增强化学合成计划:基于自动量子力学的定向基团C-H活化区域选择性预测。

IF 2.1 4区 化学 Q2 CHEMISTRY, ORGANIC
Beilstein Journal of Organic Chemistry Pub Date : 2025-06-16 eCollection Date: 2025-01-01 DOI:10.3762/bjoc.21.94
Julius Seumer, Nicolai Ree, Jan H Jensen
{"title":"增强化学合成计划:基于自动量子力学的定向基团C-H活化区域选择性预测。","authors":"Julius Seumer, Nicolai Ree, Jan H Jensen","doi":"10.3762/bjoc.21.94","DOIUrl":null,"url":null,"abstract":"<p><p>The mild and selective functionalization of carbon-hydrogen (C-H) bonds remains a pivotal challenge in organic synthesis, crucial for developing complex molecular architectures in pharmaceuticals, polymers, and agrochemicals. Despite advancements in directing group (DG) methodologies and computational approaches, predicting accurate regioselectivity in C-H activation poses significant difficulties due to the diversity and complexity of organic compounds. This study introduces a novel quantum mechanics-based computational workflow tailored for the regioselective prediction of C-H activation in the presence of DGs. Utilizing (semi-empirical) quantum calculations hierarchically, the workflow efficiently predicts outcomes by considering concerted metallation deprotonation mechanisms mediated by common catalysts like Pd(OAc)<sub>2</sub>. Our methodology not only identifies potential activation sites but also addresses the limitations of existing models by including a broader range of directing groups and reaction conditions while maintaining moderate computational cost. Validation against a comprehensive dataset reveals that the workflow achieves high accuracy, significantly surpassing traditional models in both speed and predictive capability. This development promises substantial advancements in the design of new synthetic routes, offering rapid and reliable regioselectivity predictions that are essential for accelerating innovation in materials science and medicinal chemistry.</p>","PeriodicalId":8756,"journal":{"name":"Beilstein Journal of Organic Chemistry","volume":"21 ","pages":"1171-1182"},"PeriodicalIF":2.1000,"publicationDate":"2025-06-16","publicationTypes":"Journal Article","fieldsOfStudy":null,"isOpenAccess":false,"openAccessPdf":"https://www.ncbi.nlm.nih.gov/pmc/articles/PMC12207270/pdf/","citationCount":"0","resultStr":"{\"title\":\"Enhancing chemical synthesis planning: automated quantum mechanics-based regioselectivity prediction for C-H activation with directing groups.\",\"authors\":\"Julius Seumer, Nicolai Ree, Jan H Jensen\",\"doi\":\"10.3762/bjoc.21.94\",\"DOIUrl\":null,\"url\":null,\"abstract\":\"<p><p>The mild and selective functionalization of carbon-hydrogen (C-H) bonds remains a pivotal challenge in organic synthesis, crucial for developing complex molecular architectures in pharmaceuticals, polymers, and agrochemicals. Despite advancements in directing group (DG) methodologies and computational approaches, predicting accurate regioselectivity in C-H activation poses significant difficulties due to the diversity and complexity of organic compounds. This study introduces a novel quantum mechanics-based computational workflow tailored for the regioselective prediction of C-H activation in the presence of DGs. Utilizing (semi-empirical) quantum calculations hierarchically, the workflow efficiently predicts outcomes by considering concerted metallation deprotonation mechanisms mediated by common catalysts like Pd(OAc)<sub>2</sub>. Our methodology not only identifies potential activation sites but also addresses the limitations of existing models by including a broader range of directing groups and reaction conditions while maintaining moderate computational cost. Validation against a comprehensive dataset reveals that the workflow achieves high accuracy, significantly surpassing traditional models in both speed and predictive capability. This development promises substantial advancements in the design of new synthetic routes, offering rapid and reliable regioselectivity predictions that are essential for accelerating innovation in materials science and medicinal chemistry.</p>\",\"PeriodicalId\":8756,\"journal\":{\"name\":\"Beilstein Journal of Organic Chemistry\",\"volume\":\"21 \",\"pages\":\"1171-1182\"},\"PeriodicalIF\":2.1000,\"publicationDate\":\"2025-06-16\",\"publicationTypes\":\"Journal Article\",\"fieldsOfStudy\":null,\"isOpenAccess\":false,\"openAccessPdf\":\"https://www.ncbi.nlm.nih.gov/pmc/articles/PMC12207270/pdf/\",\"citationCount\":\"0\",\"resultStr\":null,\"platform\":\"Semanticscholar\",\"paperid\":null,\"PeriodicalName\":\"Beilstein Journal of Organic Chemistry\",\"FirstCategoryId\":\"92\",\"ListUrlMain\":\"https://doi.org/10.3762/bjoc.21.94\",\"RegionNum\":4,\"RegionCategory\":\"化学\",\"ArticlePicture\":[],\"TitleCN\":null,\"AbstractTextCN\":null,\"PMCID\":null,\"EPubDate\":\"2025/1/1 0:00:00\",\"PubModel\":\"eCollection\",\"JCR\":\"Q2\",\"JCRName\":\"CHEMISTRY, ORGANIC\",\"Score\":null,\"Total\":0}","platform":"Semanticscholar","paperid":null,"PeriodicalName":"Beilstein Journal of Organic Chemistry","FirstCategoryId":"92","ListUrlMain":"https://doi.org/10.3762/bjoc.21.94","RegionNum":4,"RegionCategory":"化学","ArticlePicture":[],"TitleCN":null,"AbstractTextCN":null,"PMCID":null,"EPubDate":"2025/1/1 0:00:00","PubModel":"eCollection","JCR":"Q2","JCRName":"CHEMISTRY, ORGANIC","Score":null,"Total":0}
引用次数: 0

