私人保险和活体肾移植之间的关系:平价医疗法案作为一个自然实验。

Kathleen Perry, Miko Yu, Joel T Adler, Lindsey M Maclay, David C Cron, Sumit Mohan, Syed A Husain
{"title":"私人保险和活体肾移植之间的关系:平价医疗法案作为一个自然实验。","authors":"Kathleen Perry, Miko Yu, Joel T Adler, Lindsey M Maclay, David C Cron, Sumit Mohan, Syed A Husain","doi":"10.5527/wjn.v14.i2.101419","DOIUrl":null,"url":null,"abstract":"<p><strong>Background: </strong>Private insurance coverage is associated with higher rates of living donor kidney transplantation (LDKT) but whether this is attributable to confounding is not known.</p><p><strong>Aim: </strong>To study the association between increased access to private health insurance and LDKT.</p><p><strong>Methods: </strong>Retrospective cohort study using United States transplant registry data. We identified incident candidates aged 22-29 years who were waitlisted for a kidney-only transplant from 2005-2014, excluding prior transplant recipients and those with missing data. We calculated the hazard of LDKT after waitlisting for those with private insurance <i>vs</i> other insurance pre-Affordable Care Act (ACA) <i>vs</i> post-ACA, using death and delisting as competing events, for candidates affected by the policy change (age 22-25 years) <i>vs</i> those who were not (age 26-29 years).</p><p><strong>Results: </strong>A total of 13817 candidates were included, of whom 46% were age 22-25 years and 54% were age 26-29 years. Among candidates aged 22-25 years at listing, those listed post-ACA were more likely to have private insurance compared to those listed pre-ACA (42% <i>vs</i> 35%), but there was no difference in private insurance coverage between eras among candidates aged 26-29 years at listing. In adjusted competing risk regression, privately insured patients age 22-25 years were less likely to receive a LDKT post-ACA compared to pre-ACA [hazard ratio (HR) = 0.88, 95%CI: 0.78-1.00], as were those aged 22-25 years old with other insurance types (HR = 0.80, 95%CI: 0.69-0.92). These associations were not seen among candidates age 26-29 years.</p><p><strong>Conclusion: </strong>Candidates age 22-25 years were likelier to have private insurance post-ACA, without an increased rate in LDKT. Demonstrations of associations between insurance and LDKT are likely attributable to residual confounding.</p>","PeriodicalId":94272,"journal":{"name":"World journal of nephrology","volume":"14 2","pages":"101419"},"PeriodicalIF":0.0000,"publicationDate":"2025-06-25","publicationTypes":"Journal Article","fieldsOfStudy":null,"isOpenAccess":false,"openAccessPdf":"https://www.ncbi.nlm.nih.gov/pmc/articles/PMC12001229/pdf/","citationCount":"0","resultStr":"{\"title\":\"Association between private insurance and living donor kidney transplant: Affordable Care Act as a natural experiment.\",\"authors\":\"Kathleen Perry, Miko Yu, Joel T Adler, Lindsey M Maclay, David C Cron, Sumit Mohan, Syed A Husain\",\"doi\":\"10.5527/wjn.v14.i2.101419\",\"DOIUrl\":null,\"url\":null,\"abstract\":\"<p><strong>Background: </strong>Private insurance coverage is associated with higher rates of living donor kidney transplantation (LDKT) but whether this is attributable to confounding is not known.</p><p><strong>Aim: </strong>To study the association between increased access to private health insurance and LDKT.</p><p><strong>Methods: </strong>Retrospective cohort study using United States transplant registry data. We identified incident candidates aged 22-29 years who were waitlisted for a kidney-only transplant from 2005-2014, excluding prior transplant recipients and those with missing data. We calculated the hazard of LDKT after waitlisting for those with private insurance <i>vs</i> other insurance pre-Affordable Care Act (ACA) <i>vs</i> post-ACA, using death and delisting as competing events, for candidates affected by the policy change (age 22-25 years) <i>vs</i> those who were not (age 26-29 years).</p><p><strong>Results: </strong>A total of 13817 candidates were included, of whom 46% were age 22-25 years and 54% were age 26-29 years. Among candidates aged 22-25 years at listing, those listed post-ACA were more likely to have private insurance compared to those listed pre-ACA (42% <i>vs</i> 35%), but there was no difference in private insurance coverage between eras among candidates aged 26-29 years at listing. In adjusted competing risk regression, privately insured patients age 22-25 years were less likely to receive a LDKT post-ACA compared to pre-ACA [hazard ratio (HR) = 0.88, 95%CI: 0.78-1.00], as were those aged 22-25 years old with other insurance types (HR = 0.80, 95%CI: 0.69-0.92). These associations were not seen among candidates age 26-29 years.</p><p><strong>Conclusion: </strong>Candidates age 22-25 years were likelier to have private insurance post-ACA, without an increased rate in LDKT. Demonstrations of associations between insurance and LDKT are likely attributable to residual confounding.</p>\",\"PeriodicalId\":94272,\"journal\":{\"name\":\"World journal of nephrology\",\"volume\":\"14 2\",\"pages\":\"101419\"},\"PeriodicalIF\":0.0000,\"publicationDate\":\"2025-06-25\",\"publicationTypes\":\"Journal Article\",\"fieldsOfStudy\":null,\"isOpenAccess\":false,\"openAccessPdf\":\"https://www.ncbi.nlm.nih.gov/pmc/articles/PMC12001229/pdf/\",\"citationCount\":\"0\",\"resultStr\":null,\"platform\":\"Semanticscholar\",\"paperid\":null,\"PeriodicalName\":\"World journal of nephrology\",\"FirstCategoryId\":\"1085\",\"ListUrlMain\":\"https://doi.org/10.5527/wjn.v14.i2.101419\",\"RegionNum\":0,\"RegionCategory\":null,\"ArticlePicture\":[],\"TitleCN\":null,\"AbstractTextCN\":null,\"PMCID\":null,\"EPubDate\":\"\",\"PubModel\":\"\",\"JCR\":\"\",\"JCRName\":\"\",\"Score\":null,\"Total\":0}","platform":"Semanticscholar","paperid":null,"PeriodicalName":"World journal of nephrology","FirstCategoryId":"1085","ListUrlMain":"https://doi.org/10.5527/wjn.v14.i2.101419","RegionNum":0,"RegionCategory":null,"ArticlePicture":[],"TitleCN":null,"AbstractTextCN":null,"PMCID":null,"EPubDate":"","PubModel":"","JCR":"","JCRName":"","Score":null,"Total":0}
引用次数: 0

