1990年至2021年老年人非酒精性脂肪性肝病(包括肝硬化)的全球影响和疾病负担的未来预测

IF 2.6 3区 综合性期刊 Q1 MULTIDISCIPLINARY SCIENCES
PLoS ONE Pub Date : 2025-06-25 eCollection Date: 2025-01-01 DOI:10.1371/journal.pone.0325961
Siying Huang, Weitao Hu, Taiyong Fang
{"title":"1990年至2021年老年人非酒精性脂肪性肝病(包括肝硬化)的全球影响和疾病负担的未来预测","authors":"Siying Huang, Weitao Hu, Taiyong Fang","doi":"10.1371/journal.pone.0325961","DOIUrl":null,"url":null,"abstract":"<p><strong>Background: </strong>Nonalcoholic fatty liver disease (NAFLD) is a metabolic disorder characterized by hepatic steatosis and inflammation in individuals with no significant alcohol consumption history. Predominantly affecting middle-aged and elderly populations, particularly those with obesity or metabolic syndrome, this condition represents a spectrum ranging from benign fatty accumulation to progressive liver damage. In advanced stages, NAFLD may progress to cirrhosis and hepatocellular carcinoma. This study systematically examines the global incidence patterns and epidemiological characteristics of NAFLD in older adults(>60 years), while establishing predictive models for its future disease burden.</p><p><strong>Methods: </strong>Data on NAFLD in the Elderly(>60 years), from 1990 to 2021, was obtained from the Global Burden of Disease (GBD) study, encompassing 204 countries and territories. This dataset includes incidence rates of NAFLD. The Joinpoint regression model was utilized to detect turning points in the epidemiological trends of NAFLD, and decomposition analysis was performed to analyze the factors influencing these trends. To evaluate potential health disparities related to NAFLD, the Slope Index and Concentration Index were calculated. Additionally, the Norpred and Bayesian age-period-cohort (BAPC) models were employed to forecast future incidence rates of NAFLD.</p><p><strong>Results: </strong>In 1990, the global NAFLD incidence in the elderly was 2819125(3972309 ± 1807520), with an ASIR of 568.46(803.33 ± 364.10). The global NAFLD prevalence in the elderly was 132549345(166820867 ± 102941502), with an ASPR of 27284.94(34321.92 ± 21200.69). The global NAFLD deaths in the elderly were 27864(45975 ± 15898), with an age-standardized death rate of 6.20(10.18 ± 3.55). The global NAFLD DALYs in the elderly were 559945(931920 ± 319045), with an age-standardized DALYs rate of 116.78(193.49 ± 66.73). In 2021, the global NAFLD incidence in the elderly was 7,012,128 (9,896,736 ± 4,480,162), with an ASIR of 636.90 (900.15 ± 406.76). The global NAFLD prevalence in the elderly was 366,363,498 (454,385,769 ± 287,891,088), with an ASPR of 33,576.22 (41,647.44 ± 26,372.13). The global NAFLD deaths in the elderly were 63,313 (99,891 ± 37,267), with an age-standardized death rate of 5.95 (9.39 ± 3.50). The global NAFLD DALYs in the elderly were 1,238,927 (1,973,042 ± 729,228), with an age-standardized DALYs rate of 113.95 (181.50 ± 66.91). From 1990 to 2021, the AAPC of ASIR for NAFLD in the elderly globally was 0.37(0.36 to 0.38), with a p-value < 0.05. The AAPC of ASPR for NAFLD in the elderly globally was 0.67(0.65 to 0.68), with a p-value < 0.05. The AAPC of age-standardized deaths rate for NAFLD in the elderly globally was -0.13(-0.16 to -0.1), with a p-value < 0.05. The AAPC of age-standardized DALYs rate for NAFLD in the elderly globally was -0.05(-0.07 to -0.02), with a p-value < 0.05. The decomposition analysis results indicate that population growth is the primary driver of increased disease burden in older NAFLD patients. It is expected that in the future, the disease burden of NAFLD in elderly people worldwide will continue to rise.