摘要

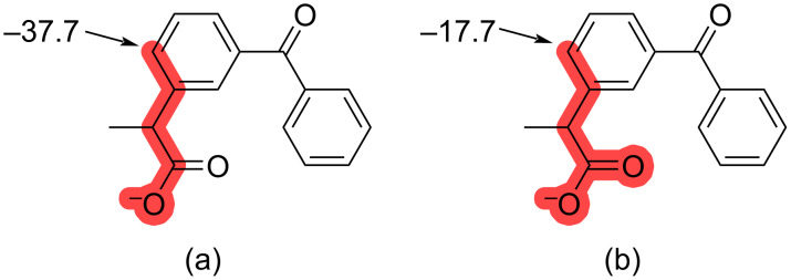
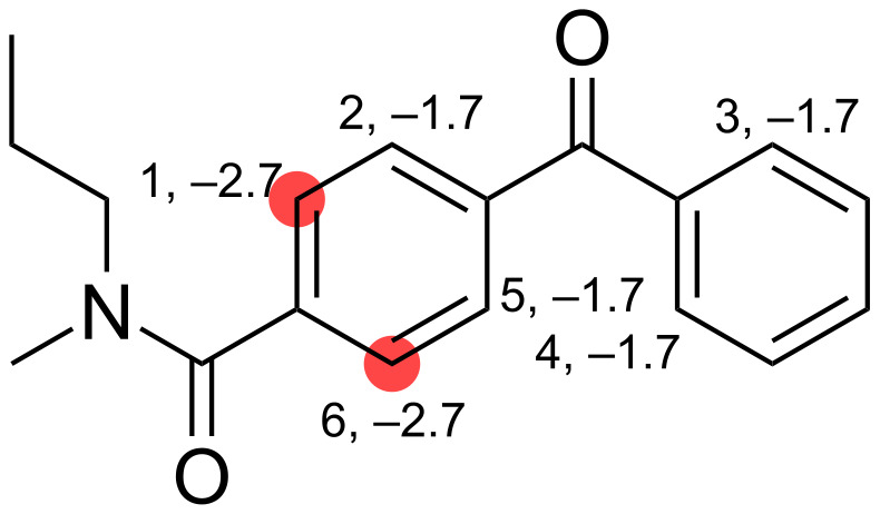
碳氢(C-H)键的温和和选择性功能化仍然是有机合成中的关键挑战,对于开发药物,聚合物和农用化学品的复杂分子结构至关重要。尽管定向基团(DG)方法和计算方法取得了进步,但由于有机化合物的多样性和复杂性,预测C-H活化的准确区域选择性存在很大困难。本研究引入了一种新的基于量子力学的计算工作流程,用于在dg存在下C-H活化的区域选择性预测。利用(半经验)量子计算分层,工作流通过考虑由常见催化剂(如Pd(OAc)2)介导的协同金属化去质子化机制有效地预测结果。我们的方法不仅确定了潜在的激活位点,还解决了现有模型的局限性,包括更广泛的指导基团和反应条件,同时保持适度的计算成本。对综合数据集的验证表明,工作流达到了很高的准确性,在速度和预测能力方面都大大超过了传统模型。这一发展有望在设计新的合成路线方面取得实质性进展,提供快速可靠的区域选择性预测,这对于加速材料科学和药物化学的创新至关重要。
本文章由计算机程序翻译,如有差异,请以英文原文为准。

