一项前瞻性、多中心病例对照试验,研究解释语后成人CI受者临床表现变化的因素。

IF 3 2区 医学 Q1 AUDIOLOGY & SPEECH-LANGUAGE PATHOLOGY
Trends in Hearing Pub Date : 2025-01-01 Epub Date: 2025-06-27 DOI:10.1177/23312165251347138
Pam Dawson, Amanda Fullerton, Harish Krishnamoorthi, Kerrie Plant, Robert Cowan, Nadine Buczak, Christopher Long, Chris J James, Fergio Sismono, Andreas Büchner
{"title":"一项前瞻性、多中心病例对照试验,研究解释语后成人CI受者临床表现变化的因素。","authors":"Pam Dawson, Amanda Fullerton, Harish Krishnamoorthi, Kerrie Plant, Robert Cowan, Nadine Buczak, Christopher Long, Chris J James, Fergio Sismono, Andreas Büchner","doi":"10.1177/23312165251347138","DOIUrl":null,"url":null,"abstract":"<p><p>This study investigated which of a range of factors could explain performance in two distinct groups of experienced, adult cochlear implant recipients differentiated by performance on words in quiet: 72 with poorer word scores versus 77 with better word scores. Tests measured the potential contribution of sound processor mapping, electrode placement, neural health, impedance, cognitive, and patient-related factors in predicting performance. A systematically measured sound processor MAP was compared to the subject's walk-in MAP. Electrode placement included modiolar distance, basal and apical insertion angle, and presence of scalar translocation. Neural health measurements included bipolar thresholds, polarity effect using asymmetrical pulses, and evoked compound action potential (ECAP) measures such as the interphase gap (IPG) effect, total refractory time, and panoramic ECAP. Impedance measurements included trans impedance matrix and four-point impedance. Cognitive tests comprised vocabulary ability, the Stroop test, and the Symbol Digits Modality Test. Performance was measured with words in quiet and sentence in noise tests and basic auditory sensitivity measures including phoneme discrimination in noise and quiet, amplitude modulation detection thresholds and quick spectral modulation detection. A range of predictor variables accounted for between 33% and 60% of the variability in performance outcomes. Multivariable regression analyses showed four key factors that were consistently predictive of poorer performance across several outcomes: substantially underfitted sound processor MAP thresholds, higher average bipolar thresholds, greater total refractory time, and greater IPG offset. Scalar translocation, cognitive variables, and other patient related factors were also significant predictors across more than one performance outcome.</p>","PeriodicalId":48678,"journal":{"name":"Trends in Hearing","volume":"29 ","pages":"23312165251347138"},"PeriodicalIF":3.0000,"publicationDate":"2025-01-01","publicationTypes":"Journal Article","fieldsOfStudy":null,"isOpenAccess":false,"openAccessPdf":"https://www.ncbi.nlm.nih.gov/pmc/articles/PMC12205208/pdf/","citationCount":"0","resultStr":"{\"title\":\"A Prospective, Multicentre Case-Control Trial Examining Factors That Explain Variable Clinical Performance in Post Lingual Adult CI Recipients.\",\"authors\":\"Pam Dawson, Amanda Fullerton, Harish Krishnamoorthi, Kerrie Plant, Robert Cowan, Nadine Buczak, Christopher Long, Chris J James, Fergio Sismono, Andreas Büchner\",\"doi\":\"10.1177/23312165251347138\",\"DOIUrl\":null,\"url\":null,\"abstract\":\"<p><p>This study investigated which of a range of factors could explain performance in two distinct groups of experienced, adult cochlear implant recipients differentiated by performance on words in quiet: 72 with poorer word scores versus 77 with better word scores. Tests measured the potential contribution of sound processor mapping, electrode placement, neural health, impedance, cognitive, and patient-related factors in predicting performance. A systematically measured sound processor MAP was compared to the subject's walk-in MAP. Electrode placement included modiolar distance, basal and apical insertion angle, and presence of scalar translocation. Neural health measurements included bipolar thresholds, polarity effect using asymmetrical pulses, and evoked compound action potential (ECAP) measures such as the interphase gap (IPG) effect, total refractory time, and panoramic ECAP. Impedance measurements included trans impedance matrix and four-point impedance. Cognitive tests comprised vocabulary ability, the Stroop test, and the Symbol Digits Modality Test. Performance was measured with words in quiet and sentence in noise tests and basic auditory sensitivity measures including phoneme discrimination in noise and quiet, amplitude modulation detection thresholds and quick spectral modulation detection. A range of predictor variables accounted for between 33% and 60% of the variability in performance outcomes. Multivariable regression analyses showed four key factors that were consistently predictive of poorer performance across several outcomes: substantially underfitted sound processor MAP thresholds, higher average bipolar thresholds, greater total refractory time, and greater IPG offset. Scalar translocation, cognitive variables, and other patient related factors were also significant predictors across more than one performance outcome.</p>\",\"PeriodicalId\":48678,\"journal\":{\"name\":\"Trends in Hearing\",\"volume\":\"29 \",\"pages\":\"23312165251347138\"},\"PeriodicalIF\":3.0000,\"publicationDate\":\"2025-01-01\",\"publicationTypes\":\"Journal Article\",\"fieldsOfStudy\":null,\"isOpenAccess\":false,\"openAccessPdf\":\"https://www.ncbi.nlm.nih.gov/pmc/articles/PMC12205208/pdf/\",\"citationCount\":\"0\",\"resultStr\":null,\"platform\":\"Semanticscholar\",\"paperid\":null,\"PeriodicalName\":\"Trends in Hearing\",\"FirstCategoryId\":\"3\",\"ListUrlMain\":\"https://doi.org/10.1177/23312165251347138\",\"RegionNum\":2,\"RegionCategory\":\"医学\",\"ArticlePicture\":[],\"TitleCN\":null,\"AbstractTextCN\":null,\"PMCID\":null,\"EPubDate\":\"2025/6/27 0:00:00\",\"PubModel\":\"Epub\",\"JCR\":\"Q1\",\"JCRName\":\"AUDIOLOGY & SPEECH-LANGUAGE PATHOLOGY\",\"Score\":null,\"Total\":0}","platform":"Semanticscholar","paperid":null,"PeriodicalName":"Trends in Hearing","FirstCategoryId":"3","ListUrlMain":"https://doi.org/10.1177/23312165251347138","RegionNum":2,"RegionCategory":"医学","ArticlePicture":[],"TitleCN":null,"AbstractTextCN":null,"PMCID":null,"EPubDate":"2025/6/27 0:00:00","PubModel":"Epub","JCR":"Q1","JCRName":"AUDIOLOGY & SPEECH-LANGUAGE PATHOLOGY","Score":null,"Total":0}
引用次数: 0

