木瓜白蛉(双翅目:心蛉科)对寄主来源的半化学物质的行为反应。

IF 2
Mert Okbay, Ozge Erisoz Kasap
{"title":"木瓜白蛉(双翅目:心蛉科)对寄主来源的半化学物质的行为反应。","authors":"Mert Okbay, Ozge Erisoz Kasap","doi":"10.1093/jme/tjaf065","DOIUrl":null,"url":null,"abstract":"<p><p>Vertebrate and plant hosts provide arthropods with a range of stimuli to aid in their localization, among which semiochemicals, volatile cues enabling hosts to be located through their odours, stand out as particularly important. Recognizing their potential in vector control, this study investigates semiochemicals as viable alternatives for effective vector management strategies. In this study, behavioral responses of Phlebotomus papatasi (Scopoli, 1786) adults to 11 semiochemicals, derived from plant and vertebrate hosts and previously tested on various vector species, across 3 concentrations (10-2%, 10-3%, and 10-4%) were evaluated using a dual-choice olfactometer. A total of 1,110 females and 1,110 males were individually assayed, with behavioral responses quantified through trap selection and response times. Notably, 1-octanol (10-2%) consistently exhibited the lowest attractiveness, whereas octanal, decanal, 1-hexanol, 1-octen-3-ol, ocimene, linalool oxide, and sulcatone elicited significant attractive effects, with pronounced sex-specific and concentration-based differences. Mixtures, formulated from the most attractive individual concentrations, revealed both synergistic and antagonistic interactions, underscoring the complexity of chemical interplay in mediating host-seeking behavior. Statistical models demonstrated significant interactions among semiochemical type, concentration, and sex, influencing both behavior and decision latency. This study marks the first investigation into the attractant effects of plant- and animal-derived semiochemicals on Ph. papatasi adults within an olfactometer system. The results are expected to provide critical insights into sand fly ecology and the epidemiology of sand fly-borne diseases while contributing to the development of integrated vector management strategies.</p>","PeriodicalId":94091,"journal":{"name":"Journal of medical entomology","volume":" ","pages":"768-781"},"PeriodicalIF":2.0000,"publicationDate":"2025-07-17","publicationTypes":"Journal Article","fieldsOfStudy":null,"isOpenAccess":false,"openAccessPdf":"https://www.ncbi.nlm.nih.gov/pmc/articles/PMC12271735/pdf/","citationCount":"0","resultStr":"{\"title\":\"Behavioral responses of Phlebotomus papatasi (Diptera: Psychodidae) to host-derived semiochemicals.\",\"authors\":\"Mert Okbay, Ozge Erisoz Kasap\",\"doi\":\"10.1093/jme/tjaf065\",\"DOIUrl\":null,\"url\":null,\"abstract\":\"<p><p>Vertebrate and plant hosts provide arthropods with a range of stimuli to aid in their localization, among which semiochemicals, volatile cues enabling hosts to be located through their odours, stand out as particularly important. Recognizing their potential in vector control, this study investigates semiochemicals as viable alternatives for effective vector management strategies. In this study, behavioral responses of Phlebotomus papatasi (Scopoli, 1786) adults to 11 semiochemicals, derived from plant and vertebrate hosts and previously tested on various vector species, across 3 concentrations (10-2%, 10-3%, and 10-4%) were evaluated using a dual-choice olfactometer. A total of 1,110 females and 1,110 males were individually assayed, with behavioral responses quantified through trap selection and response times. Notably, 1-octanol (10-2%) consistently exhibited the lowest attractiveness, whereas octanal, decanal, 1-hexanol, 1-octen-3-ol, ocimene, linalool oxide, and sulcatone elicited significant attractive effects, with pronounced sex-specific and concentration-based differences. Mixtures, formulated from the most attractive individual concentrations, revealed both synergistic and antagonistic interactions, underscoring the complexity of chemical interplay in mediating host-seeking behavior. Statistical models demonstrated significant interactions among semiochemical type, concentration, and sex, influencing both behavior and decision latency. This study marks the first investigation into the attractant effects of plant- and animal-derived semiochemicals on Ph. papatasi adults within an olfactometer system. The results are expected to provide critical insights into sand fly ecology and the epidemiology of sand fly-borne diseases while contributing to the development of integrated vector management strategies.</p>\",\"PeriodicalId\":94091,\"journal\":{\"name\":\"Journal of medical entomology\",\"volume\":\" \",\"pages\":\"768-781\"},\"PeriodicalIF\":2.0000,\"publicationDate\":\"2025-07-17\",\"publicationTypes\":\"Journal Article\",\"fieldsOfStudy\":null,\"isOpenAccess\":false,\"openAccessPdf\":\"https://www.ncbi.nlm.nih.gov/pmc/articles/PMC12271735/pdf/\",\"citationCount\":\"0\",\"resultStr\":null,\"platform\":\"Semanticscholar\",\"paperid\":null,\"PeriodicalName\":\"Journal of medical entomology\",\"FirstCategoryId\":\"1085\",\"ListUrlMain\":\"https://doi.org/10.1093/jme/tjaf065\",\"RegionNum\":0,\"RegionCategory\":null,\"ArticlePicture\":[],\"TitleCN\":null,\"AbstractTextCN\":null,\"PMCID\":null,\"EPubDate\":\"\",\"PubModel\":\"\",\"JCR\":\"\",\"JCRName\":\"\",\"Score\":null,\"Total\":0}","platform":"Semanticscholar","paperid":null,"PeriodicalName":"Journal of medical entomology","FirstCategoryId":"1085","ListUrlMain":"https://doi.org/10.1093/jme/tjaf065","RegionNum":0,"RegionCategory":null,"ArticlePicture":[],"TitleCN":null,"AbstractTextCN":null,"PMCID":null,"EPubDate":"","PubModel":"","JCR":"","JCRName":"","Score":null,"Total":0}
引用次数: 0

