微生物适应酸性,营养和金属丰富的湖泊在新西兰奥特罗阿。

IF 2.6 3区 生物学 Q3 BIOCHEMISTRY & MOLECULAR BIOLOGY
Laura Biessy, Jack Sissons, Joseph Kanyi Kihika, Susanna A Wood, John K Pearman
{"title":"微生物适应酸性,营养和金属丰富的湖泊在新西兰奥特罗阿。","authors":"Laura Biessy, Jack Sissons, Joseph Kanyi Kihika, Susanna A Wood, John K Pearman","doi":"10.1007/s00792-025-01393-3","DOIUrl":null,"url":null,"abstract":"<p><p>Four lakes in the same region of Aotearoa New Zealand were investigated to characterize sediment microbial communities and functions under contrasting environmental conditions. Two lakes, an acidic lake (Rototai) and a lake with elevated metals and nutrients (Killarney) were impacted by extreme stressors, while the lowland mesotrophic lake (Kaihoka East) and an alpine lake (Peel) were used as reference lakes. Using metabarcoding and metagenomics analysis, we profiled community composition, functional pathways, and resistance mechanisms in the lake sediments. Rototai contained high abundances of genes involved in sulfur cycling (assimilatory and dissimilatory sulfate reduction, sulfur oxidation) and acid tolerance (kdp potassium-transport system, ClcA antiporters). In contrast, Killarney had elevated abundances of genes involved in methanogenesis, however despite high metal concentrations, no enrichment of metal-resistance genes was detected. Kaihoka East contained the highest prokaryotic diversity and an elevated abundance of genes involved in nitrification. Although community taxonomic differences were modest across lakes, functional analyses revealed distinct metabolic adaptations. These findings highlight the utility of using metagenomic approaches to identify biogeochemical processes and stress-response strategies in lakes. Improved understanding of microbial functional diversity in surface sediments has implications for lake management, particularly in systems impacted by acidification, high nutrient loading, and metal contamination.</p>","PeriodicalId":12302,"journal":{"name":"Extremophiles","volume":"29 2","pages":"24"},"PeriodicalIF":2.6000,"publicationDate":"2025-06-28","publicationTypes":"Journal Article","fieldsOfStudy":null,"isOpenAccess":false,"openAccessPdf":"https://www.ncbi.nlm.nih.gov/pmc/articles/PMC12206176/pdf/","citationCount":"0","resultStr":"{\"title\":\"Microbial adaptations to acidic, nutrient- and metal-rich lakes in Aotearoa New Zealand.\",\"authors\":\"Laura Biessy, Jack Sissons, Joseph Kanyi Kihika, Susanna A Wood, John K Pearman\",\"doi\":\"10.1007/s00792-025-01393-3\",\"DOIUrl\":null,\"url\":null,\"abstract\":\"<p><p>Four lakes in the same region of Aotearoa New Zealand were investigated to characterize sediment microbial communities and functions under contrasting environmental conditions. Two lakes, an acidic lake (Rototai) and a lake with elevated metals and nutrients (Killarney) were impacted by extreme stressors, while the lowland mesotrophic lake (Kaihoka East) and an alpine lake (Peel) were used as reference lakes. Using metabarcoding and metagenomics analysis, we profiled community composition, functional pathways, and resistance mechanisms in the lake sediments. Rototai contained high abundances of genes involved in sulfur cycling (assimilatory and dissimilatory sulfate reduction, sulfur oxidation) and acid tolerance (kdp potassium-transport system, ClcA antiporters). In contrast, Killarney had elevated abundances of genes involved in methanogenesis, however despite high metal concentrations, no enrichment of metal-resistance genes was detected. Kaihoka East contained the highest prokaryotic diversity and an elevated abundance of genes involved in nitrification. Although community taxonomic differences were modest across lakes, functional analyses revealed distinct metabolic adaptations. These findings highlight the utility of using metagenomic approaches to identify biogeochemical processes and stress-response strategies in lakes. Improved understanding of microbial functional diversity in surface sediments has implications for lake management, particularly in systems impacted by acidification, high nutrient loading, and metal contamination.</p>\",\"PeriodicalId\":12302,\"journal\":{\"name\":\"Extremophiles\",\"volume\":\"29 2\",\"pages\":\"24\"},\"PeriodicalIF\":2.6000,\"publicationDate\":\"2025-06-28\",\"publicationTypes\":\"Journal Article\",\"fieldsOfStudy\":null,\"isOpenAccess\":false,\"openAccessPdf\":\"https://www.ncbi.nlm.nih.gov/pmc/articles/PMC12206176/pdf/\",\"citationCount\":\"0\",\"resultStr\":null,\"platform\":\"Semanticscholar\",\"paperid\":null,\"PeriodicalName\":\"Extremophiles\",\"FirstCategoryId\":\"99\",\"ListUrlMain\":\"https://doi.org/10.1007/s00792-025-01393-3\",\"RegionNum\":3,\"RegionCategory\":\"生物学\",\"ArticlePicture\":[],\"TitleCN\":null,\"AbstractTextCN\":null,\"PMCID\":null,\"EPubDate\":\"\",\"PubModel\":\"\",\"JCR\":\"Q3\",\"JCRName\":\"BIOCHEMISTRY & MOLECULAR BIOLOGY\",\"Score\":null,\"Total\":0}","platform":"Semanticscholar","paperid":null,"PeriodicalName":"Extremophiles","FirstCategoryId":"99","ListUrlMain":"https://doi.org/10.1007/s00792-025-01393-3","RegionNum":3,"RegionCategory":"生物学","ArticlePicture":[],"TitleCN":null,"AbstractTextCN":null,"PMCID":null,"EPubDate":"","PubModel":"","JCR":"Q3","JCRName":"BIOCHEMISTRY & MOLECULAR BIOLOGY","Score":null,"Total":0}
引用次数: 0

