光学腔中分子的量子计算机模拟。

IF 6.2
Precision Chemistry Pub Date : 2025-05-12 eCollection Date: 2025-06-23 DOI:10.1021/prechem.4c00108
Zirui Sheng, Yufei Ge, Jianpeng Chen, Weitang Li, Zhigang Shuai
{"title":"光学腔中分子的量子计算机模拟。","authors":"Zirui Sheng, Yufei Ge, Jianpeng Chen, Weitang Li, Zhigang Shuai","doi":"10.1021/prechem.4c00108","DOIUrl":null,"url":null,"abstract":"<p><p>Various phenomena have been observed in molecule-cavity coupled systems, which are believed to hold potential for applications in transistors, lasers, and computational units, among others. However, theoretical methods for simulating molecules in optical cavities still require further development due to the complex couplings between electrons, phonons, and photons within the cavity. In this study, motivated by recent advances in quantum algorithms and quantum computing hardware, we propose a quantum computing algorithm tailored for molecules in optical cavities. Our method, based on a variational quantum algorithm and variational boson encoders, has its effectiveness validated on both quantum simulators and hardware. For aggregates within the cavity, described by the Holstein-Tavis-Cummings model, our approach demonstrates clear advantages over other quantum and classical methods, as proved by numerical benchmarks. Additionally, we apply this method to study the H<sub>2</sub> molecule in a cavity using a superconducting quantum computer and the Pauli-Fierz model. To enhance accuracy, we incorporate error mitigation techniques, such as readout and reference-state error mitigation, resulting in an 86% reduction in the average error.</p>","PeriodicalId":29793,"journal":{"name":"Precision Chemistry","volume":"3 6","pages":"326-336"},"PeriodicalIF":6.2000,"publicationDate":"2025-05-12","publicationTypes":"Journal Article","fieldsOfStudy":null,"isOpenAccess":false,"openAccessPdf":"https://www.ncbi.nlm.nih.gov/pmc/articles/PMC12188403/pdf/","citationCount":"0","resultStr":"{\"title\":\"Quantum Computer Simulation of Molecules in Optical Cavity.\",\"authors\":\"Zirui Sheng, Yufei Ge, Jianpeng Chen, Weitang Li, Zhigang Shuai\",\"doi\":\"10.1021/prechem.4c00108\",\"DOIUrl\":null,\"url\":null,\"abstract\":\"<p><p>Various phenomena have been observed in molecule-cavity coupled systems, which are believed to hold potential for applications in transistors, lasers, and computational units, among others. However, theoretical methods for simulating molecules in optical cavities still require further development due to the complex couplings between electrons, phonons, and photons within the cavity. In this study, motivated by recent advances in quantum algorithms and quantum computing hardware, we propose a quantum computing algorithm tailored for molecules in optical cavities. Our method, based on a variational quantum algorithm and variational boson encoders, has its effectiveness validated on both quantum simulators and hardware. For aggregates within the cavity, described by the Holstein-Tavis-Cummings model, our approach demonstrates clear advantages over other quantum and classical methods, as proved by numerical benchmarks. Additionally, we apply this method to study the H<sub>2</sub> molecule in a cavity using a superconducting quantum computer and the Pauli-Fierz model. To enhance accuracy, we incorporate error mitigation techniques, such as readout and reference-state error mitigation, resulting in an 86% reduction in the average error.</p>\",\"PeriodicalId\":29793,\"journal\":{\"name\":\"Precision Chemistry\",\"volume\":\"3 6\",\"pages\":\"326-336\"},\"PeriodicalIF\":6.2000,\"publicationDate\":\"2025-05-12\",\"publicationTypes\":\"Journal Article\",\"fieldsOfStudy\":null,\"isOpenAccess\":false,\"openAccessPdf\":\"https://www.ncbi.nlm.nih.gov/pmc/articles/PMC12188403/pdf/\",\"citationCount\":\"0\",\"resultStr\":null,\"platform\":\"Semanticscholar\",\"paperid\":null,\"PeriodicalName\":\"Precision Chemistry\",\"FirstCategoryId\":\"1085\",\"ListUrlMain\":\"https://doi.org/10.1021/prechem.4c00108\",\"RegionNum\":0,\"RegionCategory\":null,\"ArticlePicture\":[],\"TitleCN\":null,\"AbstractTextCN\":null,\"PMCID\":null,\"EPubDate\":\"2025/6/23 0:00:00\",\"PubModel\":\"eCollection\",\"JCR\":\"\",\"JCRName\":\"\",\"Score\":null,\"Total\":0}","platform":"Semanticscholar","paperid":null,"PeriodicalName":"Precision Chemistry","FirstCategoryId":"1085","ListUrlMain":"https://doi.org/10.1021/prechem.4c00108","RegionNum":0,"RegionCategory":null,"ArticlePicture":[],"TitleCN":null,"AbstractTextCN":null,"PMCID":null,"EPubDate":"2025/6/23 0:00:00","PubModel":"eCollection","JCR":"","JCRName":"","Score":null,"Total":0}
引用次数: 0