Enhancing chemical synthesis planning: automated quantum mechanics-based regioselectivity prediction for C-H activation with directing groups.

Enhancing chemical synthesis planning: automated quantum mechanics-based regioselectivity prediction for C-H activation with directing groups.

Enhancing chemical synthesis planning: automated quantum mechanics-based regioselectivity prediction for C-H activation with directing groups.

Enhancing chemical synthesis planning: automated quantum mechanics-based regioselectivity prediction for C-H activation with directing groups.

The mild and selective functionalization of carbon-hydrogen (C-H) bonds remains a pivotal challenge in organic synthesis, crucial for developing complex molecular architectures in pharmaceuticals, polymers, and agrochemicals. Despite advancements in directing group (DG) methodologies and computational approaches, predicting accurate regioselectivity in C-H activation poses significant difficulties due to the diversity and complexity of organic compounds. This study introduces a novel quantum mechanics-based computational workflow tailored for the regioselective prediction of C-H activation in the presence of DGs. Utilizing (semi-empirical) quantum calculations hierarchically, the workflow efficiently predicts outcomes by considering concerted metallation deprotonation mechanisms mediated by common catalysts like Pd(OAc)2. Our methodology not only identifies potential activation sites but also addresses the limitations of existing models by including a broader range of directing groups and reaction conditions while maintaining moderate computational cost. Validation against a comprehensive dataset reveals that the workflow achieves high accuracy, significantly surpassing traditional models in both speed and predictive capability. This development promises substantial advancements in the design of new synthetic routes, offering rapid and reliable regioselectivity predictions that are essential for accelerating innovation in materials science and medicinal chemistry.

求助全文
通过发布文献求助,成功后即可免费获取论文全文。 去求助
来源期刊
CiteScore
4.90
自引率
3.70%
发文量
167
审稿时长
1.4 months
期刊介绍: The Beilstein Journal of Organic Chemistry is an international, peer-reviewed, Open Access journal. It provides a unique platform for rapid publication without any charges (free for author and reader) – Platinum Open Access. The content is freely accessible 365 days a year to any user worldwide. Articles are available online immediately upon publication and are publicly archived in all major repositories. In addition, it provides a platform for publishing thematic issues (theme-based collections of articles) on topical issues in organic chemistry. The journal publishes high quality research and reviews in all areas of organic chemistry, including organic synthesis, organic reactions, natural product chemistry, structural investigations, supramolecular chemistry and chemical biology.
×
引用
GB/T 7714-2015
复制
MLA
复制
APA
复制
导出至
BibTeX EndNote RefMan NoteFirst NoteExpress
×
提示
您的信息不完整,为了账户安全,请先补充。
现在去补充
×
提示
您因"违规操作"
具体请查看互助需知
我知道了
×
提示
确定
请完成安全验证×
copy
已复制链接
快去分享给好友吧!
我知道了
右上角分享
点击右上角分享
0
联系我们:info@booksci.cn Book学术提供免费学术资源搜索服务,方便国内外学者检索中英文文献。致力于提供最便捷和优质的服务体验。 Copyright © 2023 布克学术 All rights reserved.
京ICP备2023020795号-1
ghs 京公网安备 11010802042870号
Book学术文献互助
Book学术文献互助群
群 号:604180095
Book学术官方微信