胃食管反流疾病风险预测模型的建立与验证:胃食管反流疾病风险评分系统。

Shanmathi Subramanian, Umashri Sundararaju, Hamrish Kumar Rajakumar, Varsha Coimbatore Sathyabal, Arun Murugan, Pavithra Gnanavel, Kasinathan Sathishkumar
{"title":"胃食管反流疾病风险预测模型的建立与验证:胃食管反流疾病风险评分系统。","authors":"Shanmathi Subramanian, Umashri Sundararaju, Hamrish Kumar Rajakumar, Varsha Coimbatore Sathyabal, Arun Murugan, Pavithra Gnanavel, Kasinathan Sathishkumar","doi":"10.4291/wjgp.v16.i2.107994","DOIUrl":null,"url":null,"abstract":"<p><strong>Background: </strong>The rising global prevalence of gastroesophageal reflux disease (GERD) has been closely linked to lifestyle changes driven by globalization. GERD imposes a substantial public health burden, affecting quality of life and leading to potential complications. Early intervention through lifestyle modification can prevent disease onset; however, there is a lack of effective risk prediction models that emphasize primary prevention.</p><p><strong>Aim: </strong>To develop and validate a GERD Risk Scoring System (GRSS) aimed at identifying high-risk individuals and promoting primary prevention strategies.</p><p><strong>Methods: </strong>A 45-item questionnaire encompassing major lifestyle and demographic risk factors was developed and validated. It was administered to healthy controls and GERD patients. Two regression models-one using continuous variables and another using categorized variables-were used to develop a computational prediction equation and a clinically applicable scoring scale. An independent validation cohort of 355 participants was used to assess model performance in terms of discrimination (C-index), calibration, sensitivity, specificity, internal consistency (Cronbach's alpha), and test-retest reliability (intraclass correlation coefficient, Bland-Altman analysis).</p><p><strong>Results: </strong>Significant associations were observed between GERD and key lifestyle factors. The derived GRSS equation and scoring scale demonstrated strong discriminative ability, with high sensitivity and specificity. The scoring system exhibited excellent internal consistency (Cronbach's alpha) and strong test-retest reliability. The C-index indicated excellent predictive accuracy in both derivation and validation cohorts.</p><p><strong>Conclusion: </strong>GRSS offers a novel and validated approach to GERD risk prediction, combining a robust equation for digital applications and a practical scale for clinical use. Its ability to accurately identify at-risk individuals supports a paradigm shift toward primary prevention, underscoring its significance in addressing the growing burden of GERD at the population level.</p>","PeriodicalId":68755,"journal":{"name":"世界胃肠病理生理学杂志(电子版)(英文版)","volume":"16 2","pages":"107994"},"PeriodicalIF":0.0000,"publicationDate":"2025-06-22","publicationTypes":"Journal Article","fieldsOfStudy":null,"isOpenAccess":false,"openAccessPdf":"https://www.ncbi.nlm.nih.gov/pmc/articles/PMC12186168/pdf/","citationCount":"0","resultStr":"{\"title\":\"Development and validation of a risk prediction model for gastroesophageal reflux disease: Gastroesophageal Reflux Disease Risk Scoring System.\",\"authors\":\"Shanmathi Subramanian, Umashri Sundararaju, Hamrish Kumar Rajakumar, Varsha Coimbatore Sathyabal, Arun Murugan, Pavithra Gnanavel, Kasinathan Sathishkumar\",\"doi\":\"10.4291/wjgp.v16.i2.107994\",\"DOIUrl\":null,\"url\":null,\"abstract\":\"<p><strong>Background: </strong>The rising global prevalence of gastroesophageal reflux disease (GERD) has been closely linked to lifestyle changes driven by globalization. GERD imposes a substantial public health burden, affecting quality of life and leading to potential complications. Early intervention through lifestyle modification can prevent disease onset; however, there is a lack of effective risk prediction models that emphasize primary prevention.</p><p><strong>Aim: </strong>To develop and validate a GERD Risk Scoring System (GRSS) aimed at identifying high-risk individuals and promoting primary prevention strategies.</p><p><strong>Methods: </strong>A 45-item questionnaire encompassing major lifestyle and demographic risk factors was developed and validated. It was administered to healthy controls and GERD patients. Two regression models-one using continuous variables and another using categorized variables-were used to develop a computational prediction equation and a clinically applicable scoring scale. An independent validation cohort of 355 participants was used to assess model performance in terms of discrimination (C-index), calibration, sensitivity, specificity, internal consistency (Cronbach's alpha), and test-retest reliability (intraclass correlation coefficient, Bland-Altman analysis).</p><p><strong>Results: </strong>Significant associations were observed between GERD and key lifestyle factors. The derived GRSS equation and scoring scale demonstrated strong discriminative ability, with high sensitivity and specificity. The scoring system exhibited excellent internal consistency (Cronbach's alpha) and strong test-retest reliability. The C-index indicated excellent predictive accuracy in both derivation and validation cohorts.</p><p><strong>Conclusion: </strong>GRSS offers a novel and validated approach to GERD risk prediction, combining a robust equation for digital applications and a practical scale for clinical use. Its ability to accurately identify at-risk individuals supports a paradigm shift toward primary prevention, underscoring its significance in addressing the growing burden of GERD at the population level.</p>\",\"PeriodicalId\":68755,\"journal\":{\"name\":\"世界胃肠病理生理学杂志(电子版)(英文版)\",\"volume\":\"16 2\",\"pages\":\"107994\"},\"PeriodicalIF\":0.0000,\"publicationDate\":\"2025-06-22\",\"publicationTypes\":\"Journal Article\",\"fieldsOfStudy\":null,\"isOpenAccess\":false,\"openAccessPdf\":\"https://www.ncbi.nlm.nih.gov/pmc/articles/PMC12186168/pdf/\",\"citationCount\":\"0\",\"resultStr\":null,\"platform\":\"Semanticscholar\",\"paperid\":null,\"PeriodicalName\":\"世界胃肠病理生理学杂志(电子版)(英文版)\",\"FirstCategoryId\":\"3\",\"ListUrlMain\":\"https://doi.org/10.4291/wjgp.v16.i2.107994\",\"RegionNum\":0,\"RegionCategory\":null,\"ArticlePicture\":[],\"TitleCN\":null,\"AbstractTextCN\":null,\"PMCID\":null,\"EPubDate\":\"\",\"PubModel\":\"\",\"JCR\":\"\",\"JCRName\":\"\",\"Score\":null,\"Total\":0}","platform":"Semanticscholar","paperid":null,"PeriodicalName":"世界胃肠病理生理学杂志(电子版)(英文版)","FirstCategoryId":"3","ListUrlMain":"https://doi.org/10.4291/wjgp.v16.i2.107994","RegionNum":0,"RegionCategory":null,"ArticlePicture":[],"TitleCN":null,"AbstractTextCN":null,"PMCID":null,"EPubDate":"","PubModel":"","JCR":"","JCRName":"","Score":null,"Total":0}
引用次数: 0

