生化质子转移反应的近似量子化学和机器学习势的基准。

IF 5.5 1区 化学 Q2 CHEMISTRY, PHYSICAL
Guilherme M. Arantes*,  and , Jan Řezáč, 
{"title":"生化质子转移反应的近似量子化学和机器学习势的基准。","authors":"Guilherme M. Arantes*,&nbsp; and ,&nbsp;Jan Řezáč,&nbsp;","doi":"10.1021/acs.jctc.5c00690","DOIUrl":null,"url":null,"abstract":"<p >Proton transfer reactions are among the most common chemical transformations and are central to enzymatic catalysis and bioenergetic processes. Their mechanisms are often investigated using DFT or approximate quantum chemical methods, whose accuracy directly impacts the reliability of the simulations. Here, a comprehensive set of semiempirical molecular orbital and tight-binding DFT approaches, along with recently developed machine learning (ML) potentials, are benchmarked against high-level MP2 reference data for a curated set of proton transfer reactions representative of biochemical systems. Relative energies, geometries, and dipole moments are evaluated for isolated reactions. Microsolvated reactions are also simulated using a hybrid QM/MM partition. Traditional DFT methods offer high accuracy in general but show markedly larger deviations for proton transfers involving nitrogen-containing groups. Among approximate models, RM1, PM6, PM7, DFTB2-NH, DFTB3, and GFN2-xTB show reasonable accuracy across properties, though their performance varies by chemical group. The ML-corrected (Δ-learning) model PM6-ML improves accuracy for all properties and chemical groups and transfers well to QM/MM simulations. Conversely, standalone ML potentials perform poorly for most reactions. These results provide a basis for evaluating approximate methods and selecting potentials for proton transfer simulations in complex environments.</p>","PeriodicalId":45,"journal":{"name":"Journal of Chemical Theory and Computation","volume":"21 14","pages":"7149–7159"},"PeriodicalIF":5.5000,"publicationDate":"2025-06-30","publicationTypes":"Journal Article","fieldsOfStudy":null,"isOpenAccess":false,"openAccessPdf":"https://www.ncbi.nlm.nih.gov/pmc/articles/PMC12288007/pdf/","citationCount":"0","resultStr":"{\"title\":\"Benchmark of Approximate Quantum Chemical and Machine Learning Potentials for Biochemical Proton Transfer Reactions\",\"authors\":\"Guilherme M. Arantes*,&nbsp; and ,&nbsp;Jan Řezáč,&nbsp;\",\"doi\":\"10.1021/acs.jctc.5c00690\",\"DOIUrl\":null,\"url\":null,\"abstract\":\"<p >Proton transfer reactions are among the most common chemical transformations and are central to enzymatic catalysis and bioenergetic processes. Their mechanisms are often investigated using DFT or approximate quantum chemical methods, whose accuracy directly impacts the reliability of the simulations. Here, a comprehensive set of semiempirical molecular orbital and tight-binding DFT approaches, along with recently developed machine learning (ML) potentials, are benchmarked against high-level MP2 reference data for a curated set of proton transfer reactions representative of biochemical systems. Relative energies, geometries, and dipole moments are evaluated for isolated reactions. Microsolvated reactions are also simulated using a hybrid QM/MM partition. Traditional DFT methods offer high accuracy in general but show markedly larger deviations for proton transfers involving nitrogen-containing groups. Among approximate models, RM1, PM6, PM7, DFTB2-NH, DFTB3, and GFN2-xTB show reasonable accuracy across properties, though their performance varies by chemical group. The ML-corrected (Δ-learning) model PM6-ML improves accuracy for all properties and chemical groups and transfers well to QM/MM simulations. Conversely, standalone ML potentials perform poorly for most reactions. These results provide a basis for evaluating approximate methods and selecting potentials for proton transfer simulations in complex environments.</p>\",\"PeriodicalId\":45,\"journal\":{\"name\":\"Journal of Chemical Theory and Computation\",\"volume\":\"21 14\",\"pages\":\"7149–7159\"},\"PeriodicalIF\":5.5000,\"publicationDate\":\"2025-06-30\",\"publicationTypes\":\"Journal Article\",\"fieldsOfStudy\":null,\"isOpenAccess\":false,\"openAccessPdf\":\"https://www.ncbi.nlm.nih.gov/pmc/articles/PMC12288007/pdf/\",\"citationCount\":\"0\",\"resultStr\":null,\"platform\":\"Semanticscholar\",\"paperid\":null,\"PeriodicalName\":\"Journal of Chemical Theory and Computation\",\"FirstCategoryId\":\"92\",\"ListUrlMain\":\"https://pubs.acs.org/doi/10.1021/acs.jctc.5c00690\",\"RegionNum\":1,\"RegionCategory\":\"化学\",\"ArticlePicture\":[],\"TitleCN\":null,\"AbstractTextCN\":null,\"PMCID\":null,\"EPubDate\":\"\",\"PubModel\":\"\",\"JCR\":\"Q2\",\"JCRName\":\"CHEMISTRY, PHYSICAL\",\"Score\":null,\"Total\":0}","platform":"Semanticscholar","paperid":null,"PeriodicalName":"Journal of Chemical Theory and Computation","FirstCategoryId":"92","ListUrlMain":"https://pubs.acs.org/doi/10.1021/acs.jctc.5c00690","RegionNum":1,"RegionCategory":"化学","ArticlePicture":[],"TitleCN":null,"AbstractTextCN":null,"PMCID":null,"EPubDate":"","PubModel":"","JCR":"Q2","JCRName":"CHEMISTRY, PHYSICAL","Score":null,"Total":0}
引用次数: 0

