基于机器学习的儿童水样腹泻阿奇霉素个性化治疗规则

IF 15.7 1区 综合性期刊 Q1 MULTIDISCIPLINARY SCIENCES
Sara S. Kim, Allison Codi, James A. Platts-Mills, Patricia B. Pavlinac, Karim Manji, Christopher R. Sudfeld, Christopher P. Duggan, Queen Dube, Naor Bar-Zeev, Karen Kotloff, Samba O. Sow, Sunil Sazawal, Benson O. Singa, Judd Walson, Farah Qamar, Tahmeed Ahmed, Ayesha De Costa, David Benkeser, Elizabeth T. Rogawski McQuade
{"title":"基于机器学习的儿童水样腹泻阿奇霉素个性化治疗规则","authors":"Sara S. Kim, Allison Codi, James A. Platts-Mills, Patricia B. Pavlinac, Karim Manji, Christopher R. Sudfeld, Christopher P. Duggan, Queen Dube, Naor Bar-Zeev, Karen Kotloff, Samba O. Sow, Sunil Sazawal, Benson O. Singa, Judd Walson, Farah Qamar, Tahmeed Ahmed, Ayesha De Costa, David Benkeser, Elizabeth T. Rogawski McQuade","doi":"10.1038/s41467-025-60682-9","DOIUrl":null,"url":null,"abstract":"<p>We use machine learning to identify innovative strategies to target azithromycin to the children with watery diarrhea who are most likely to benefit. Using data from a randomized trial of azithromycin for watery diarrhea (NCT03130114), we develop personalized treatment rules given sets of diagnostic, child, and clinical characteristics, employing a robust ensemble machine learning-based procedure. This procedure estimates the child-level expected benefit for a given set of covariates by combining predictions from a library of statistical models. For each rule, we estimate the proportion treated under the rule and the average benefits of treatment. Among 6692 children, treatment under the most comprehensive rule is recommended on average for one third of children. The risk of diarrhea on day 3 is 10.1% lower (95% CI: 5.4, 14.9) with azithromycin compared to placebo among children recommended for treatment (NNT: 10). For day 90 re-hospitalization and death, risk is 2.4% lower (95% CI: 0.6, 4.1; NNT: 42). While pathogen diagnostics are strong determinants of azithromycin effects on diarrhea duration, host characteristics may better predict benefits for re-hospitalization or death. This suggests that targeting antibiotic treatment for severe outcomes among children with watery diarrhea may be possible without access to pathogen diagnostics.</p>","PeriodicalId":19066,"journal":{"name":"Nature Communications","volume":"76 1","pages":""},"PeriodicalIF":15.7000,"publicationDate":"2025-07-01","publicationTypes":"Journal Article","fieldsOfStudy":null,"isOpenAccess":false,"openAccessPdf":"","citationCount":"0","resultStr":"{\"title\":\"Personalized azithromycin treatment rules for children with watery diarrhea using machine learning\",\"authors\":\"Sara S. Kim, Allison Codi, James A. Platts-Mills, Patricia B. Pavlinac, Karim Manji, Christopher R. Sudfeld, Christopher P. Duggan, Queen Dube, Naor Bar-Zeev, Karen Kotloff, Samba O. Sow, Sunil Sazawal, Benson O. Singa, Judd Walson, Farah Qamar, Tahmeed Ahmed, Ayesha De Costa, David Benkeser, Elizabeth T. Rogawski McQuade\",\"doi\":\"10.1038/s41467-025-60682-9\",\"DOIUrl\":null,\"url\":null,\"abstract\":\"<p>We use machine learning to identify innovative strategies to target azithromycin to the children with watery diarrhea who are most likely to benefit. Using data from a randomized trial of azithromycin for watery diarrhea (NCT03130114), we develop personalized treatment rules given sets of diagnostic, child, and clinical characteristics, employing a robust ensemble machine learning-based procedure. This procedure estimates the child-level expected benefit for a given set of covariates by combining predictions from a library of statistical models. For each rule, we estimate the proportion treated under the rule and the average benefits of treatment. Among 6692 children, treatment under the most comprehensive rule is recommended on average for one third of children. The risk of diarrhea on day 3 is 10.1% lower (95% CI: 5.4, 14.9) with azithromycin compared to placebo among children recommended for treatment (NNT: 10). For day 90 re-hospitalization and death, risk is 2.4% lower (95% CI: 0.6, 4.1; NNT: 42). While pathogen diagnostics are strong determinants of azithromycin effects on diarrhea duration, host characteristics may better predict benefits for re-hospitalization or death. This suggests that targeting antibiotic treatment for severe outcomes among children with watery diarrhea may be possible without access to pathogen diagnostics.</p>\",\"PeriodicalId\":19066,\"journal\":{\"name\":\"Nature Communications\",\"volume\":\"76 1\",\"pages\":\"\"},\"PeriodicalIF\":15.7000,\"publicationDate\":\"2025-07-01\",\"publicationTypes\":\"Journal Article\",\"fieldsOfStudy\":null,\"isOpenAccess\":false,\"openAccessPdf\":\"\",\"citationCount\":\"0\",\"resultStr\":null,\"platform\":\"Semanticscholar\",\"paperid\":null,\"PeriodicalName\":\"Nature Communications\",\"FirstCategoryId\":\"103\",\"ListUrlMain\":\"https://doi.org/10.1038/s41467-025-60682-9\",\"RegionNum\":1,\"RegionCategory\":\"综合性期刊\",\"ArticlePicture\":[],\"TitleCN\":null,\"AbstractTextCN\":null,\"PMCID\":null,\"EPubDate\":\"\",\"PubModel\":\"\",\"JCR\":\"Q1\",\"JCRName\":\"MULTIDISCIPLINARY SCIENCES\",\"Score\":null,\"Total\":0}","platform":"Semanticscholar","paperid":null,"PeriodicalName":"Nature Communications","FirstCategoryId":"103","ListUrlMain":"https://doi.org/10.1038/s41467-025-60682-9","RegionNum":1,"RegionCategory":"综合性期刊","ArticlePicture":[],"TitleCN":null,"AbstractTextCN":null,"PMCID":null,"EPubDate":"","PubModel":"","JCR":"Q1","JCRName":"MULTIDISCIPLINARY SCIENCES","Score":null,"Total":0}
引用次数: 0

