脊髓损伤后可控神经性疼痛的意义。

IF 2.5 Q2 CLINICAL NEUROLOGY
Frontiers in pain research (Lausanne, Switzerland) Pub Date : 2025-06-11 eCollection Date: 2025-01-01 DOI:10.3389/fpain.2025.1540395
Marlon L Wong, Kimberly D Anderson, Kathryn E Roach, Linda Robayo, Nicholas P Cherup, Roberta Vastano, Gabriel Fernandez, Eva Widerström-Noga
{"title":"脊髓损伤后可控神经性疼痛的意义。","authors":"Marlon L Wong, Kimberly D Anderson, Kathryn E Roach, Linda Robayo, Nicholas P Cherup, Roberta Vastano, Gabriel Fernandez, Eva Widerström-Noga","doi":"10.3389/fpain.2025.1540395","DOIUrl":null,"url":null,"abstract":"<p><strong>Introduction: </strong>Chronic neuropathic pain (NP) is a prevalent and debilitating condition among individuals with spinal cord injury (SCI). Complete pain relief is often unattainable, making the concept of \"manageable pain\" a critical focus for improving quality of life. This study aims to elucidate the meaning of manageable pain for individuals with chronic NP post-SCI.</p><p><strong>Methods: </strong>A mixed-methods approach was employed, involving qualitative interviews and quantitative assessments with 36 participants experiencing moderate to severe NP.</p><p><strong>Results: </strong>The qualitative data revealed three major themes: Manageable Pain, Unmanageable Pain, and Ways to Control Pain. Manageable pain was characterized by its moderate intensity, predictability, and minimal interference with daily activities. In contrast, unmanageable pain was associated with significant emotional distress, activity hindrance, and inability to control the pain. Participants used a variety of techniques to control pain, including cognitive/emotional coping strategies, medication, and physical activity. Most participants used a multimodal approach that was severity and situation dependent.</p><p><strong>Discussion: </strong>These findings underscore the multifaceted nature of pain management and the importance of individualized approaches that consider both pain acceptance and coping strategies. This study provides valuable insights into the personal experiences of NP in people with SCI and their perspectives on the meaning of manageable pain. These findings highlight the need for comprehensive pain management strategies that enhance daily functioning and overall well-being.</p>","PeriodicalId":73097,"journal":{"name":"Frontiers in pain research (Lausanne, Switzerland)","volume":"6 ","pages":"1540395"},"PeriodicalIF":2.5000,"publicationDate":"2025-06-11","publicationTypes":"Journal Article","fieldsOfStudy":null,"isOpenAccess":false,"openAccessPdf":"https://www.ncbi.nlm.nih.gov/pmc/articles/PMC12187659/pdf/","citationCount":"0","resultStr":"{\"title\":\"The meaning of manageable neuropathic pain after SCI.\",\"authors\":\"Marlon L Wong, Kimberly D Anderson, Kathryn E Roach, Linda Robayo, Nicholas P Cherup, Roberta Vastano, Gabriel Fernandez, Eva Widerström-Noga\",\"doi\":\"10.3389/fpain.2025.1540395\",\"DOIUrl\":null,\"url\":null,\"abstract\":\"<p><strong>Introduction: </strong>Chronic neuropathic pain (NP) is a prevalent and debilitating condition among individuals with spinal cord injury (SCI). Complete pain relief is often unattainable, making the concept of \\\"manageable pain\\\" a critical focus for improving quality of life. This study aims to elucidate the meaning of manageable pain for individuals with chronic NP post-SCI.</p><p><strong>Methods: </strong>A mixed-methods approach was employed, involving qualitative interviews and quantitative assessments with 36 participants experiencing moderate to severe NP.</p><p><strong>Results: </strong>The qualitative data revealed three major themes: Manageable Pain, Unmanageable Pain, and Ways to Control Pain. Manageable pain was characterized by its moderate intensity, predictability, and minimal interference with daily activities. In contrast, unmanageable pain was associated with significant emotional distress, activity hindrance, and inability to control the pain. Participants used a variety of techniques to control pain, including cognitive/emotional coping strategies, medication, and physical activity. Most participants used a multimodal approach that was severity and situation dependent.</p><p><strong>Discussion: </strong>These findings underscore the multifaceted nature of pain management and the importance of individualized approaches that consider both pain acceptance and coping strategies. This study provides valuable insights into the personal experiences of NP in people with SCI and their perspectives on the meaning of manageable pain. These findings highlight the need for comprehensive pain management strategies that enhance daily functioning and overall well-being.</p>\",\"PeriodicalId\":73097,\"journal\":{\"name\":\"Frontiers in pain research (Lausanne, Switzerland)\",\"volume\":\"6 \",\"pages\":\"1540395\"},\"PeriodicalIF\":2.5000,\"publicationDate\":\"2025-06-11\",\"publicationTypes\":\"Journal Article\",\"fieldsOfStudy\":null,\"isOpenAccess\":false,\"openAccessPdf\":\"https://www.ncbi.nlm.nih.gov/pmc/articles/PMC12187659/pdf/\",\"citationCount\":\"0\",\"resultStr\":null,\"platform\":\"Semanticscholar\",\"paperid\":null,\"PeriodicalName\":\"Frontiers in pain research (Lausanne, Switzerland)\",\"FirstCategoryId\":\"1085\",\"ListUrlMain\":\"https://doi.org/10.3389/fpain.2025.1540395\",\"RegionNum\":0,\"RegionCategory\":null,\"ArticlePicture\":[],\"TitleCN\":null,\"AbstractTextCN\":null,\"PMCID\":null,\"EPubDate\":\"2025/1/1 0:00:00\",\"PubModel\":\"eCollection\",\"JCR\":\"Q2\",\"JCRName\":\"CLINICAL NEUROLOGY\",\"Score\":null,\"Total\":0}","platform":"Semanticscholar","paperid":null,"PeriodicalName":"Frontiers in pain research (Lausanne, Switzerland)","FirstCategoryId":"1085","ListUrlMain":"https://doi.org/10.3389/fpain.2025.1540395","RegionNum":0,"RegionCategory":null,"ArticlePicture":[],"TitleCN":null,"AbstractTextCN":null,"PMCID":null,"EPubDate":"2025/1/1 0:00:00","PubModel":"eCollection","JCR":"Q2","JCRName":"CLINICAL NEUROLOGY","Score":null,"Total":0}
引用次数: 0