摘要

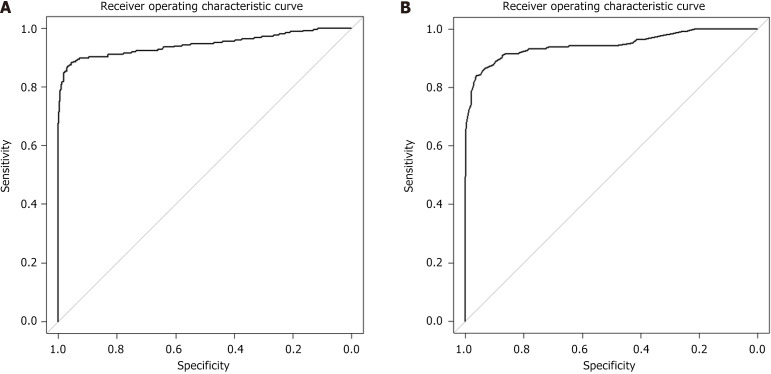
背景:胃食管反流病(GERD)的全球患病率上升与全球化推动的生活方式改变密切相关。胃食管反流症给公众健康造成了沉重负担,影响生活质量并导致潜在并发症。通过改变生活方式进行早期干预可以预防疾病的发生;然而,目前缺乏强调初级预防的有效风险预测模型。目的:开发并验证一种GERD风险评分系统(GRSS),旨在识别高危人群并促进一级预防策略。方法:编制并验证了包含主要生活方式和人口危险因素的45项问卷。它被用于健康对照和胃食管反流患者。两个回归模型——一个使用连续变量,另一个使用分类变量——被用来建立一个计算预测方程和一个临床适用的评分量表。采用355名参与者的独立验证队列,从辨别力(c指数)、校准、敏感性、特异性、内部一致性(Cronbach’s alpha)和重测信度(类内相关系数、Bland-Altman分析)等方面评估模型的性能。结果:胃食管反流与主要生活方式因素有显著相关性。推导出的GRSS方程和评分量表判别能力强,具有较高的敏感性和特异性。评分系统具有良好的内部一致性(Cronbach’s alpha)和较强的重测信度。c指数在推导和验证队列中都显示出极好的预测准确性。结论:GRSS为GERD风险预测提供了一种新颖而有效的方法,结合了数字应用的稳健方程和临床应用的实际规模。它准确识别高危个体的能力支持了向初级预防的范式转变,强调了它在解决人口水平上日益增长的胃食管反流病负担方面的重要性。
本文章由计算机程序翻译,如有差异,请以英文原文为准。