摘要

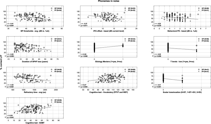
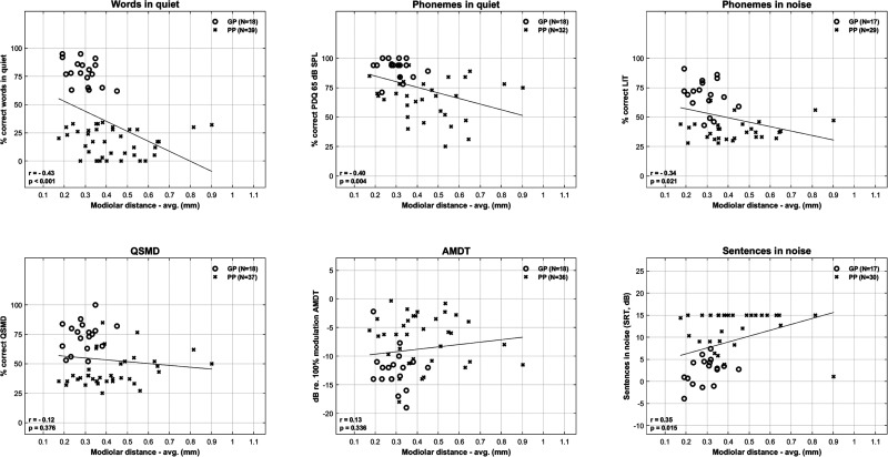
这项研究调查了哪些因素可以解释两组不同的有经验的成年人工耳蜗受者在安静环境下的表现:72人的单词得分较低,77人的单词得分较高。测试测量了声音处理器映射、电极放置、神经健康、阻抗、认知和患者相关因素在预测性能方面的潜在贡献。系统测量的声音处理器MAP与受试者的步入式MAP进行了比较。电极放置包括模摩尔距离、基底和根尖插入角度以及标量移位的存在。神经健康测量包括双极阈值,使用不对称脉冲的极性效应,以及诱发复合动作电位(ECAP)测量,如间期间隙(IPG)效应,总耐火时间和全景ECAP。阻抗测量包括跨阻抗矩阵和四点阻抗。认知测试包括词汇能力、Stroop测试和符号数字情态测试。通过安静测试中的单词和噪音测试中的句子以及基本的听觉灵敏度测试,包括噪音和安静测试中的音素识别、幅度调制检测阈值和快速频谱调制检测。一系列预测变量占绩效结果可变性的33%至60%。多变量回归分析显示,四个关键因素在几个结果中一致预测较差的表现:声音处理器MAP阈值明显不合适,平均双极阈值较高,总难治时间较长,IPG偏移较大。标量易位、认知变量和其他患者相关因素也是多个表现结果的重要预测因素。
本文章由计算机程序翻译,如有差异,请以英文原文为准。

