2016 - 2023年6个欧洲国家成人呼吸道合胞病毒(RSV)感染在COVID-19之前和期间的住院趋势

IF 7.8 2区 医学 Q1 INFECTIOUS DISEASES
Arantxa Urchueguía-Fornes, Richard Osei-Yeboah, Ombeline Jollivet, Caroline Klint Johannesen, Toni Lehtonen, Michiel van Boven, David Gideonse, Rachel A Cohen, Alejandro Orrico-Sánchez, Rolf Kramer, Thea K Fischer, Terho Heikkinen, Harish Nair, Harry Campbell
{"title":"2016 - 2023年6个欧洲国家成人呼吸道合胞病毒(RSV)感染在COVID-19之前和期间的住院趋势","authors":"Arantxa Urchueguía-Fornes, Richard Osei-Yeboah, Ombeline Jollivet, Caroline Klint Johannesen, Toni Lehtonen, Michiel van Boven, David Gideonse, Rachel A Cohen, Alejandro Orrico-Sánchez, Rolf Kramer, Thea K Fischer, Terho Heikkinen, Harish Nair, Harry Campbell","doi":"10.2807/1560-7917.ES.2025.30.25.2400624","DOIUrl":null,"url":null,"abstract":"<p><p>BACKGROUNDRespiratory syncytial virus (RSV) is a major cause of morbidity in older adults.AIMWe aimed to investigate the epidemiology of RSV in adults in five European countries and one region before and during the COVID-19 era.METHODSWe conducted a retrospective analysis using national hospital admission data from Denmark, England, Finland, the Netherlands, Scotland and regional prospective surveillance data from the Spain-Valencia region. We included patients aged ≥ 18 years hospitalised for respiratory tract infections (RTIs) 2016-2023 and assessed RSV-coded and laboratory-confirmed hospitalisations, intensive care unit (ICU) admissions and mortality.RESULTSHospitalisations associated with RSV varied by country and year but increased with increasing age regardless of the use of RSV-coded or RSV-confirmed data, the country or year. The highest hospitalisation rates were in patients aged ≥ 85 years. We found that RSV-coded hospitalisations underestimated the case numbers when compared with laboratory-confirmed cases by an average of 1.9 (standard deviation (SD): ± 0.9). Admissions to ICU associated with RSV in England and CFR in England and Finland displayed different patterns post-COVID-19 pandemic peak but were not notably higher compared with RTI admissions.CONCLUSIONOur findings reveal a consistency of RSV hospital admission patterns between European countries in the study period, with higher incidence rates among older patients. The differences between the numbers of RSV-coded and laboratory-confirmed cases highlight the critical need for improved surveillance, diagnostic practices and coding guidelines to better assess the incidence. Our findings could be vital for guiding public health strategies, particularly with the introduction of RSV vaccines for older adults.</p>","PeriodicalId":12161,"journal":{"name":"Eurosurveillance","volume":"30 25","pages":""},"PeriodicalIF":7.8000,"publicationDate":"2025-06-01","publicationTypes":"Journal Article","fieldsOfStudy":null,"isOpenAccess":false,"openAccessPdf":"https://www.ncbi.nlm.nih.gov/pmc/articles/PMC12207200/pdf/","citationCount":"0","resultStr":"{\"title\":\"Hospitalisation trends of respiratory syncytial virus (RSV) infection in adults, six European countries, before and during COVID-19, 2016 to 2023.\",\"authors\":\"Arantxa Urchueguía-Fornes, Richard Osei-Yeboah, Ombeline Jollivet, Caroline Klint Johannesen, Toni Lehtonen, Michiel van Boven, David Gideonse, Rachel A Cohen, Alejandro Orrico-Sánchez, Rolf Kramer, Thea K Fischer, Terho Heikkinen, Harish Nair, Harry Campbell\",\"doi\":\"10.2807/1560-7917.ES.2025.30.25.2400624\",\"DOIUrl\":null,\"url\":null,\"abstract\":\"<p><p>BACKGROUNDRespiratory syncytial virus (RSV) is a major cause of morbidity in older adults.AIMWe aimed to investigate the epidemiology of RSV in adults in five European countries and one region before and during the COVID-19 era.METHODSWe conducted a retrospective analysis using national hospital admission data from Denmark, England, Finland, the Netherlands, Scotland and regional prospective surveillance data from the Spain-Valencia region. We included patients aged ≥ 18 years hospitalised for respiratory tract infections (RTIs) 2016-2023 and assessed RSV-coded and laboratory-confirmed hospitalisations, intensive care unit (ICU) admissions and mortality.RESULTSHospitalisations associated with RSV varied by country and year but increased with increasing age regardless of the use of RSV-coded or RSV-confirmed data, the country or year. The highest hospitalisation rates were in patients aged ≥ 85 years. We found that RSV-coded hospitalisations underestimated the case numbers when compared with laboratory-confirmed cases by an average of 1.9 (standard deviation (SD): ± 0.9). Admissions to ICU associated with RSV in England and CFR in England and Finland displayed different patterns post-COVID-19 pandemic peak but were not notably higher compared with RTI admissions.CONCLUSIONOur findings reveal a consistency of RSV hospital admission patterns between European countries in the study period, with higher incidence rates among older patients. The differences between the numbers of RSV-coded and laboratory-confirmed cases highlight the critical need for improved surveillance, diagnostic practices and coding guidelines to better assess the incidence. Our findings could be vital for guiding public health strategies, particularly with the introduction of RSV vaccines for older adults.</p>\",\"PeriodicalId\":12161,\"journal\":{\"name\":\"Eurosurveillance\",\"volume\":\"30 25\",\"pages\":\"\"},\"PeriodicalIF\":7.8000,\"publicationDate\":\"2025-06-01\",\"publicationTypes\":\"Journal Article\",\"fieldsOfStudy\":null,\"isOpenAccess\":false,\"openAccessPdf\":\"https://www.ncbi.nlm.nih.gov/pmc/articles/PMC12207200/pdf/\",\"citationCount\":\"0\",\"resultStr\":null,\"platform\":\"Semanticscholar\",\"paperid\":null,\"PeriodicalName\":\"Eurosurveillance\",\"FirstCategoryId\":\"3\",\"ListUrlMain\":\"https://doi.org/10.2807/1560-7917.ES.2025.30.25.2400624\",\"RegionNum\":2,\"RegionCategory\":\"医学\",\"ArticlePicture\":[],\"TitleCN\":null,\"AbstractTextCN\":null,\"PMCID\":null,\"EPubDate\":\"\",\"PubModel\":\"\",\"JCR\":\"Q1\",\"JCRName\":\"INFECTIOUS DISEASES\",\"Score\":null,\"Total\":0}","platform":"Semanticscholar","paperid":null,"PeriodicalName":"Eurosurveillance","FirstCategoryId":"3","ListUrlMain":"https://doi.org/10.2807/1560-7917.ES.2025.30.25.2400624","RegionNum":2,"RegionCategory":"医学","ArticlePicture":[],"TitleCN":null,"AbstractTextCN":null,"PMCID":null,"EPubDate":"","PubModel":"","JCR":"Q1","JCRName":"INFECTIOUS DISEASES","Score":null,"Total":0}
引用次数: 0