Development and validation of a risk prediction model for gastroesophageal reflux disease: Gastroesophageal Reflux Disease Risk Scoring System.

Development and validation of a risk prediction model for gastroesophageal reflux disease: Gastroesophageal Reflux Disease Risk Scoring System.

Development and validation of a risk prediction model for gastroesophageal reflux disease: Gastroesophageal Reflux Disease Risk Scoring System.

Background: The rising global prevalence of gastroesophageal reflux disease (GERD) has been closely linked to lifestyle changes driven by globalization. GERD imposes a substantial public health burden, affecting quality of life and leading to potential complications. Early intervention through lifestyle modification can prevent disease onset; however, there is a lack of effective risk prediction models that emphasize primary prevention.

Aim: To develop and validate a GERD Risk Scoring System (GRSS) aimed at identifying high-risk individuals and promoting primary prevention strategies.

Methods: A 45-item questionnaire encompassing major lifestyle and demographic risk factors was developed and validated. It was administered to healthy controls and GERD patients. Two regression models-one using continuous variables and another using categorized variables-were used to develop a computational prediction equation and a clinically applicable scoring scale. An independent validation cohort of 355 participants was used to assess model performance in terms of discrimination (C-index), calibration, sensitivity, specificity, internal consistency (Cronbach's alpha), and test-retest reliability (intraclass correlation coefficient, Bland-Altman analysis).

Results: Significant associations were observed between GERD and key lifestyle factors. The derived GRSS equation and scoring scale demonstrated strong discriminative ability, with high sensitivity and specificity. The scoring system exhibited excellent internal consistency (Cronbach's alpha) and strong test-retest reliability. The C-index indicated excellent predictive accuracy in both derivation and validation cohorts.

Conclusion: GRSS offers a novel and validated approach to GERD risk prediction, combining a robust equation for digital applications and a practical scale for clinical use. Its ability to accurately identify at-risk individuals supports a paradigm shift toward primary prevention, underscoring its significance in addressing the growing burden of GERD at the population level.

求助全文
通过发布文献求助,成功后即可免费获取论文全文。 去求助
来源期刊
自引率
0.00%
发文量
336
×
引用
GB/T 7714-2015
复制
MLA
复制
APA
复制
导出至
BibTeX EndNote RefMan NoteFirst NoteExpress
×
提示
您的信息不完整,为了账户安全,请先补充。
现在去补充
×
提示
您因"违规操作"
具体请查看互助需知
我知道了
×
提示
确定
请完成安全验证×
copy
已复制链接
快去分享给好友吧!
我知道了
右上角分享
点击右上角分享
0
联系我们:info@booksci.cn Book学术提供免费学术资源搜索服务,方便国内外学者检索中英文文献。致力于提供最便捷和优质的服务体验。 Copyright © 2023 布克学术 All rights reserved.
京ICP备2023020795号-1
ghs 京公网安备 11010802042870号
Book学术文献互助
Book学术文献互助群
群 号:604180095
Book学术官方微信