摘要

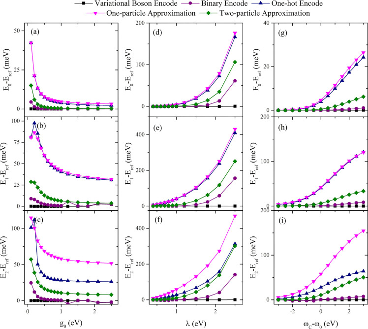
在分子-腔耦合系统中已经观察到各种现象,这些现象被认为在晶体管、激光器和计算单元等方面具有应用潜力。然而,由于光学腔内电子、声子和光子之间的复杂耦合,模拟光学腔内分子的理论方法仍需进一步发展。在这项研究中,受量子算法和量子计算硬件最新进展的推动,我们提出了一种针对光学腔中的分子量身定制的量子计算算法。该方法基于变分量子算法和变分玻色子编码器,并在量子模拟器和硬件上验证了其有效性。对于由Holstein-Tavis-Cummings模型描述的腔内聚集体,我们的方法比其他量子和经典方法具有明显的优势,正如数值基准所证明的那样。此外,我们利用超导量子计算机和Pauli-Fierz模型,将该方法应用于研究腔中的H2分子。为了提高准确性,我们结合了错误缓解技术,例如读出和参考状态错误缓解,从而使平均误差减少了86%。
本文章由计算机程序翻译,如有差异,请以英文原文为准。

Quantum Computer Simulation of Molecules in Optical Cavity.

Quantum Computer Simulation of Molecules in Optical Cavity.

Quantum Computer Simulation of Molecules in Optical Cavity.

Quantum Computer Simulation of Molecules in Optical Cavity.

Various phenomena have been observed in molecule-cavity coupled systems, which are believed to hold potential for applications in transistors, lasers, and computational units, among others. However, theoretical methods for simulating molecules in optical cavities still require further development due to the complex couplings between electrons, phonons, and photons within the cavity. In this study, motivated by recent advances in quantum algorithms and quantum computing hardware, we propose a quantum computing algorithm tailored for molecules in optical cavities. Our method, based on a variational quantum algorithm and variational boson encoders, has its effectiveness validated on both quantum simulators and hardware. For aggregates within the cavity, described by the Holstein-Tavis-Cummings model, our approach demonstrates clear advantages over other quantum and classical methods, as proved by numerical benchmarks. Additionally, we apply this method to study the H2 molecule in a cavity using a superconducting quantum computer and the Pauli-Fierz model. To enhance accuracy, we incorporate error mitigation techniques, such as readout and reference-state error mitigation, resulting in an 86% reduction in the average error.

求助全文
通过发布文献求助,成功后即可免费获取论文全文。 去求助
来源期刊
Precision Chemistry
Precision Chemistry 精密化学技术-
CiteScore
0.80
自引率
0.00%
发文量
0
期刊介绍: Chemical research focused on precision enables more controllable predictable and accurate outcomes which in turn drive innovation in measurement science sustainable materials information materials personalized medicines energy environmental science and countless other fields requiring chemical insights.Precision Chemistry provides a unique and highly focused publishing venue for fundamental applied and interdisciplinary research aiming to achieve precision calculation design synthesis manipulation measurement and manufacturing. It is committed to bringing together researchers from across the chemical sciences and the related scientific areas to showcase original research and critical reviews of exceptional quality significance and interest to the broad chemistry and scientific community.
×
引用
GB/T 7714-2015
复制
MLA
复制
APA
复制
导出至
BibTeX EndNote RefMan NoteFirst NoteExpress
×
提示
您的信息不完整,为了账户安全,请先补充。
现在去补充
×
提示
您因"违规操作"
具体请查看互助需知
我知道了
×
提示
确定
请完成安全验证×
copy
已复制链接
快去分享给好友吧!
我知道了
右上角分享
点击右上角分享
0
联系我们:info@booksci.cn Book学术提供免费学术资源搜索服务,方便国内外学者检索中英文文献。致力于提供最便捷和优质的服务体验。 Copyright © 2023 布克学术 All rights reserved.
京ICP备2023020795号-1
ghs 京公网安备 11010802042870号
Book学术文献互助
Book学术文献互助群
群 号:604180095
Book学术官方微信