学术提供免费学术资源搜索服务,方便国内外学者检索中英文文献。致力于提供最便捷和优质的服务体验。 Copyright © 2023 布克学术 All rights reserved.
京ICP备2023020795号-1
ghs 京公网安备 11010802042870号
Book学术文献互助
Book学术文献互助群
群 号:604180095
Book学术官方微信