</p><p><strong>Conclusions: </strong>Over the past three decades, the annual age-standardized incidence rate and total number of cases of NAFLD, including cirrhosis, have increased among the elderly population, irrespective of gender. This upward trend is consistent across all SDI regions. Furthermore, future projections indicate that both the annual age-standardized incidence rate and the case numbers of NAFLD, including cirrhosis, in the elderly are likely to continue rising.</p>","PeriodicalId":20189,"journal":{"name":"PLoS ONE","volume":"20 6","pages":"e0325961"},"PeriodicalIF":2.6000,"publicationDate":"2025-06-25","publicationTypes":"Journal Article","fieldsOfStudy":null,"isOpenAccess":false,"openAccessPdf":"https://www.ncbi.nlm.nih.gov/pmc/articles/PMC12193573/pdf/","citationCount":"0","resultStr":"{\"title\":\"The global impact of non-alcoholic fatty liver disease (including cirrhosis) in the elderly from 1990 to 2021 and future projections of disease burden.\",\"authors\":\"Siying Huang, Weitao Hu, Taiyong Fang\",\"doi\":\"10.1371/journal.pone.0325961\",\"DOIUrl\":null,\"url\":null,\"abstract\":\"<p><strong>Background: </strong>Nonalcoholic fatty liver disease (NAFLD) is a metabolic disorder characterized by hepatic steatosis and inflammation in individuals with no significant alcohol consumption history. Predominantly affecting middle-aged and elderly populations, particularly those with obesity or metabolic syndrome, this condition represents a spectrum ranging from benign fatty accumulation to progressive liver damage. In advanced stages, NAFLD may progress to cirrhosis and hepatocellular carcinoma. This study systematically examines the global incidence patterns and epidemiological characteristics of NAFLD in older adults(>60 years), while establishing predictive models for its future disease burden.</p><p><strong>Methods: </strong>Data on NAFLD in the Elderly(>60 years), from 1990 to 2021, was obtained from the Global Burden of Disease (GBD) study, encompassing 204 countries and territories. This dataset includes incidence rates of NAFLD. The Joinpoint regression model was utilized to detect turning points in the epidemiological trends of NAFLD, and decomposition analysis was performed to analyze the factors influencing these trends. To evaluate potential health disparities related to NAFLD, the Slope Index and Concentration Index were calculated. Additionally, the Norpred and Bayesian age-period-cohort (BAPC) models were employed to forecast future incidence rates of NAFLD.