摘要

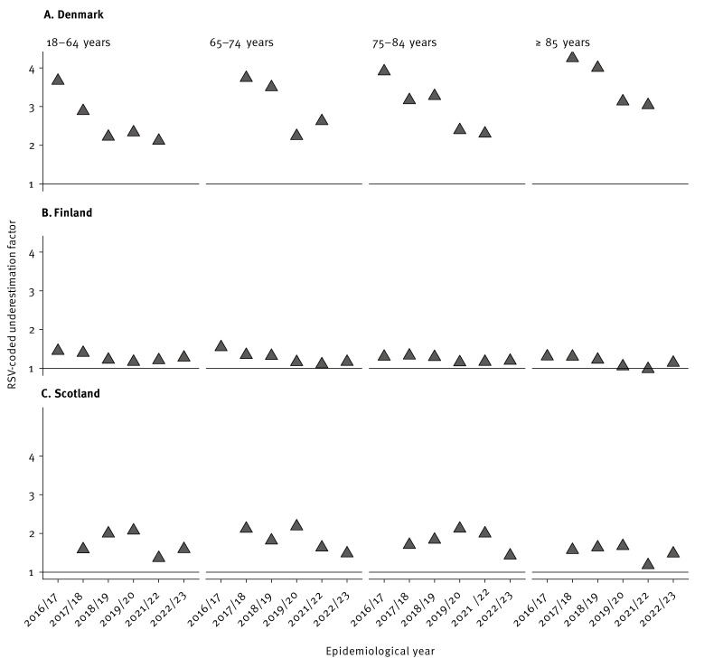
背景:呼吸道合胞病毒(RSV)是老年人发病的主要原因。目的是调查5个欧洲国家和1个地区在COVID-19时代之前和期间成人RSV的流行病学。方法:我们对丹麦、英格兰、芬兰、荷兰、苏格兰的国家住院数据和西班牙-瓦伦西亚地区的区域前瞻性监测数据进行了回顾性分析。我们纳入了2016-2023年因呼吸道感染(RTIs)住院的年龄≥18 的患者,并评估了rsv编码和实验室确认的住院、重症监护病房(ICU)入院和死亡率。结果与RSV相关的住院率因国家和年份而异,但与使用RSV编码或RSV确认数据、国家或年份无关,随年龄增长而增加。住院率最高的是年龄≥85 岁的患者。我们发现,与实验室确诊病例相比,rsv编码的住院病例数平均低估了1.9(标准差(SD):±0.9)。英格兰与RSV相关的ICU入院率以及英格兰和芬兰的CFR在covid -19大流行高峰后表现出不同的模式,但与RTI入院率相比没有显著增加。结论:我们的研究结果揭示了欧洲国家在研究期间RSV住院模式的一致性,其中老年患者的发病率较高。rsv编码病例数与实验室确诊病例数之间的差异突出表明,迫切需要改进监测、诊断做法和编码指南,以便更好地评估发病率。我们的发现可能对指导公共卫生战略至关重要,特别是在为老年人引入RSV疫苗方面。
本文章由计算机程序翻译,如有差异,请以英文原文为准。