摘要

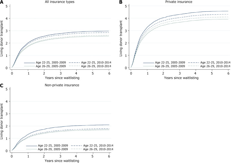
背景:私人保险覆盖率与较高的活体供体肾移植(LDKT)率相关,但这是否可归因于混杂因素尚不清楚。目的:研究私营医疗保险可及性增加与LDKT之间的关系。方法:采用美国移植登记资料进行回顾性队列研究。我们确定了年龄在22-29岁之间的候选者,这些候选者在2005-2014年期间等待进行仅肾移植,不包括先前的移植接受者和数据缺失者。我们将受政策变化影响的候选人(22-25岁)与未受政策变化影响的候选人(26-29岁)的死亡和退市作为竞争事件,计算了有私人保险的人与其他保险的人在等待名单后LDKT的风险(平价医疗法案(ACA)前与ACA后)。结果:共纳入13817例患者,其中22-25岁占46%,26-29岁占54%。在22-25岁的候选人中,与aca前的候选人相比,aca后的候选人更有可能拥有私人保险(42%对35%),但26-29岁的候选人在不同时代的私人保险覆盖率没有差异。在调整后的竞争风险回归中,与aca前相比,22-25岁的私人保险患者在aca后接受LDKT的可能性更小[风险比(HR) = 0.88, 95%CI: 0.78-1.00], 22-25岁的其他保险类型患者也是如此(HR = 0.80, 95%CI: 0.69-0.92)。这些关联在26-29岁的候选人中未见。结论:22-25岁的候选人在aca后更有可能拥有私人保险,而LDKT的比例没有增加。保险和LDKT之间的关联可能归因于残留混淆。
本文章由计算机程序翻译,如有差异,请以英文原文为准。

Association between private insurance and living donor kidney transplant: Affordable Care Act as a natural experiment.

Association between private insurance and living donor kidney transplant: Affordable Care Act as a natural experiment.

Association between private insurance and living donor kidney transplant: Affordable Care Act as a natural experiment.

Background: Private insurance coverage is associated with higher rates of living donor kidney transplantation (LDKT) but whether this is attributable to confounding is not known.

Aim: To study the association between increased access to private health insurance and LDKT.

Methods: Retrospective cohort study using United States transplant registry data. We identified incident candidates aged 22-29 years who were waitlisted for a kidney-only transplant from 2005-2014, excluding prior transplant recipients and those with missing data. We calculated the hazard of LDKT after waitlisting for those with private insurance vs other insurance pre-Affordable Care Act (ACA) vs post-ACA, using death and delisting as competing events, for candidates affected by the policy change (age 22-25 years) vs those who were not (age 26-29 years).

Results: A total of 13817 candidates were included, of whom 46% were age 22-25 years and 54% were age 26-29 years. Among candidates aged 22-25 years at listing, those listed post-ACA were more likely to have private insurance compared to those listed pre-ACA (42% vs 35%), but there was no difference in private insurance coverage between eras among candidates aged 26-29 years at listing. In adjusted competing risk regression, privately insured patients age 22-25 years were less likely to receive a LDKT post-ACA compared to pre-ACA [hazard ratio (HR) = 0.88, 95%CI: 0.78-1.00], as were those aged 22-25 years old with other insurance types (HR = 0.80, 95%CI: 0.69-0.92). These associations were not seen among candidates age 26-29 years.

Conclusion: Candidates age 22-25 years were likelier to have private insurance post-ACA, without an increased rate in LDKT. Demonstrations of associations between insurance and LDKT are likely attributable to residual confounding.

求助全文
通过发布文献求助,成功后即可免费获取论文全文。 去求助
来源期刊
CiteScore
3.40
自引率
0.00%
发文量
0
×
引用
GB/T 7714-2015
复制
MLA
复制
APA
复制
导出至
BibTeX EndNote RefMan NoteFirst NoteExpress
×
提示
您的信息不完整,为了账户安全,请先补充。
现在去补充
×
提示
您因"违规操作"
具体请查看互助需知
我知道了
×
提示
确定
请完成安全验证×
copy
已复制链接
快去分享给好友吧!
我知道了
右上角分享
点击右上角分享
0
联系我们:info@booksci.cn Book学术提供免费学术资源搜索服务,方便国内外学者检索中英文文献。致力于提供最便捷和优质的服务体验。 Copyright © 2023 布克学术 All rights reserved.
京ICP备2023020795号-1
ghs 京公网安备 11010802042870号
Book学术文献互助
Book学术文献互助群
群 号:604180095
Book学术官方微信