黄芩乙醇提取物对巨噬细胞迁移和M2极化的抑制作用。

IF 1.8 Q3 INTEGRATIVE & COMPLEMENTARY MEDICINE
Hyun-Ji Park, Shin-Hyung Park
{"title":"黄芩乙醇提取物对巨噬细胞迁移和M2极化的抑制作用。","authors":"Hyun-Ji Park, Shin-Hyung Park","doi":"10.3831/KPI.2025.28.2.144","DOIUrl":null,"url":null,"abstract":"<p><strong>Objectives: </strong>The root of <i>Scutellaria baicalensis</i> (SB) exhibits various pharmacological activities, including anticancer effects. This study aimed to investigate the anticancer effects of the ethanolic extract of SB root (ESB), with a particular focus on its regulatory influence on tumor-associated macrophages (TAMs).</p><p><strong>Methods: </strong>The effect of ESB on macrophage migration was evaluated using a transwell migration assay. Conditioned medium (CM) derived from lung cancer cells was used as a chemoattractant. M2 macrophage polarization was assessed by measuring the IL-4- or IL-6-induced expression of M2 macrophage markers (CD206, arginase-1, and IL-10) via real-time PCR. The phosphorylation of signal transducer and activator of transcription 3 (STAT3) was analyzed by Western blotting. The effect of ESB-regulated M2 polarization on lung cancer cell migration was evaluated using a transwell migration assay with CM from macrophages.</p><p><strong>Results: </strong>ESB significantly inhibited the migration of both RAW 264.7 and THP-1 macrophages. In addition, ESB suppressed IL-4- and IL-6-induced M2 macrophage marker expression and reduced STAT3 phosphorylation, indicating the inhibition of macrophage polarization into the M2 phenotype. Furthermore, CM from M2-polarized RAW 264.7 cells enhanced Lewis lung carcinoma (LLC) cell migration, whereas CM from RAW 264.7 cells co-treated with ESB and IL-6 markedly reversed this effect.</p><p><strong>Conclusion: </strong>These findings suggest that ESB attenuates macrophage migration and prevents M2 macrophage polarization, leading to the suppression of lung cancer cell migration. These results highlight the potential of ESB as an anticancer agent targeting TAMs.</p>","PeriodicalId":16769,"journal":{"name":"Journal of Pharmacopuncture","volume":"28 2","pages":"144-153"},"PeriodicalIF":1.8000,"publicationDate":"2025-06-30","publicationTypes":"Journal Article","fieldsOfStudy":null,"isOpenAccess":false,"openAccessPdf":"https://www.ncbi.nlm.nih.gov/pmc/articles/PMC12177566/pdf/","citationCount":"0","resultStr":"{\"title\":\"Suppression of Macrophage Migration and M2 Polarization by an Ethanolic Extract of <i>Scutellaria baicalensis</i> Root.\",\"authors\":\"Hyun-Ji Park, Shin-Hyung Park\",\"doi\":\"10.3831/KPI.2025.28.2.144\",\"DOIUrl\":null,\"url\":null,\"abstract\":\"<p><strong>Objectives: </strong>The root of <i>Scutellaria baicalensis</i> (SB) exhibits various pharmacological activities, including anticancer effects. This study aimed to investigate the anticancer effects of the ethanolic extract of SB root (ESB), with a particular focus on its regulatory influence on tumor-associated macrophages (TAMs).</p><p><strong>Methods: </strong>The effect of ESB on macrophage migration was evaluated using a transwell migration assay. Conditioned medium (CM) derived from lung cancer cells was used as a chemoattractant. M2 macrophage polarization was assessed by measuring the IL-4- or IL-6-induced expression of M2 macrophage markers (CD206, arginase-1, and IL-10) via real-time PCR. The phosphorylation of signal transducer and activator of transcription 3 (STAT3) was analyzed by Western blotting. The effect of ESB-regulated M2 polarization on lung cancer cell migration was evaluated using a transwell migration assay with CM from macrophages.</p><p><strong>Results: </strong>ESB significantly inhibited the migration of both RAW 264.7 and THP-1 macrophages. In addition, ESB suppressed IL-4- and IL-6-induced M2 macrophage marker expression and reduced STAT3 phosphorylation, indicating the inhibition of macrophage polarization into the M2 phenotype. Furthermore, CM from M2-polarized RAW 264.7 cells enhanced Lewis lung carcinoma (LLC) cell migration, whereas CM from RAW 264.7 cells co-treated with ESB and IL-6 markedly reversed this effect.</p><p><strong>Conclusion: </strong>These findings suggest that ESB attenuates macrophage migration and prevents M2 macrophage polarization, leading to the suppression of lung cancer cell migration. These results highlight the potential of ESB as an anticancer agent targeting TAMs.</p>\",\"PeriodicalId\":16769,\"journal\":{\"name\":\"Journal of Pharmacopuncture\",\"volume\":\"28 2\",\"pages\":\"144-153\"},\"PeriodicalIF\":1.8000,\"publicationDate\":\"2025-06-30\",\"publicationTypes\":\"Journal Article\",\"fieldsOfStudy\":null,\"isOpenAccess\":false,\"openAccessPdf\":\"https://www.ncbi.nlm.nih.gov/pmc/articles/PMC12177566/pdf/\",\"citationCount\":\"0\",\"resultStr\":null,\"platform\":\"Semanticscholar\",\"paperid\":null,\"PeriodicalName\":\"Journal of Pharmacopuncture\",\"FirstCategoryId\":\"1085\",\"ListUrlMain\":\"https://doi.org/10.3831/KPI.2025.28.2.144\",\"RegionNum\":0,\"RegionCategory\":null,\"ArticlePicture\":[],\"TitleCN\":null,\"AbstractTextCN\":null,\"PMCID\":null,\"EPubDate\":\"\",\"PubModel\":\"\",\"JCR\":\"Q3\",\"JCRName\":\"INTEGRATIVE & COMPLEMENTARY MEDICINE\",\"Score\":null,\"Total\":0}","platform":"Semanticscholar","paperid":null,"PeriodicalName":"Journal of Pharmacopuncture","FirstCategoryId":"1085","ListUrlMain":"https://doi.org/10.3831/KPI.2025.28.2.144","RegionNum":0,"RegionCategory":null,"ArticlePicture":[],"TitleCN":null,"AbstractTextCN":null,"PMCID":null,"EPubDate":"","PubModel":"","JCR":"Q3","JCRName":"INTEGRATIVE & COMPLEMENTARY MEDICINE","Score":null,"Total":0}
引用次数: 0