摘要

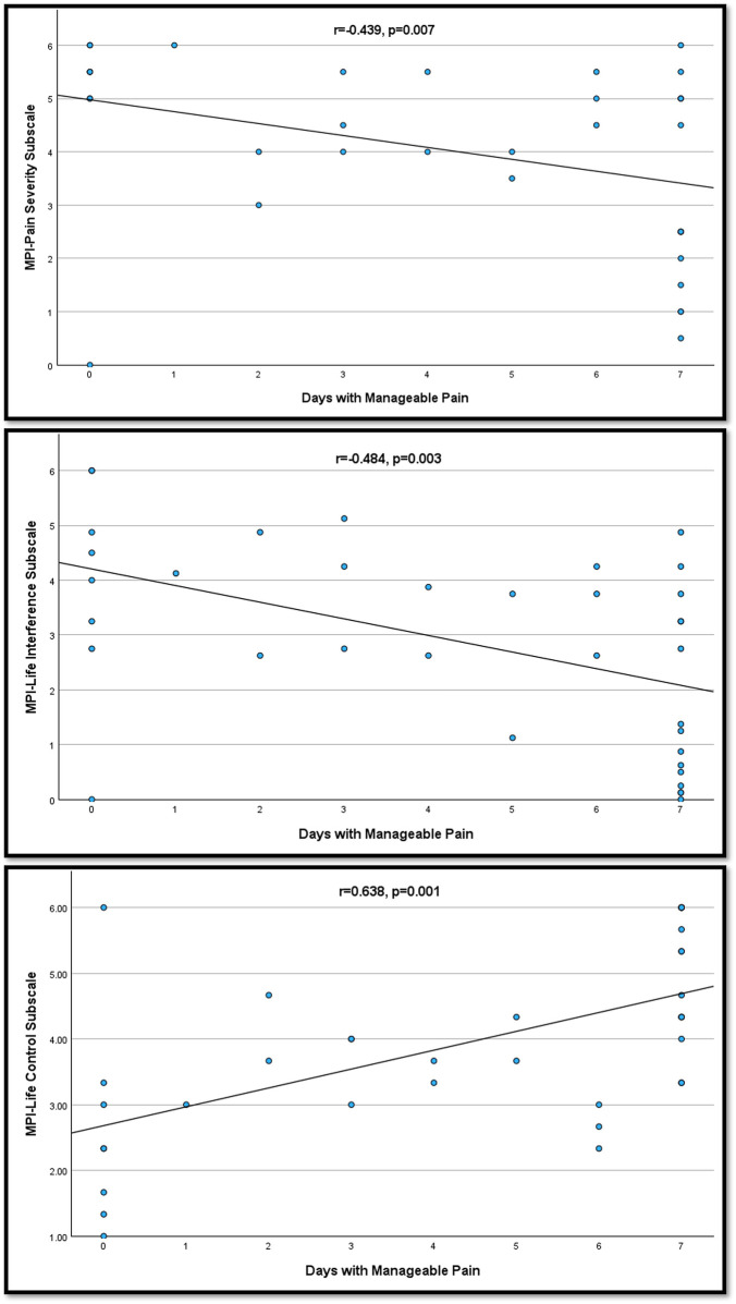
慢性神经性疼痛(NP)是脊髓损伤(SCI)患者普遍存在的一种衰弱性疾病。完全缓解疼痛通常是不可能实现的,这使得“可控疼痛”的概念成为提高生活质量的关键焦点。本研究旨在阐明慢性NP脊髓损伤后患者可控疼痛的意义。方法:采用混合方法,对36名中度至重度NP患者进行定性访谈和定量评估。结果:定性数据揭示了三个主要主题:可控的疼痛,不可控制的疼痛和控制疼痛的方法。可控疼痛的特点是强度适中,可预测性强,对日常活动的干扰最小。相比之下,难以控制的疼痛与显著的情绪困扰、活动障碍和无法控制疼痛有关。参与者使用各种技术来控制疼痛,包括认知/情绪应对策略、药物和体育活动。大多数参与者使用严重程度和情况依赖的多模式方法。讨论:这些发现强调了疼痛管理的多面性,以及考虑疼痛接受和应对策略的个性化方法的重要性。本研究对脊髓损伤患者NP的个人经历以及他们对可控疼痛意义的看法提供了有价值的见解。这些发现强调需要全面的疼痛管理策略,以增强日常功能和整体健康。
本文章由计算机程序翻译,如有差异,请以英文原文为准。