A Prospective, Multicentre Case-Control Trial Examining Factors That Explain Variable Clinical Performance in Post Lingual Adult CI Recipients.

A Prospective, Multicentre Case-Control Trial Examining Factors That Explain Variable Clinical Performance in Post Lingual Adult CI Recipients.

A Prospective, Multicentre Case-Control Trial Examining Factors That Explain Variable Clinical Performance in Post Lingual Adult CI Recipients.

A Prospective, Multicentre Case-Control Trial Examining Factors That Explain Variable Clinical Performance in Post Lingual Adult CI Recipients.

This study investigated which of a range of factors could explain performance in two distinct groups of experienced, adult cochlear implant recipients differentiated by performance on words in quiet: 72 with poorer word scores versus 77 with better word scores. Tests measured the potential contribution of sound processor mapping, electrode placement, neural health, impedance, cognitive, and patient-related factors in predicting performance. A systematically measured sound processor MAP was compared to the subject's walk-in MAP. Electrode placement included modiolar distance, basal and apical insertion angle, and presence of scalar translocation. Neural health measurements included bipolar thresholds, polarity effect using asymmetrical pulses, and evoked compound action potential (ECAP) measures such as the interphase gap (IPG) effect, total refractory time, and panoramic ECAP. Impedance measurements included trans impedance matrix and four-point impedance. Cognitive tests comprised vocabulary ability, the Stroop test, and the Symbol Digits Modality Test. Performance was measured with words in quiet and sentence in noise tests and basic auditory sensitivity measures including phoneme discrimination in noise and quiet, amplitude modulation detection thresholds and quick spectral modulation detection. A range of predictor variables accounted for between 33% and 60% of the variability in performance outcomes. Multivariable regression analyses showed four key factors that were consistently predictive of poorer performance across several outcomes: substantially underfitted sound processor MAP thresholds, higher average bipolar thresholds, greater total refractory time, and greater IPG offset. Scalar translocation, cognitive variables, and other patient related factors were also significant predictors across more than one performance outcome.

求助全文
通过发布文献求助,成功后即可免费获取论文全文。 去求助
来源期刊
Trends in Hearing
Trends in Hearing AUDIOLOGY & SPEECH-LANGUAGE PATHOLOGYOTORH-OTORHINOLARYNGOLOGY
CiteScore
4.50
自引率
11.10%
发文量
44
审稿时长
12 weeks
期刊介绍: Trends in Hearing is an open access journal completely dedicated to publishing original research and reviews focusing on human hearing, hearing loss, hearing aids, auditory implants, and aural rehabilitation. Under its former name, Trends in Amplification, the journal established itself as a forum for concise explorations of all areas of translational hearing research by leaders in the field. Trends in Hearing has now expanded its focus to include original research articles, with the goal of becoming the premier venue for research related to human hearing and hearing loss.
×
引用
GB/T 7714-2015
复制
MLA
复制
APA
复制
导出至
BibTeX EndNote RefMan NoteFirst NoteExpress
×
提示
您的信息不完整,为了账户安全,请先补充。
现在去补充
×
提示
您因"违规操作"
具体请查看互助需知
我知道了
×
提示
确定
请完成安全验证×
copy
已复制链接
快去分享给好友吧!
我知道了
右上角分享
点击右上角分享
0
联系我们:info@booksci.cn Book学术提供免费学术资源搜索服务,方便国内外学者检索中英文文献。致力于提供最便捷和优质的服务体验。 Copyright © 2023 布克学术 All rights reserved.
京ICP备2023020795号-1
ghs 京公网安备 11010802042870号
Book学术文献互助
Book学术文献互助群
群 号:604180095
Book学术官方微信