</p><p><strong>Results: </strong>In 1990, the global NAFLD incidence in the elderly was 2819125(3972309 ± 1807520), with an ASIR of 568.46(803.33 ± 364.10). The global NAFLD prevalence in the elderly was 132549345(166820867 ± 102941502), with an ASPR of 27284.94(34321.92 ± 21200.69). The global NAFLD deaths in the elderly were 27864(45975 ± 15898), with an age-standardized death rate of 6.20(10.18 ± 3.55). The global NAFLD DALYs in the elderly were 559945(931920 ± 319045), with an age-standardized DALYs rate of 116.78(193.49 ± 66.73). In 2021, the global NAFLD incidence in the elderly was 7,012,128 (9,896,736 ± 4,480,162), with an ASIR of 636.90 (900.15 ± 406.76). The global NAFLD prevalence in the elderly was 366,363,498 (454,385,769 ± 287,891,088), with an ASPR of 33,576.22 (41,647.44 ± 26,372.13). The global NAFLD deaths in the elderly were 63,313 (99,891 ± 37,267), with an age-standardized death rate of 5.95 (9.39 ± 3.50). The global NAFLD DALYs in the elderly were 1,238,927 (1,973,042 ± 729,228), with an age-standardized DALYs rate of 113.95 (181.50 ± 66.91). From 1990 to 2021, the AAPC of ASIR for NAFLD in the elderly globally was 0.37(0.36 to 0.38), with a p-value < 0.05. The AAPC of ASPR for NAFLD in the elderly globally was 0.67(0.65 to 0.68), with a p-value < 0.05. The AAPC of age-standardized deaths rate for NAFLD in the elderly globally was -0.13(-0.16 to -0.1), with a p-value < 0.05. The AAPC of age-standardized DALYs rate for NAFLD in the elderly globally was -0.05(-0.07 to -0.02), with a p-value < 0.05. The decomposition analysis results indicate that population growth is the primary driver of increased disease burden in older NAFLD patients. It is expected that in the future, the disease burden of NAFLD in elderly people worldwide will continue to rise.</p><p><strong>Conclusions: </strong>Over the past three decades, the annual age-standardized incidence rate and total number of cases of NAFLD, including cirrhosis, have increased among the elderly population, irrespective of gender. This upward trend is consistent across all SDI regions. Furthermore, future projections indicate that both the annual age-standardized incidence rate and the case numbers of NAFLD, including cirrhosis, in the elderly are likely to continue rising.</p>\",\"PeriodicalId\":20189,\"journal\":{\"name\":\"PLoS ONE\",\"volume\":\"20 6\",\"pages\":\"e0325961\"},\"PeriodicalIF\":2.6000,\"publicationDate\":\"2025-06-25\",\"publicationTypes\":\"Journal Article\",\"fieldsOfStudy\":null,\"isOpenAccess\":false,\"openAccessPdf\":\"https://www.ncbi.nlm.nih.gov/pmc/articles/PMC12193573/pdf/\",\"citationCount\":\"0\",\"resultStr\":null,\"platform\":\"Semanticscholar\",\"paperid\":null,\"PeriodicalName\":\"PLoS ONE\",\"FirstCategoryId\":\"103\",\"ListUrlMain\":\"https://doi.org/10.1371/journal.pone.0325961\",\"RegionNum\":3,\"RegionCategory\":\"综合性期刊\",\"ArticlePicture\":[],\"TitleCN\":null,\"AbstractTextCN\":null,\"PMCID\":null,\"EPubDate\":\"2025/1/1 0:00:00\",\"PubModel\":\"eCollection\",\"JCR\":\"Q1\",\"JCRName\":\"MULTIDISCIPLINARY SCIENCES\",\"Score\":null,\"Total\":0}","platform":"Semanticscholar","paperid":null,"PeriodicalName":"PLoS ONE","FirstCategoryId":"103","ListUrlMain":"https://doi.org/10.1371/journal.pone.0325961","RegionNum":3,"RegionCategory":"综合性期刊","ArticlePicture":[],"TitleCN":null,"AbstractTextCN":null,"PMCID":null,"EPubDate":"2025/1/1 0:00:00","PubModel":"eCollection","JCR":"Q1","JCRName":"MULTIDISCIPLINARY SCIENCES","Score":null,"Total":0}
引用次数: 0