摘要

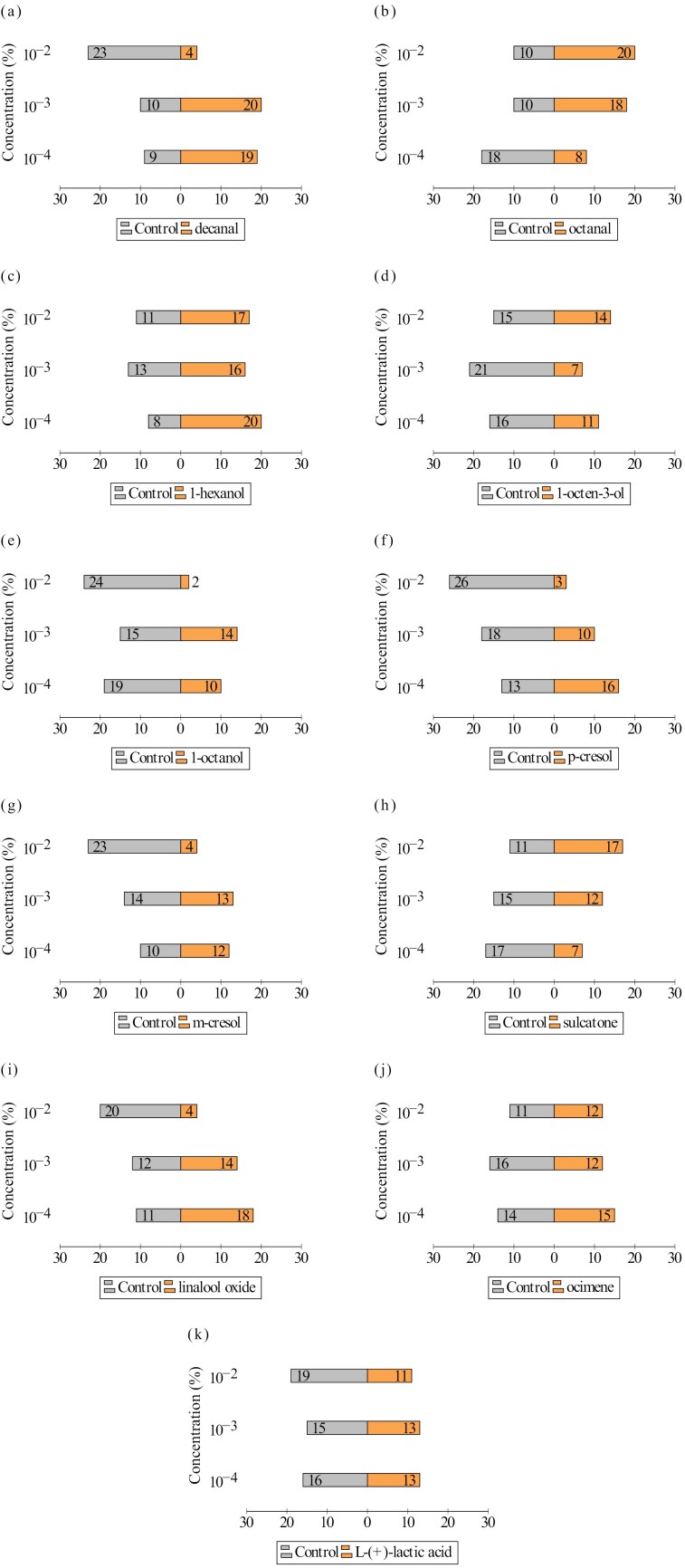
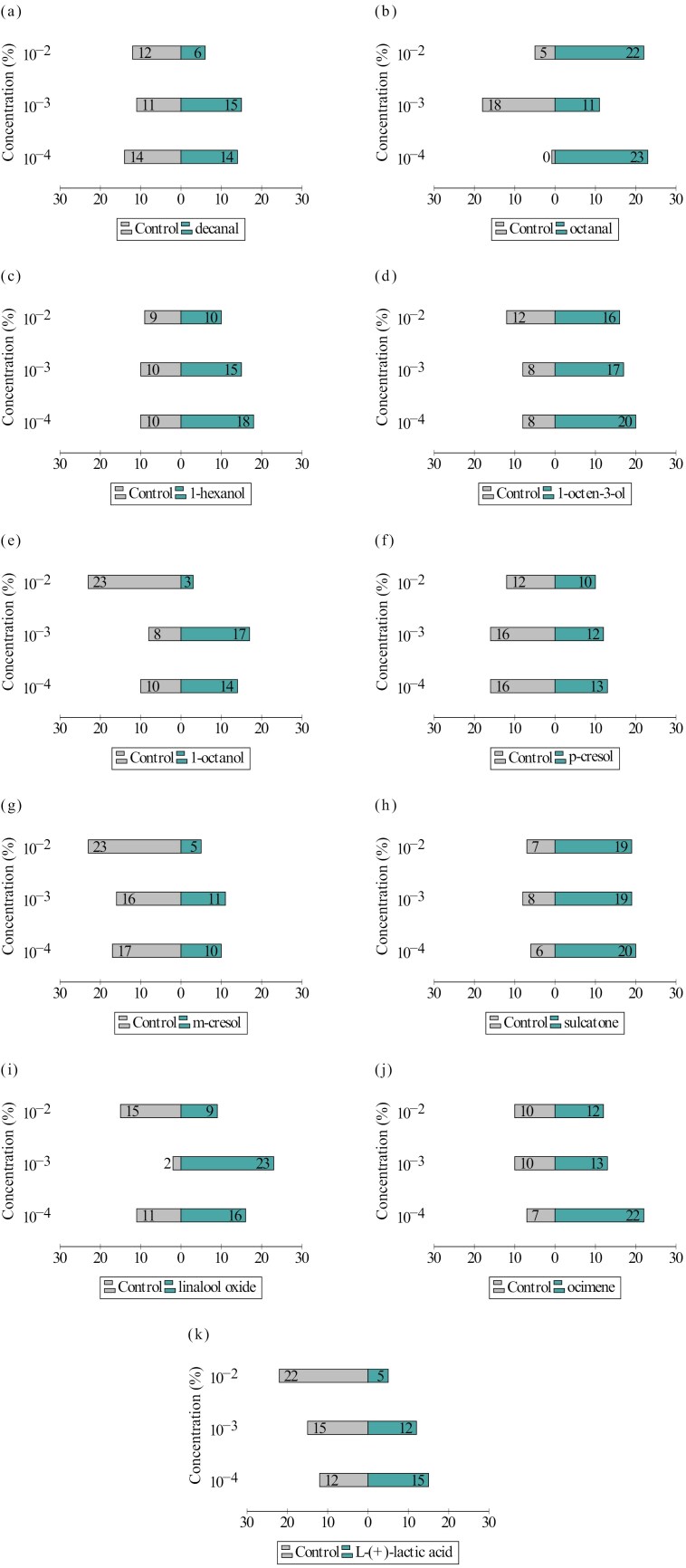
脊椎动物和植物宿主为节肢动物提供了一系列的刺激来帮助它们定位,其中,通过气味来定位宿主的易挥发性线索——符号化学物质尤为重要。认识到它们在病媒控制方面的潜力,本研究探讨了作为有效病媒管理策略的可行替代方案的符号化学品。在本研究中,使用双选择嗅觉计评估了木瓜白蛉(Phlebotomus papatasi, Scopoli, 1786)成虫对11种半化学物质的行为反应,这些半化学物质来源于植物和脊椎动物宿主,并在不同媒介物种上进行了测试,浓度为10-2%、10-3%和10-4%。共对1110只雌性和1110只雄性进行了个体分析,并通过陷阱选择和反应时间对其行为反应进行了量化。值得注意的是,1-辛醇(10-2%)始终表现出最低的吸引力,而辛烷、癸醛、1-己醇、1-辛烷-3-醇、辛烯、氧化芳樟醇和磺胺酮则具有显著的吸引力,且存在明显的性别特异性和浓度差异。由最具吸引力的个体浓度配制的混合物显示出协同和拮抗相互作用,强调了化学相互作用在介导寄主寻找行为中的复杂性。统计模型显示,符号化学类型、浓度和性别之间存在显著的相互作用,影响行为和决策延迟。这项研究标志着首次在嗅觉测量系统中对植物和动物来源的半化学物质对木瓜蚜虫成虫的引诱作用进行调查。预计这些结果将为沙蝇生态学和沙蝇传播疾病的流行病学提供重要见解,同时有助于制定综合媒介管理战略。
本文章由计算机程序翻译,如有差异,请以英文原文为准。

