血清和支气管肺泡灌洗液样本中戊烷素3稳定性的时间和温度依赖性

IF 2.3 3区 医学 Q3 INFECTIOUS DISEASES
Radim Dobiáš, Valeria Skopelidou, Andrea Langer Sermeño, Jan Strakoš, Dominika Luptáková, Hana Tomášková, Milan Raška, Jozef Škarda, Denisa Bázsóová, Vladimír Havlíček
{"title":"血清和支气管肺泡灌洗液样本中戊烷素3稳定性的时间和温度依赖性","authors":"Radim Dobiáš, Valeria Skopelidou, Andrea Langer Sermeño, Jan Strakoš, Dominika Luptáková, Hana Tomášková, Milan Raška, Jozef Škarda, Denisa Bázsóová, Vladimír Havlíček","doi":"10.1093/mmy/myaf057","DOIUrl":null,"url":null,"abstract":"<p><p>Pentraxin 3 (Ptx3) is an acute-phase protein that specifically targets fungal galactosaminogalactan and has been proposed as a promising biomarker for invasive fungal infections. However, its stability in clinical samples over time has not yet been established. This study aimed to evaluate the stability of Ptx3 in serum and bronchoalveolar lavage fluid (BALF) samples during mid- and long-term storage. A total of 44 serum and 52 BALF samples were examined or re-examined for Ptx3 concentrations using enzyme immunoassay in pooled and individual sample formats. Samples were stored at -80°C, -20°C, and +37°C for periods ranging from 0 to 56 months. Statistical analyses included a paired two-sample Wilcoxon signed-rank test, analysis of variance, Bonferroni test, and linear regression analysis. Ptx3 remained highly stable in serum and BALF samples for up to 8 months at -20°C, with variations ranging from -1.8% to +2.8%. Long-term stability was observed at -80°C for 48 months, followed by a slow decline in Ptx3 levels. In contrast, storage at +37°C resulted in rapid degradation, with a 36.5%-60.7% increase or a 92.9%-97% decrease in Ptx3 levels in serum and BALF, respectively. These findings confirm that Ptx3 is a stable and reliable biomarker for invasive fungal infections when appropriate storage conditions are maintained.</p>","PeriodicalId":18586,"journal":{"name":"Medical mycology","volume":" ","pages":""},"PeriodicalIF":2.3000,"publicationDate":"2025-07-02","publicationTypes":"Journal Article","fieldsOfStudy":null,"isOpenAccess":false,"openAccessPdf":"https://www.ncbi.nlm.nih.gov/pmc/articles/PMC12247167/pdf/","citationCount":"0","resultStr":"{\"title\":\"Time- and temperature-dependent Pentraxin 3 stability in serum and bronchoalveolar lavage fluid samples.\",\"authors\":\"Radim Dobiáš, Valeria Skopelidou, Andrea Langer Sermeño, Jan Strakoš, Dominika Luptáková, Hana Tomášková, Milan Raška, Jozef Škarda, Denisa Bázsóová, Vladimír Havlíček\",\"doi\":\"10.1093/mmy/myaf057\",\"DOIUrl\":null,\"url\":null,\"abstract\":\"<p><p>Pentraxin 3 (Ptx3) is an acute-phase protein that specifically targets fungal galactosaminogalactan and has been proposed as a promising biomarker for invasive fungal infections. However, its stability in clinical samples over time has not yet been established. This study aimed to evaluate the stability of Ptx3 in serum and bronchoalveolar lavage fluid (BALF) samples during mid- and long-term storage. A total of 44 serum and 52 BALF samples were examined or re-examined for Ptx3 concentrations using enzyme immunoassay in pooled and individual sample formats. Samples were stored at -80°C, -20°C, and +37°C for periods ranging from 0 to 56 months. Statistical analyses included a paired two-sample Wilcoxon signed-rank test, analysis of variance, Bonferroni test, and linear regression analysis. Ptx3 remained highly stable in serum and BALF samples for up to 8 months at -20°C, with variations ranging from -1.8% to +2.8%. Long-term stability was observed at -80°C for 48 months, followed by a slow decline in Ptx3 levels. In contrast, storage at +37°C resulted in rapid degradation, with a 36.5%-60.7% increase or a 92.9%-97% decrease in Ptx3 levels in serum and BALF, respectively. These findings confirm that Ptx3 is a stable and reliable biomarker for invasive fungal infections when appropriate storage conditions are maintained.</p>\",\"PeriodicalId\":18586,\"journal\":{\"name\":\"Medical mycology\",\"volume\":\" \",\"pages\":\"\"},\"PeriodicalIF\":2.3000,\"publicationDate\":\"2025-07-02\",\"publicationTypes\":\"Journal Article\",\"fieldsOfStudy\":null,\"isOpenAccess\":false,\"openAccessPdf\":\"https://www.ncbi.nlm.nih.gov/pmc/articles/PMC12247167/pdf/\",\"citationCount\":\"0\",\"resultStr\":null,\"platform\":\"Semanticscholar\",\"paperid\":null,\"PeriodicalName\":\"Medical mycology\",\"FirstCategoryId\":\"3\",\"ListUrlMain\":\"https://doi.org/10.1093/mmy/myaf057\",\"RegionNum\":3,\"RegionCategory\":\"医学\",\"ArticlePicture\":[],\"TitleCN\":null,\"AbstractTextCN\":null,\"PMCID\":null,\"EPubDate\":\"\",\"PubModel\":\"\",\"JCR\":\"Q3\",\"JCRName\":\"INFECTIOUS DISEASES\",\"Score\":null,\"Total\":0}","platform":"Semanticscholar","paperid":null,"PeriodicalName":"Medical mycology","FirstCategoryId":"3","ListUrlMain":"https://doi.org/10.1093/mmy/myaf057","RegionNum":3,"RegionCategory":"医学","ArticlePicture":[],"TitleCN":null,"AbstractTextCN":null,"PMCID":null,"EPubDate":"","PubModel":"","JCR":"Q3","JCRName":"INFECTIOUS DISEASES","Score":null,"Total":0}
引用次数: 0