摘要

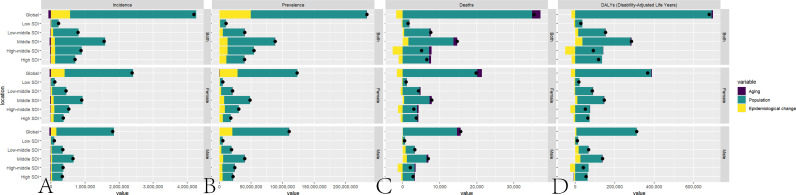
背景:非酒精性脂肪性肝病(NAFLD)是一种代谢性疾病,在没有明显饮酒史的个体中以肝脏脂肪变性和炎症为特征。主要影响中老年人群,特别是肥胖或代谢综合征患者,该病表现为从良性脂肪积累到进行性肝损害的一系列症状。在晚期,NAFLD可能发展为肝硬化和肝细胞癌。本研究系统地研究了老年人(60岁至60岁)NAFLD的全球发病率模式和流行病学特征,同时建立了未来疾病负担的预测模型。方法:从涵盖204个国家和地区的全球疾病负担(GBD)研究中获得1990年至2021年老年人(60岁至60岁)NAFLD的数据。该数据集包括NAFLD的发病率。采用Joinpoint回归模型检测NAFLD流行趋势的转折点,并进行分解分析,分析影响这些趋势的因素。为了评估与NAFLD相关的潜在健康差异,计算斜率指数和浓度指数。此外,采用Norpred和贝叶斯年龄-时期-队列(BAPC)模型预测NAFLD的未来发病率。结果:1990年,全球老年人NAFLD发病率为2819125(3972309±1807520),ASIR为568.46(803.33±364.10)。全球老年人NAFLD患病率为132549345(166820867±102941502),ASPR为27284.94(34321.92±21200.69)。全球老年人NAFLD死亡人数为27864(45975±15898)人,年龄标准化死亡率为6.20(10.18±3.55)人。全球老年人NAFLD DALYs为559945(931920±319045),年龄标准化DALYs率为116.78(193.49±66.73)。2021年,全球老年人NAFLD发病率为7,012,128(9,896,736±4,480,162),ASIR为636.90(900.15±406.76)。全球老年人NAFLD患病率为366,363,498(454,385,769±287,891,088),ASPR为33,576.22(41,647.44±26,372.13)。全球老年人NAFLD死亡人数为63,313(99,891±37,267)人,年龄标准化死亡率为5.95(9.39±3.50)。全球老年人NAFLD DALYs为1,238,927(1,973,042±729,228),年龄标准化DALYs率为113.95(181.50±66.91)。从1990年到2021年,全球老年人NAFLD的ASIR的AAPC为0.37(0.36 ~ 0.38),p值结论:在过去的三十年中,老年人群中NAFLD(包括肝硬化)的年年龄标准化发病率和总病例数均有所增加,与性别无关。这种上升趋势在所有SDI地区都是一致的。此外,未来的预测表明,老年人NAFLD(包括肝硬化)的年年龄标准化发病率和病例数都可能继续上升。
本文章由计算机程序翻译,如有差异,请以英文原文为准。

The global impact of non-alcoholic fatty liver disease (including cirrhosis) in the elderly from 1990 to 2021 and future projections of disease burden.

The global impact of non-alcoholic fatty liver disease (including cirrhosis) in the elderly from 1990 to 2021 and future projections of disease burden.

The global impact of non-alcoholic fatty liver disease (including cirrhosis) in the elderly from 1990 to 2021 and future projections of disease burden.

The global impact of non-alcoholic fatty liver disease (including cirrhosis) in the elderly from 1990 to 2021 and future projections of disease burden.

Background: Nonalcoholic fatty liver disease (NAFLD) is a metabolic disorder characterized by hepatic steatosis and inflammation in individuals with no significant alcohol consumption history. Predominantly affecting middle-aged and elderly populations, particularly those with obesity or metabolic syndrome, this condition represents a spectrum ranging from benign fatty accumulation to progressive liver damage. In advanced stages, NAFLD may progress to cirrhosis and hepatocellular carcinoma. This study systematically examines the global incidence patterns and epidemiological characteristics of NAFLD in older adults(>60 years), while establishing predictive models for its future disease burden.

Methods: Data on NAFLD in the Elderly(>60 years), from 1990 to 2021, was obtained from the Global Burden of Disease (GBD) study, encompassing 204 countries and territories. This dataset includes incidence rates of NAFLD. The Joinpoint regression model was utilized to detect turning points in the epidemiological trends of NAFLD, and decomposition analysis was performed to analyze the factors influencing these trends. To evaluate potential health disparities related to NAFLD, the Slope Index and Concentration Index were calculated. Additionally, the Norpred and Bayesian age-period-cohort (BAPC) models were employed to forecast future incidence rates of NAFLD.