摘要

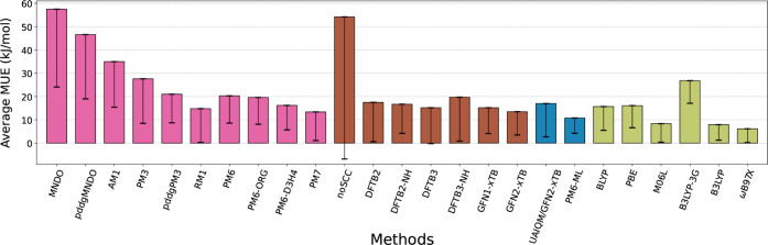
质子转移反应是最常见的化学转化之一,是酶催化和生物能量过程的核心。它们的机理通常使用DFT或近似量子化学方法进行研究,其准确性直接影响模拟的可靠性。在这里,一套全面的半经验分子轨道和紧密结合DFT方法,以及最近开发的机器学习(ML)电位,针对一组代表生化系统的质子转移反应的高水平MP2参考数据进行基准测试。对孤立反应的相对能量、几何形状和偶极矩进行了评价。微溶剂化反应也使用混合QM/MM分区进行模拟。传统的DFT方法通常具有较高的准确性,但对于含氮基团的质子转移,其偏差明显较大。在近似模型中,RM1、PM6、PM7、DFTB2-NH、DFTB3和GFN2-xTB在性质上表现出合理的准确性,尽管它们的性能因化学基团而异。ml校正(Δ-learning)模型PM6-ML提高了所有属性和化学基团的准确性,并很好地转移到QM/MM模拟。相反,独立的ML电位在大多数反应中表现不佳。这些结果为复杂环境下质子转移模拟的近似方法评价和电位选择提供了依据。
本文章由计算机程序翻译,如有差异,请以英文原文为准。

Benchmark of Approximate Quantum Chemical and Machine Learning Potentials for Biochemical Proton Transfer Reactions

Benchmark of Approximate Quantum Chemical and Machine Learning Potentials for Biochemical Proton Transfer Reactions

Benchmark of Approximate Quantum Chemical and Machine Learning Potentials for Biochemical Proton Transfer Reactions

Benchmark of Approximate Quantum Chemical and Machine Learning Potentials for Biochemical Proton Transfer Reactions

Proton transfer reactions are among the most common chemical transformations and are central to enzymatic catalysis and bioenergetic processes. Their mechanisms are often investigated using DFT or approximate quantum chemical methods, whose accuracy directly impacts the reliability of the simulations. Here, a comprehensive set of semiempirical molecular orbital and tight-binding DFT approaches, along with recently developed machine learning (ML) potentials, are benchmarked against high-level MP2 reference data for a curated set of proton transfer reactions representative of biochemical systems. Relative energies, geometries, and dipole moments are evaluated for isolated reactions. Microsolvated reactions are also simulated using a hybrid QM/MM partition. Traditional DFT methods offer high accuracy in general but show markedly larger deviations for proton transfers involving nitrogen-containing groups. Among approximate models, RM1, PM6, PM7, DFTB2-NH, DFTB3, and GFN2-xTB show reasonable accuracy across properties, though their performance varies by chemical group. The ML-corrected (Δ-learning) model PM6-ML improves accuracy for all properties and chemical groups and transfers well to QM/MM simulations. Conversely, standalone ML potentials perform poorly for most reactions. These results provide a basis for evaluating approximate methods and selecting potentials for proton transfer simulations in complex environments.

求助全文
通过发布文献求助,成功后即可免费获取论文全文。 去求助
来源期刊
Journal of Chemical Theory and Computation
Journal of Chemical Theory and Computation 化学-物理:原子、分子和化学物理
CiteScore
9.90
自引率
16.40%
发文量
568
审稿时长
1 months
期刊介绍: The Journal of Chemical Theory and Computation invites new and original contributions with the understanding that, if accepted, they will not be published elsewhere. Papers reporting new theories, methodology, and/or important applications in quantum electronic structure, molecular dynamics, and statistical mechanics are appropriate for submission to this Journal. Specific topics include advances in or applications of ab initio quantum mechanics, density functional theory, design and properties of new materials, surface science, Monte Carlo simulations, solvation models, QM/MM calculations, biomolecular structure prediction, and molecular dynamics in the broadest sense including gas-phase dynamics, ab initio dynamics, biomolecular dynamics, and protein folding. The Journal does not consider papers that are straightforward applications of known methods including DFT and molecular dynamics. The Journal favors submissions that include advances in theory or methodology with applications to compelling problems.
×
引用
GB/T 7714-2015
复制
MLA
复制
APA
复制
导出至
BibTeX EndNote RefMan NoteFirst NoteExpress
×
提示
您的信息不完整,为了账户安全,请先补充。
现在去补充
×
提示
您因"违规操作"
具体请查看互助需知
我知道了
×
提示
确定
请完成安全验证×
copy
已复制链接
快去分享给好友吧!
我知道了
右上角分享
点击右上角分享
0
联系我们:info@booksci.cn Book学术提供免费学术资源搜索服务,方便国内外学者检索中英文文献。致力于提供最便捷和优质的服务体验。 Copyright © 2023 布克学术 All rights reserved.
京ICP备2023020795号-1
ghs 京公网安备 11010802042870号
Book学术文献互助
Book学术文献互助群
群 号:604180095
Book学术官方微信