Hospitalisation trends of respiratory syncytial virus (RSV) infection in adults, six European countries, before and during COVID-19, 2016 to 2023.

Hospitalisation trends of respiratory syncytial virus (RSV) infection in adults, six European countries, before and during COVID-19, 2016 to 2023.

Hospitalisation trends of respiratory syncytial virus (RSV) infection in adults, six European countries, before and during COVID-19, 2016 to 2023.

BACKGROUNDRespiratory syncytial virus (RSV) is a major cause of morbidity in older adults.AIMWe aimed to investigate the epidemiology of RSV in adults in five European countries and one region before and during the COVID-19 era.METHODSWe conducted a retrospective analysis using national hospital admission data from Denmark, England, Finland, the Netherlands, Scotland and regional prospective surveillance data from the Spain-Valencia region. We included patients aged ≥ 18 years hospitalised for respiratory tract infections (RTIs) 2016-2023 and assessed RSV-coded and laboratory-confirmed hospitalisations, intensive care unit (ICU) admissions and mortality.RESULTSHospitalisations associated with RSV varied by country and year but increased with increasing age regardless of the use of RSV-coded or RSV-confirmed data, the country or year. The highest hospitalisation rates were in patients aged ≥ 85 years. We found that RSV-coded hospitalisations underestimated the case numbers when compared with laboratory-confirmed cases by an average of 1.9 (standard deviation (SD): ± 0.9). Admissions to ICU associated with RSV in England and CFR in England and Finland displayed different patterns post-COVID-19 pandemic peak but were not notably higher compared with RTI admissions.CONCLUSIONOur findings reveal a consistency of RSV hospital admission patterns between European countries in the study period, with higher incidence rates among older patients. The differences between the numbers of RSV-coded and laboratory-confirmed cases highlight the critical need for improved surveillance, diagnostic practices and coding guidelines to better assess the incidence. Our findings could be vital for guiding public health strategies, particularly with the introduction of RSV vaccines for older adults.

求助全文
通过发布文献求助,成功后即可免费获取论文全文。 去求助
来源期刊
Eurosurveillance
Eurosurveillance INFECTIOUS DISEASES-
CiteScore
32.70
自引率
2.10%
发文量
430
审稿时长
3-8 weeks
期刊介绍: Eurosurveillance is a European peer-reviewed journal focusing on the epidemiology, surveillance, prevention, and control of communicable diseases relevant to Europe.It is a weekly online journal, with 50 issues per year published on Thursdays. The journal includes short rapid communications, in-depth research articles, surveillance reports, reviews, and perspective papers. It excels in timely publication of authoritative papers on ongoing outbreaks or other public health events. Under special circumstances when current events need to be urgently communicated to readers for rapid public health action, e-alerts can be released outside of the regular publishing schedule. Additionally, topical compilations and special issues may be provided in PDF format.
×
引用
GB/T 7714-2015
复制
MLA
复制
APA
复制
导出至
BibTeX EndNote RefMan NoteFirst NoteExpress
×
提示
您的信息不完整,为了账户安全,请先补充。
现在去补充
×
提示
您因"违规操作"
具体请查看互助需知
我知道了
×
提示
确定
请完成安全验证×
copy
已复制链接
快去分享给好友吧!
我知道了
右上角分享
点击右上角分享
0
联系我们:info@booksci.cn Book学术提供免费学术资源搜索服务,方便国内外学者检索中英文文献。致力于提供最便捷和优质的服务体验。 Copyright © 2023 布克学术 All rights reserved.
京ICP备2023020795号-1
ghs 京公网安备 11010802042870号
Book学术文献互助
Book学术文献互助群
群 号:604180095
Book学术官方微信