Results: In 1990, the global NAFLD incidence in the elderly was 2819125(3972309 ± 1807520), with an ASIR of 568.46(803.33 ± 364.10). The global NAFLD prevalence in the elderly was 132549345(166820867 ± 102941502), with an ASPR of 27284.94(34321.92 ± 21200.69). The global NAFLD deaths in the elderly were 27864(45975 ± 15898), with an age-standardized death rate of 6.20(10.18 ± 3.55). The global NAFLD DALYs in the elderly were 559945(931920 ± 319045), with an age-standardized DALYs rate of 116.78(193.49 ± 66.73). In 2021, the global NAFLD incidence in the elderly was 7,012,128 (9,896,736 ± 4,480,162), with an ASIR of 636.90 (900.15 ± 406.76). The global NAFLD prevalence in the elderly was 366,363,498 (454,385,769 ± 287,891,088), with an ASPR of 33,576.22 (41,647.44 ± 26,372.13). The global NAFLD deaths in the elderly were 63,313 (99,891 ± 37,267), with an age-standardized death rate of 5.95 (9.39 ± 3.50). The global NAFLD DALYs in the elderly were 1,238,927 (1,973,042 ± 729,228), with an age-standardized DALYs rate of 113.95 (181.50 ± 66.91). From 1990 to 2021, the AAPC of ASIR for NAFLD in the elderly globally was 0.37(0.36 to 0.38), with a p-value < 0.05. The AAPC of ASPR for NAFLD in the elderly globally was 0.67(0.65 to 0.68), with a p-value < 0.05. The AAPC of age-standardized deaths rate for NAFLD in the elderly globally was -0.13(-0.16 to -0.1), with a p-value < 0.05. The AAPC of age-standardized DALYs rate for NAFLD in the elderly globally was -0.05(-0.07 to -0.02), with a p-value < 0.05. The decomposition analysis results indicate that population growth is the primary driver of increased disease burden in older NAFLD patients. It is expected that in the future, the disease burden of NAFLD in elderly people worldwide will continue to rise.

Conclusions: Over the past three decades, the annual age-standardized incidence rate and total number of cases of NAFLD, including cirrhosis, have increased among the elderly population, irrespective of gender. This upward trend is consistent across all SDI regions. Furthermore, future projections indicate that both the annual age-standardized incidence rate and the case numbers of NAFLD, including cirrhosis, in the elderly are likely to continue rising.

求助全文
通过发布文献求助,成功后即可免费获取论文全文。 去求助
来源期刊
PLoS ONE
PLoS ONE 生物-生物学
CiteScore
6.20
自引率
5.40%
发文量
14242
审稿时长
3.7 months
期刊介绍: PLOS ONE is an international, peer-reviewed, open-access, online publication. PLOS ONE welcomes reports on primary research from any scientific discipline. It provides: * Open-access—freely accessible online, authors retain copyright * Fast publication times * Peer review by expert, practicing researchers * Post-publication tools to indicate quality and impact * Community-based dialogue on articles * Worldwide media coverage
×
引用
GB/T 7714-2015
复制
MLA
复制
APA
复制
导出至
BibTeX EndNote RefMan NoteFirst NoteExpress
×
提示
您的信息不完整,为了账户安全,请先补充。
现在去补充
×
提示
您因"违规操作"
具体请查看互助需知
我知道了
×
提示
确定
请完成安全验证×
copy
已复制链接
快去分享给好友吧!
我知道了
右上角分享
点击右上角分享
0
联系我们:info@booksci.cn Book学术提供免费学术资源搜索服务,方便国内外学者检索中英文文献。致力于提供最便捷和优质的服务体验。 Copyright © 2023 布克学术 All rights reserved.
京ICP备2023020795号-1
ghs 京公网安备 11010802042870号
Book学术文献互助
Book学术文献互助群
群 号:604180095
Book学术官方微信