摘要

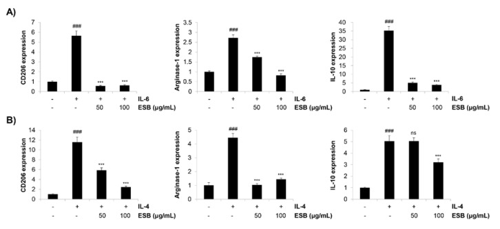
目的:黄芩(Scutellaria baicalensis, SB)具有多种药理活性,包括抗癌作用。本研究旨在探讨SB根乙醇提取物(ESB)的抗癌作用,特别关注其对肿瘤相关巨噬细胞(tam)的调节作用。方法:采用transwell迁移实验评估ESB对巨噬细胞迁移的影响。从肺癌细胞中提取的条件培养基(CM)被用作化学引诱剂。通过real-time PCR检测IL-4或il -6诱导的M2巨噬细胞标志物(CD206、精氨酸酶-1和IL-10)的表达,评估M2巨噬细胞极化。Western blotting分析信号转导因子和转录激活因子3 (STAT3)的磷酸化。利用巨噬细胞CM的transwell迁移实验评估了esb调节的M2极化对肺癌细胞迁移的影响。结果:ESB显著抑制了巨噬细胞RAW 264.7和THP-1的迁移。此外,ESB抑制IL-4-和il -6诱导的M2巨噬细胞标志物表达,降低STAT3磷酸化,表明巨噬细胞向M2表型极化受到抑制。此外,来自m2极化的RAW 264.7细胞的CM增强了Lewis肺癌(LLC)细胞的迁移,而与ESB和IL-6共同处理的RAW 264.7细胞的CM显着逆转了这一作用。结论:上述结果提示ESB可减弱巨噬细胞迁移,抑制M2巨噬细胞极化,从而抑制肺癌细胞迁移。这些结果突出了ESB作为靶向tam的抗癌剂的潜力。
本文章由计算机程序翻译,如有差异,请以英文原文为准。

Suppression of Macrophage Migration and M2 Polarization by an Ethanolic Extract of <i>Scutellaria baicalensis</i> Root.

Suppression of Macrophage Migration and M2 Polarization by an Ethanolic Extract of <i>Scutellaria baicalensis</i> Root.

Suppression of Macrophage Migration and M2 Polarization by an Ethanolic Extract of <i>Scutellaria baicalensis</i> Root.