摘要

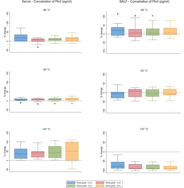
penttraxin 3 (Ptx3)是一种急性期蛋白,专门针对真菌半乳糖胺半乳糖,已被提出作为一种有前途的生物标志物侵袭性真菌感染。然而,其在临床样品中随时间的稳定性尚未确定。本研究旨在评估Ptx3在血清和支气管肺泡灌洗液(BALF)样品中长期储存期间的稳定性。采用酶免疫测定法(EIA)对共44份血清和52份BALF样本进行了Ptx3浓度检测或重新检测。样品在-80°C, -20°C和+ 37°C下保存0至56个月。统计分析包括配对双样本Wilcoxon符号秩检验、方差分析、Bonferroni检验和线性回归分析。在-20°C下,Ptx3在血清和BALF样品中保持高度稳定长达8个月,变化范围为-1.8%至+ 2.8%。在-80°C下观察到48个月的长期稳定性,随后Ptx3水平缓慢下降。相比之下,在+ 37℃下储存导致快速降解,血清和BALF中Ptx3水平分别增加36.5-60.7%或减少92.9-97%。这些发现证实,当保持适当的储存条件时,Ptx3是一种稳定可靠的侵袭性真菌感染生物标志物。
本文章由计算机程序翻译,如有差异,请以英文原文为准。

Time- and temperature-dependent Pentraxin 3 stability in serum and bronchoalveolar lavage fluid samples.

Time- and temperature-dependent Pentraxin 3 stability in serum and bronchoalveolar lavage fluid samples.

Time- and temperature-dependent Pentraxin 3 stability in serum and bronchoalveolar lavage fluid samples.

Time- and temperature-dependent Pentraxin 3 stability in serum and bronchoalveolar lavage fluid samples.

Pentraxin 3 (Ptx3) is an acute-phase protein that specifically targets fungal galactosaminogalactan and has been proposed as a promising biomarker for invasive fungal infections. However, its stability in clinical samples over time has not yet been established. This study aimed to evaluate the stability of Ptx3 in serum and bronchoalveolar lavage fluid (BALF) samples during mid- and long-term storage. A total of 44 serum and 52 BALF samples were examined or re-examined for Ptx3 concentrations using enzyme immunoassay in pooled and individual sample formats. Samples were stored at -80°C, -20°C, and +37°C for periods ranging from 0 to 56 months. Statistical analyses included a paired two-sample Wilcoxon signed-rank test, analysis of variance, Bonferroni test, and linear regression analysis. Ptx3 remained highly stable in serum and BALF samples for up to 8 months at -20°C, with variations ranging from -1.8% to +2.8%. Long-term stability was observed at -80°C for 48 months, followed by a slow decline in Ptx3 levels. In contrast, storage at +37°C resulted in rapid degradation, with a 36.5%-60.7% increase or a 92.9%-97% decrease in Ptx3 levels in serum and BALF, respectively. These findings confirm that Ptx3 is a stable and reliable biomarker for invasive fungal infections when appropriate storage conditions are maintained.

求助全文
通过发布文献求助,成功后即可免费获取论文全文。 去求助
来源期刊
Medical mycology
Medical mycology 医学-兽医学
CiteScore
5.70
自引率
3.40%
发文量
632
审稿时长
12 months
期刊介绍: Medical Mycology is a peer-reviewed international journal that focuses on original and innovative basic and applied studies, as well as learned reviews on all aspects of medical, veterinary and environmental mycology as related to disease. The objective is to present the highest quality scientific reports from throughout the world on divergent topics. These topics include the phylogeny of fungal pathogens, epidemiology and public health mycology themes, new approaches in the diagnosis and treatment of mycoses including clinical trials and guidelines, pharmacology and antifungal susceptibilities, changes in taxonomy, description of new or unusual fungi associated with human or animal disease, immunology of fungal infections, vaccinology for prevention of fungal infections, pathogenesis and virulence, and the molecular biology of pathogenic fungi in vitro and in vivo, including genomics, transcriptomics, metabolomics, and proteomics. Case reports are no longer accepted. In addition, studies of natural products showing inhibitory activity against pathogenic fungi are not accepted without chemical characterization and identification of the compounds responsible for the inhibitory activity.
×
引用
GB/T 7714-2015
复制
MLA
复制
APA
复制
导出至
BibTeX EndNote RefMan NoteFirst NoteExpress
×
提示
您的信息不完整,为了账户安全,请先补充。
现在去补充
×
提示
您因"违规操作"
具体请查看互助需知
我知道了
×
提示
确定
请完成安全验证×
copy
已复制链接
快去分享给好友吧!
我知道了
右上角分享
点击右上角分享
0
联系我们:info@booksci.cn Book学术提供免费学术资源搜索服务,方便国内外学者检索中英文文献。致力于提供最便捷和优质的服务体验。 Copyright © 2023 布克学术 All rights reserved.
京ICP备2023020795号-1
ghs 京公网安备 11010802042870号
Book学术文献互助
Book学术文献互助群
群 号:604180095
Book学术官方微信