摘要

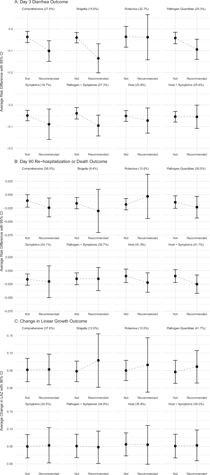
我们使用机器学习来确定创新策略,将阿奇霉素用于最有可能受益的水样腹泻儿童。利用阿奇霉素治疗水样腹泻的随机试验数据(NCT03130114),我们采用基于强大集成机器学习的程序,根据诊断、儿童和临床特征制定个性化治疗规则。这个过程通过结合统计模型库的预测来估计给定一组协变量的儿童水平预期收益。对于每个规则,我们估计在规则下处理的比例和处理的平均效益。在6692名儿童中,平均有三分之一的儿童建议接受最全面的治疗。在推荐治疗的儿童中,阿奇霉素与安慰剂相比,第3天腹泻的风险降低了10.1% (95% CI: 5.4, 14.9) (NNT: 10)。第90天再次住院和死亡的风险降低2.4% (95% CI: 0.6, 4.1;例数十分:42)。虽然病原体诊断是阿奇霉素对腹泻持续时间影响的重要决定因素,但宿主特征可能更好地预测再次住院或死亡的益处。这表明,在没有获得病原体诊断的情况下,针对水样腹泻儿童的严重后果进行靶向抗生素治疗是可能的。
本文章由计算机程序翻译,如有差异,请以英文原文为准。

Personalized azithromycin treatment rules for children with watery diarrhea using machine learning

Personalized azithromycin treatment rules for children with watery diarrhea using machine learning

We use machine learning to identify innovative strategies to target azithromycin to the children with watery diarrhea who are most likely to benefit. Using data from a randomized trial of azithromycin for watery diarrhea (NCT03130114), we develop personalized treatment rules given sets of diagnostic, child, and clinical characteristics, employing a robust ensemble machine learning-based procedure. This procedure estimates the child-level expected benefit for a given set of covariates by combining predictions from a library of statistical models. For each rule, we estimate the proportion treated under the rule and the average benefits of treatment. Among 6692 children, treatment under the most comprehensive rule is recommended on average for one third of children. The risk of diarrhea on day 3 is 10.1% lower (95% CI: 5.4, 14.9) with azithromycin compared to placebo among children recommended for treatment (NNT: 10). For day 90 re-hospitalization and death, risk is 2.4% lower (95% CI: 0.6, 4.1; NNT: 42). While pathogen diagnostics are strong determinants of azithromycin effects on diarrhea duration, host characteristics may better predict benefits for re-hospitalization or death. This suggests that targeting antibiotic treatment for severe outcomes among children with watery diarrhea may be possible without access to pathogen diagnostics.

求助全文
通过发布文献求助,成功后即可免费获取论文全文。 去求助
来源期刊
Nature Communications
Nature Communications Biological Science Disciplines-
CiteScore
24.90
自引率
2.40%
发文量
6928
审稿时长
3.7 months
期刊介绍: Nature Communications, an open-access journal, publishes high-quality research spanning all areas of the natural sciences. Papers featured in the journal showcase significant advances relevant to specialists in each respective field. With a 2-year impact factor of 16.6 (2022) and a median time of 8 days from submission to the first editorial decision, Nature Communications is committed to rapid dissemination of research findings. As a multidisciplinary journal, it welcomes contributions from biological, health, physical, chemical, Earth, social, mathematical, applied, and engineering sciences, aiming to highlight important breakthroughs within each domain.
×
引用
GB/T 7714-2015
复制
MLA
复制
APA
复制
导出至
BibTeX EndNote RefMan NoteFirst NoteExpress
×
提示
您的信息不完整,为了账户安全,请先补充。
现在去补充
×
提示
您因"违规操作"
具体请查看互助需知
我知道了
×
提示
确定
请完成安全验证×
copy
已复制链接
快去分享给好友吧!
我知道了
右上角分享
点击右上角分享
0
联系我们:info@booksci.cn Book学术提供免费学术资源搜索服务,方便国内外学者检索中英文文献。致力于提供最便捷和优质的服务体验。 Copyright © 2023 布克学术 All rights reserved.
京ICP备2023020795号-1
ghs 京公网安备 11010802042870号
Book学术文献互助
Book学术文献互助群
群 号:604180095
Book学术官方微信