Suppression of Macrophage Migration and M2 Polarization by an Ethanolic Extract of Scutellaria baicalensis Root.

Objectives: The root of Scutellaria baicalensis (SB) exhibits various pharmacological activities, including anticancer effects. This study aimed to investigate the anticancer effects of the ethanolic extract of SB root (ESB), with a particular focus on its regulatory influence on tumor-associated macrophages (TAMs).

Methods: The effect of ESB on macrophage migration was evaluated using a transwell migration assay. Conditioned medium (CM) derived from lung cancer cells was used as a chemoattractant. M2 macrophage polarization was assessed by measuring the IL-4- or IL-6-induced expression of M2 macrophage markers (CD206, arginase-1, and IL-10) via real-time PCR. The phosphorylation of signal transducer and activator of transcription 3 (STAT3) was analyzed by Western blotting. The effect of ESB-regulated M2 polarization on lung cancer cell migration was evaluated using a transwell migration assay with CM from macrophages.

Results: ESB significantly inhibited the migration of both RAW 264.7 and THP-1 macrophages. In addition, ESB suppressed IL-4- and IL-6-induced M2 macrophage marker expression and reduced STAT3 phosphorylation, indicating the inhibition of macrophage polarization into the M2 phenotype. Furthermore, CM from M2-polarized RAW 264.7 cells enhanced Lewis lung carcinoma (LLC) cell migration, whereas CM from RAW 264.7 cells co-treated with ESB and IL-6 markedly reversed this effect.

Conclusion: These findings suggest that ESB attenuates macrophage migration and prevents M2 macrophage polarization, leading to the suppression of lung cancer cell migration. These results highlight the potential of ESB as an anticancer agent targeting TAMs.

求助全文
通过发布文献求助,成功后即可免费获取论文全文。 去求助
来源期刊
Journal of Pharmacopuncture
Journal of Pharmacopuncture INTEGRATIVE & COMPLEMENTARY MEDICINE-
CiteScore
2.10
自引率
7.10%
发文量
42
审稿时长
10 weeks
期刊介绍: The Journal of Pharmacopuncture covers a wide range of basic and clinical science research relevant to all aspects of the biotechnology of integrated approaches using both pharmacology and acupuncture therapeutics, including research involving pharmacology, acupuncture studies and pharmacopuncture studies. The subjects are mainly divided into three categories: pharmacology (applied phytomedicine, plant sciences, pharmacology, toxicology, medicinal plants, traditional medicines, herbal medicine, Sasang constitutional medicine, herbal formulae, foods, agricultural technologies, naturopathy, etc.), acupuncture (acupressure, electroacupuncture, laser acupuncture, moxibustion, cupping, etc.), and pharmacopuncture (aqua-acupuncture, meridian pharmacopuncture, eight-principles pharmacopuncture, animal-based pharmacopuncture, mountain ginseng pharmacopuncture, bee venom therapy, needle embedding therapy, implant therapy, etc.). Other categories include chuna treatment, veterinary acupuncture and related animal studies, alternative medicines for treating cancer and cancer-related symptoms, etc. Broader topical coverage on the effects of acupuncture, the medical plants used in traditional and alternative medicine, pharmacological action and other related modalities, such as anthroposophy, homeopathy, ayurveda, bioelectromagnetic therapy, chiropractic, neural therapy and meditation, can be considered to be within the journal’s scope if based on acupoints and meridians. Submissions of original articles, review articles, systematic reviews, case reports, brief reports, opinions, commentaries, medical lectures, letters to the editor, photo-essays, technical notes, and book reviews are encouraged. Providing free access to the full text of all current and archived articles on its website (www.journal.ac), also searchable through a Google Scholar search.
×
引用
GB/T 7714-2015
复制
MLA
复制
APA
复制
导出至
BibTeX EndNote RefMan NoteFirst NoteExpress
×
提示
您的信息不完整,为了账户安全,请先补充。
现在去补充
×
提示
您因"违规操作"
具体请查看互助需知
我知道了
×
提示
确定
请完成安全验证×
copy
已复制链接
快去分享给好友吧!
我知道了
右上角分享
点击右上角分享
0
联系我们:info@booksci.cn Book学术提供免费学术资源搜索服务,方便国内外学者检索中英文文献。致力于提供最便捷和优质的服务体验。 Copyright © 2023 布克学术 All rights reserved.
京ICP备2023020795号-1
ghs 京公网安备 11010802042870号
Book学术文献互助
Book学术文献互助群
群 号:604180095
Book学术官方微信