The meaning of manageable neuropathic pain after SCI.

The meaning of manageable neuropathic pain after SCI.

The meaning of manageable neuropathic pain after SCI.

Introduction: Chronic neuropathic pain (NP) is a prevalent and debilitating condition among individuals with spinal cord injury (SCI). Complete pain relief is often unattainable, making the concept of "manageable pain" a critical focus for improving quality of life. This study aims to elucidate the meaning of manageable pain for individuals with chronic NP post-SCI.

Methods: A mixed-methods approach was employed, involving qualitative interviews and quantitative assessments with 36 participants experiencing moderate to severe NP.

Results: The qualitative data revealed three major themes: Manageable Pain, Unmanageable Pain, and Ways to Control Pain. Manageable pain was characterized by its moderate intensity, predictability, and minimal interference with daily activities. In contrast, unmanageable pain was associated with significant emotional distress, activity hindrance, and inability to control the pain. Participants used a variety of techniques to control pain, including cognitive/emotional coping strategies, medication, and physical activity. Most participants used a multimodal approach that was severity and situation dependent.

Discussion: These findings underscore the multifaceted nature of pain management and the importance of individualized approaches that consider both pain acceptance and coping strategies. This study provides valuable insights into the personal experiences of NP in people with SCI and their perspectives on the meaning of manageable pain. These findings highlight the need for comprehensive pain management strategies that enhance daily functioning and overall well-being.

求助全文
通过发布文献求助,成功后即可免费获取论文全文。 去求助
来源期刊
CiteScore
2.10
自引率
0.00%
发文量
0
审稿时长
13 weeks
×
引用
GB/T 7714-2015
复制
MLA
复制
APA
复制
导出至
BibTeX EndNote RefMan NoteFirst NoteExpress
×
提示
您的信息不完整,为了账户安全,请先补充。
现在去补充
×
提示
您因"违规操作"
具体请查看互助需知
我知道了
×
提示
确定
请完成安全验证×
copy
已复制链接
快去分享给好友吧!
我知道了
右上角分享
点击右上角分享
0
联系我们:info@booksci.cn Book学术提供免费学术资源搜索服务,方便国内外学者检索中英文文献。致力于提供最便捷和优质的服务体验。 Copyright © 2023 布克学术 All rights reserved.
京ICP备2023020795号-1
ghs 京公网安备 11010802042870号
Book学术文献互助
Book学术文献互助群
群 号:604180095
Book学术官方微信