摘要

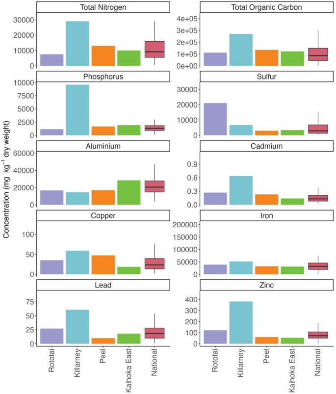
对新西兰奥特罗阿同一地区的4个湖泊在不同环境条件下的沉积物微生物群落和功能进行了研究。两个湖泊,一个酸性湖泊(Rototai)和一个金属和营养含量较高的湖泊(Killarney)受到极端应激源的影响,而低地中营养型湖泊(Kaihoka East)和一个高山湖泊(Peel)作为参考湖泊。利用元条形码和宏基因组学分析,研究了湖泊沉积物的群落组成、功能途径和抗性机制。Rototai含有高丰度的硫循环(同化和异化硫酸盐还原,硫氧化)和耐酸(kdp钾转运系统,ClcA反转运蛋白)相关基因。相比之下,基拉尼的产甲烷相关基因丰度升高,但尽管金属浓度很高,但没有检测到金属抗性基因的富集。Kaihoka East的原核生物多样性最高,与硝化有关的基因丰度也较高。虽然湖泊之间的群落分类学差异不大,但功能分析显示出不同的代谢适应。这些发现强调了使用宏基因组方法识别湖泊生物地球化学过程和应激反应策略的实用性。提高对表层沉积物微生物功能多样性的理解对湖泊管理具有重要意义,特别是在受酸化、高营养负荷和金属污染影响的系统中。
本文章由计算机程序翻译,如有差异,请以英文原文为准。

Microbial adaptations to acidic, nutrient- and metal-rich lakes in Aotearoa New Zealand.

Microbial adaptations to acidic, nutrient- and metal-rich lakes in Aotearoa New Zealand.

Microbial adaptations to acidic, nutrient- and metal-rich lakes in Aotearoa New Zealand.

Microbial adaptations to acidic, nutrient- and metal-rich lakes in Aotearoa New Zealand.

Four lakes in the same region of Aotearoa New Zealand were investigated to characterize sediment microbial communities and functions under contrasting environmental conditions. Two lakes, an acidic lake (Rototai) and a lake with elevated metals and nutrients (Killarney) were impacted by extreme stressors, while the lowland mesotrophic lake (Kaihoka East) and an alpine lake (Peel) were used as reference lakes. Using metabarcoding and metagenomics analysis, we profiled community composition, functional pathways, and resistance mechanisms in the lake sediments. Rototai contained high abundances of genes involved in sulfur cycling (assimilatory and dissimilatory sulfate reduction, sulfur oxidation) and acid tolerance (kdp potassium-transport system, ClcA antiporters). In contrast, Killarney had elevated abundances of genes involved in methanogenesis, however despite high metal concentrations, no enrichment of metal-resistance genes was detected. Kaihoka East contained the highest prokaryotic diversity and an elevated abundance of genes involved in nitrification. Although community taxonomic differences were modest across lakes, functional analyses revealed distinct metabolic adaptations. These findings highlight the utility of using metagenomic approaches to identify biogeochemical processes and stress-response strategies in lakes. Improved understanding of microbial functional diversity in surface sediments has implications for lake management, particularly in systems impacted by acidification, high nutrient loading, and metal contamination.

求助全文
通过发布文献求助,成功后即可免费获取论文全文。 去求助
来源期刊
Extremophiles
Extremophiles 生物-生化与分子生物学
CiteScore
6.80
自引率
6.90%
发文量
28
审稿时长
2 months
期刊介绍: Extremophiles features original research articles, reviews, and method papers on the biology, molecular biology, structure, function, and applications of microbial life at high or low temperature, pressure, acidity, alkalinity, salinity, or desiccation; or in the presence of organic solvents, heavy metals, normally toxic substances, or radiation.
×
引用
GB/T 7714-2015
复制
MLA
复制
APA
复制
导出至
BibTeX EndNote RefMan NoteFirst NoteExpress
×
提示
您的信息不完整,为了账户安全,请先补充。
现在去补充
×
提示
您因"违规操作"
具体请查看互助需知
我知道了
×
提示
确定
请完成安全验证×
copy
已复制链接
快去分享给好友吧!
我知道了
右上角分享
点击右上角分享
0
联系我们:info@booksci.cn Book学术提供免费学术资源搜索服务,方便国内外学者检索中英文文献。致力于提供最便捷和优质的服务体验。 Copyright © 2023 布克学术 All rights reserved.
京ICP备2023020795号-1
ghs 京公网安备 11010802042870号
Book学术文献互助
Book学术文献互助群
群 号:604180095
Book学术官方微信