Behavioral responses of Phlebotomus papatasi (Diptera: Psychodidae) to host-derived semiochemicals.

Behavioral responses of Phlebotomus papatasi (Diptera: Psychodidae) to host-derived semiochemicals.

Behavioral responses of Phlebotomus papatasi (Diptera: Psychodidae) to host-derived semiochemicals.

Behavioral responses of Phlebotomus papatasi (Diptera: Psychodidae) to host-derived semiochemicals.

Vertebrate and plant hosts provide arthropods with a range of stimuli to aid in their localization, among which semiochemicals, volatile cues enabling hosts to be located through their odours, stand out as particularly important. Recognizing their potential in vector control, this study investigates semiochemicals as viable alternatives for effective vector management strategies. In this study, behavioral responses of Phlebotomus papatasi (Scopoli, 1786) adults to 11 semiochemicals, derived from plant and vertebrate hosts and previously tested on various vector species, across 3 concentrations (10-2%, 10-3%, and 10-4%) were evaluated using a dual-choice olfactometer. A total of 1,110 females and 1,110 males were individually assayed, with behavioral responses quantified through trap selection and response times. Notably, 1-octanol (10-2%) consistently exhibited the lowest attractiveness, whereas octanal, decanal, 1-hexanol, 1-octen-3-ol, ocimene, linalool oxide, and sulcatone elicited significant attractive effects, with pronounced sex-specific and concentration-based differences. Mixtures, formulated from the most attractive individual concentrations, revealed both synergistic and antagonistic interactions, underscoring the complexity of chemical interplay in mediating host-seeking behavior. Statistical models demonstrated significant interactions among semiochemical type, concentration, and sex, influencing both behavior and decision latency. This study marks the first investigation into the attractant effects of plant- and animal-derived semiochemicals on Ph. papatasi adults within an olfactometer system. The results are expected to provide critical insights into sand fly ecology and the epidemiology of sand fly-borne diseases while contributing to the development of integrated vector management strategies.

求助全文
通过发布文献求助,成功后即可免费获取论文全文。 去求助
来源期刊
自引率
0.00%
发文量
0
×
引用
GB/T 7714-2015
复制
MLA
复制
APA
复制
导出至
BibTeX EndNote RefMan NoteFirst NoteExpress
×
提示
您的信息不完整,为了账户安全,请先补充。
现在去补充
×
提示
您因"违规操作"
具体请查看互助需知
我知道了
×
提示
确定
请完成安全验证×
copy
已复制链接
快去分享给好友吧!
我知道了
右上角分享
点击右上角分享
0
联系我们:info@booksci.cn Book学术提供免费学术资源搜索服务,方便国内外学者检索中英文文献。致力于提供最便捷和优质的服务体验。 Copyright © 2023 布克学术 All rights reserved.
京ICP备2023020795号-1
ghs 京公网安备 11010802042870号
Book学术文献互助
Book学术文献互助群
群 号:604180095
Book学术官方微信