亚洲国家子宫癌的综合系统回顾和荟萃分析。

IF 1 Q3 MEDICINE, GENERAL & INTERNAL
Caspian Journal of Internal Medicine Pub Date : 2025-03-11 eCollection Date: 2025-01-01 DOI:10.22088/cjim.16.2.215
Mohebat Vali, Zahra Maleki, Mohammad-Ali Jahani, Sina Nazemi, Mousa Ghelichi-Ghojogh, Soheil Hassanipour, Mostafa Javanian, Hossein-Ali Nikbakht
{"title":"亚洲国家子宫癌的综合系统回顾和荟萃分析。","authors":"Mohebat Vali, Zahra Maleki, Mohammad-Ali Jahani, Sina Nazemi, Mousa Ghelichi-Ghojogh, Soheil Hassanipour, Mostafa Javanian, Hossein-Ali Nikbakht","doi":"10.22088/cjim.16.2.215","DOIUrl":null,"url":null,"abstract":"<p><strong>Background: </strong>Uterine cancer ranks among the leading causes of mortality in women, particularly prevalent in countries with low to moderate income levels. Present treatment and healthcare success rates are assessed by the survival rate index. This study aimed to determine the uterine cancer survival rate in Asia.</p><p><strong>Methods: </strong>Five international databases were analyzed to perform this systematic review: Medline/PubMed, ProQuest, Scopus, Web of Knowledge, and Google Scholar, until the end of August 2021. The Newcastle-Ottawa quality assessment form was utilized in the evaluation of quality for cohort studies. \"I2 statistic and Cochran test were used to check the analysis process and assess the heterogeneity among the studies. Also, the study year was used as the basis for a meta-regression analysis.</p><p><strong>Results: </strong>The study covered 75 papers in total. The survival rates of uterine cancer after one, three, five, and seven years are 76.68% (95% CI, 66.76-78.61), 63.56% (95% CI, 58.60-68.37), 59.04% (95% CI, 55.62-62.43), and 57.86% (95% CI, 51.16-64.42) according to the random model. Furthermore, according to the outcomes of the meta-regression, there was no correlation found between the study year and the survival rate.</p><p><strong>Conclusions: </strong>Compared to European and American countries, Asian countries have a poorer uterine cancer survival rate, which makes it crucial to improve the survival rate of patients through ensuring early diagnosis of the disease in its early stages and providing new diagnostic methods, modified surgical techniques, and targeted therapies.</p>","PeriodicalId":9646,"journal":{"name":"Caspian Journal of Internal Medicine","volume":"16 2","pages":"215-224"},"PeriodicalIF":1.0000,"publicationDate":"2025-03-11","publicationTypes":"Journal Article","fieldsOfStudy":null,"isOpenAccess":false,"openAccessPdf":"https://www.ncbi.nlm.nih.gov/pmc/articles/PMC12188908/pdf/","citationCount":"0","resultStr":"{\"title\":\"A comprehensive systematic review and meta-analysis of uterine cancer in Asian countries.\",\"authors\":\"Mohebat Vali, Zahra Maleki, Mohammad-Ali Jahani, Sina Nazemi, Mousa Ghelichi-Ghojogh, Soheil Hassanipour, Mostafa Javanian, Hossein-Ali Nikbakht\",\"doi\":\"10.22088/cjim.16.2.215\",\"DOIUrl\":null,\"url\":null,\"abstract\":\"<p><strong>Background: </strong>Uterine cancer ranks among the leading causes of mortality in women, particularly prevalent in countries with low to moderate income levels. Present treatment and healthcare success rates are assessed by the survival rate index. This study aimed to determine the uterine cancer survival rate in Asia.</p><p><strong>Methods: </strong>Five international databases were analyzed to perform this systematic review: Medline/PubMed, ProQuest, Scopus, Web of Knowledge, and Google Scholar, until the end of August 2021. The Newcastle-Ottawa quality assessment form was utilized in the evaluation of quality for cohort studies. \\\"I2 statistic and Cochran test were used to check the analysis process and assess the heterogeneity among the studies. Also, the study year was used as the basis for a meta-regression analysis.</p><p><strong>Results: </strong>The study covered 75 papers in total. The survival rates of uterine cancer after one, three, five, and seven years are 76.68% (95% CI, 66.76-78.61), 63.56% (95% CI, 58.60-68.37), 59.04% (95% CI, 55.62-62.43), and 57.86% (95% CI, 51.16-64.42) according to the random model. Furthermore, according to the outcomes of the meta-regression, there was no correlation found between the study year and the survival rate.</p><p><strong>Conclusions: </strong>Compared to European and American countries, Asian countries have a poorer uterine cancer survival rate, which makes it crucial to improve the survival rate of patients through ensuring early diagnosis of the disease in its early stages and providing new diagnostic methods, modified surgical techniques, and targeted therapies.</p>\",\"PeriodicalId\":9646,\"journal\":{\"name\":\"Caspian Journal of Internal Medicine\",\"volume\":\"16 2\",\"pages\":\"215-224\"},\"PeriodicalIF\":1.0000,\"publicationDate\":\"2025-03-11\",\"publicationTypes\":\"Journal Article\",\"fieldsOfStudy\":null,\"isOpenAccess\":false,\"openAccessPdf\":\"https://www.ncbi.nlm.nih.gov/pmc/articles/PMC12188908/pdf/\",\"citationCount\":\"0\",\"resultStr\":null,\"platform\":\"Semanticscholar\",\"paperid\":null,\"PeriodicalName\":\"Caspian Journal of Internal Medicine\",\"FirstCategoryId\":\"1085\",\"ListUrlMain\":\"https://doi.org/10.22088/cjim.16.2.215\",\"RegionNum\":0,\"RegionCategory\":null,\"ArticlePicture\":[],\"TitleCN\":null,\"AbstractTextCN\":null,\"PMCID\":null,\"EPubDate\":\"2025/1/1 0:00:00\",\"PubModel\":\"eCollection\",\"JCR\":\"Q3\",\"JCRName\":\"MEDICINE, GENERAL & INTERNAL\",\"Score\":null,\"Total\":0}","platform":"Semanticscholar","paperid":null,"PeriodicalName":"Caspian Journal of Internal Medicine","FirstCategoryId":"1085","ListUrlMain":"https://doi.org/10.22088/cjim.16.2.215","RegionNum":0,"RegionCategory":null,"ArticlePicture":[],"TitleCN":null,"AbstractTextCN":null,"PMCID":null,"EPubDate":"2025/1/1 0:00:00","PubModel":"eCollection","JCR":"Q3","JCRName":"MEDICINE, GENERAL & INTERNAL","Score":null,"Total":0}
引用次数: 0

摘要

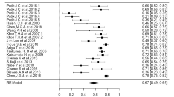
背景:子宫癌是妇女死亡的主要原因之一,在低收入和中等收入国家尤为普遍。目前的治疗和保健成功率由存活率指数评估。本研究旨在确定亚洲地区子宫癌的生存率。方法:采用Medline/PubMed、ProQuest、Scopus、Web of Knowledge和谷歌Scholar等5个国际数据库进行系统评价,截止到2021年8月底。采用纽卡斯尔-渥太华质量评估表对队列研究进行质量评价。采用I2统计量和Cochran检验检查分析过程,评估研究间的异质性。此外,研究年份被用作meta回归分析的基础。结果:本研究共收录论文75篇。随机模型子宫癌1、3、5、7年生存率分别为76.68% (95% CI, 66.76 ~ 78.61)、63.56% (95% CI, 58.60 ~ 68.37)、59.04% (95% CI, 55.62 ~ 62.43)、57.86% (95% CI, 51.16 ~ 64.42)。此外,根据meta回归的结果,研究年份与生存率之间没有相关性。结论:与欧美国家相比,亚洲国家的子宫癌生存率较低,因此通过早期诊断、提供新的诊断方法、改良手术技术和靶向治疗来提高患者的生存率至关重要。
本文章由计算机程序翻译,如有差异,请以英文原文为准。

A comprehensive systematic review and meta-analysis of uterine cancer in Asian countries.

A comprehensive systematic review and meta-analysis of uterine cancer in Asian countries.

A comprehensive systematic review and meta-analysis of uterine cancer in Asian countries.

A comprehensive systematic review and meta-analysis of uterine cancer in Asian countries.

Background: Uterine cancer ranks among the leading causes of mortality in women, particularly prevalent in countries with low to moderate income levels. Present treatment and healthcare success rates are assessed by the survival rate index. This study aimed to determine the uterine cancer survival rate in Asia.

Methods: Five international databases were analyzed to perform this systematic review: Medline/PubMed, ProQuest, Scopus, Web of Knowledge, and Google Scholar, until the end of August 2021. The Newcastle-Ottawa quality assessment form was utilized in the evaluation of quality for cohort studies. "I2 statistic and Cochran test were used to check the analysis process and assess the heterogeneity among the studies. Also, the study year was used as the basis for a meta-regression analysis.

Results: The study covered 75 papers in total. The survival rates of uterine cancer after one, three, five, and seven years are 76.68% (95% CI, 66.76-78.61), 63.56% (95% CI, 58.60-68.37), 59.04% (95% CI, 55.62-62.43), and 57.86% (95% CI, 51.16-64.42) according to the random model. Furthermore, according to the outcomes of the meta-regression, there was no correlation found between the study year and the survival rate.

Conclusions: Compared to European and American countries, Asian countries have a poorer uterine cancer survival rate, which makes it crucial to improve the survival rate of patients through ensuring early diagnosis of the disease in its early stages and providing new diagnostic methods, modified surgical techniques, and targeted therapies.

求助全文
通过发布文献求助,成功后即可免费获取论文全文。 去求助
来源期刊
Caspian Journal of Internal Medicine
Caspian Journal of Internal Medicine MEDICINE, GENERAL & INTERNAL-
CiteScore
1.90
自引率
7.10%
发文量
90
审稿时长
20 weeks
×
引用
GB/T 7714-2015
复制
MLA
复制
APA
复制
导出至
BibTeX EndNote RefMan NoteFirst NoteExpress
×
提示
您的信息不完整,为了账户安全,请先补充。
现在去补充
×
提示
您因"违规操作"
具体请查看互助需知
我知道了
×
提示
确定
请完成安全验证×
copy
已复制链接
快去分享给好友吧!
我知道了
右上角分享
点击右上角分享
0
联系我们:info@booksci.cn Book学术提供免费学术资源搜索服务,方便国内外学者检索中英文文献。致力于提供最便捷和优质的服务体验。 Copyright © 2023 布克学术 All rights reserved.
京ICP备2023020795号-1
ghs 京公网安备 11010802042870号
Book学术文献互助
Book学术文献互助群
群 号:604180095
Book学术官方微信