饲粮中纳米锌和益生菌对肉鸡健康和生产能力的影响。

IF 1.5 Q3 AGRICULTURE, DAIRY & ANIMAL SCIENCE
Journal of Advanced Veterinary and Animal Research Pub Date : 2025-03-23 eCollection Date: 2025-03-01 DOI:10.5455/javar.2025.l868
Amera N Alqahtani
{"title":"饲粮中纳米锌和益生菌对肉鸡健康和生产能力的影响。","authors":"Amera N Alqahtani","doi":"10.5455/javar.2025.l868","DOIUrl":null,"url":null,"abstract":"<p><strong>Objective: </strong>This study investigates the effects of dietary nano-zinc (ZnNPs), probiotics (P), and their combined use such as growth promoters, antibacterial agents, and organic antioxidants on the growth performance, carcass characteristics, blood biochemistry, meat quality, and cecal microbiota of broiler chicks.</p><p><strong>Materials and methods: </strong>The trial was conducted from 7 to 35 days of age using a randomized complete trial design with 240 unsexed Ross 308 chicks (initial body weight 104.37 ± 0.16 gm). The chicks were allocated into four treatment groups, each containing 60 chicks, with six replicates (4×6×10). The treatments were as follows: a control group fed a standard diet and three experimental groups receiving diets supplemented with ZnNPs (3.0 cm³/kg), probiotics (P, 2.0 cm³/kg), or a combination of ZnNPs + P (3.0 + 2.0 cm³/kg).</p><p><strong>Results: </strong>The study revealed that ZnNPs and probiotics exhibited significant antibacterial activity against harmful bacteria and mold, effectively suppressing microbial growth at concentrations ranging from 50 to 95 µg/ml. The inclusion of ZnNPs and probiotics in the diets resulted in improved growth performance, with a higher body weight compared to the control group (<i>p</i> < 0.05). All carcass characteristics were positively influenced by the treatments, showing significant improvements compared to the control group (<i>p</i> < 0.05). Furthermore, the levels of malondialdehyde (MDA) were significantly reduced in the ZnNPs and probiotics-treated groups, suggesting enhanced antioxidant activity (<i>p</i> < 0.05). Blood biochemical indicators, including immunoglobulin concentrations, were higher in the treated groups, pointing to an improved immune response. The meat quality of the broilers also significantly improved in terms of texture, juiciness, and tenderness. Additionally, the number of harmful cecal microorganisms decreased in the supplemented groups, leading to a healthier gut microbiota and overall improved animal health.</p><p><strong>Conclusion: </strong>The study shows that dietary supplementation with ZnNPs and probiotics has a positive impact on broiler growth, carcass traits, meat quality, blood parameters, and microbial status. These results suggest that incorporating ZnNPs and probiotics into broiler diets can be an effective strategy for enhancing productivity, meat quality, and overall health status, ultimately improving the sustainability of poultry production systems.</p>","PeriodicalId":14892,"journal":{"name":"Journal of Advanced Veterinary and Animal Research","volume":"12 1","pages":"19-32"},"PeriodicalIF":1.5000,"publicationDate":"2025-03-23","publicationTypes":"Journal Article","fieldsOfStudy":null,"isOpenAccess":false,"openAccessPdf":"https://www.ncbi.nlm.nih.gov/pmc/articles/PMC12186800/pdf/","citationCount":"0","resultStr":"{\"title\":\"Impact of dietary zinc nanoparticles and probiotics on broiler health and productivity.\",\"authors\":\"Amera N Alqahtani\",\"doi\":\"10.5455/javar.2025.l868\",\"DOIUrl\":null,\"url\":null,\"abstract\":\"<p><strong>Objective: </strong>This study investigates the effects of dietary nano-zinc (ZnNPs), probiotics (P), and their combined use such as growth promoters, antibacterial agents, and organic antioxidants on the growth performance, carcass characteristics, blood biochemistry, meat quality, and cecal microbiota of broiler chicks.</p><p><strong>Materials and methods: </strong>The trial was conducted from 7 to 35 days of age using a randomized complete trial design with 240 unsexed Ross 308 chicks (initial body weight 104.37 ± 0.16 gm). The chicks were allocated into four treatment groups, each containing 60 chicks, with six replicates (4×6×10). The treatments were as follows: a control group fed a standard diet and three experimental groups receiving diets supplemented with ZnNPs (3.0 cm³/kg), probiotics (P, 2.0 cm³/kg), or a combination of ZnNPs + P (3.0 + 2.0 cm³/kg).</p><p><strong>Results: </strong>The study revealed that ZnNPs and probiotics exhibited significant antibacterial activity against harmful bacteria and mold, effectively suppressing microbial growth at concentrations ranging from 50 to 95 µg/ml. The inclusion of ZnNPs and probiotics in the diets resulted in improved growth performance, with a higher body weight compared to the control group (<i>p</i> < 0.05). All carcass characteristics were positively influenced by the treatments, showing significant improvements compared to the control group (<i>p</i> < 0.05). Furthermore, the levels of malondialdehyde (MDA) were significantly reduced in the ZnNPs and probiotics-treated groups, suggesting enhanced antioxidant activity (<i>p</i> < 0.05). Blood biochemical indicators, including immunoglobulin concentrations, were higher in the treated groups, pointing to an improved immune response. The meat quality of the broilers also significantly improved in terms of texture, juiciness, and tenderness. Additionally, the number of harmful cecal microorganisms decreased in the supplemented groups, leading to a healthier gut microbiota and overall improved animal health.</p><p><strong>Conclusion: </strong>The study shows that dietary supplementation with ZnNPs and probiotics has a positive impact on broiler growth, carcass traits, meat quality, blood parameters, and microbial status. These results suggest that incorporating ZnNPs and probiotics into broiler diets can be an effective strategy for enhancing productivity, meat quality, and overall health status, ultimately improving the sustainability of poultry production systems.</p>\",\"PeriodicalId\":14892,\"journal\":{\"name\":\"Journal of Advanced Veterinary and Animal Research\",\"volume\":\"12 1\",\"pages\":\"19-32\"},\"PeriodicalIF\":1.5000,\"publicationDate\":\"2025-03-23\",\"publicationTypes\":\"Journal Article\",\"fieldsOfStudy\":null,\"isOpenAccess\":false,\"openAccessPdf\":\"https://www.ncbi.nlm.nih.gov/pmc/articles/PMC12186800/pdf/\",\"citationCount\":\"0\",\"resultStr\":null,\"platform\":\"Semanticscholar\",\"paperid\":null,\"PeriodicalName\":\"Journal of Advanced Veterinary and Animal Research\",\"FirstCategoryId\":\"1085\",\"ListUrlMain\":\"https://doi.org/10.5455/javar.2025.l868\",\"RegionNum\":0,\"RegionCategory\":null,\"ArticlePicture\":[],\"TitleCN\":null,\"AbstractTextCN\":null,\"PMCID\":null,\"EPubDate\":\"2025/3/1 0:00:00\",\"PubModel\":\"eCollection\",\"JCR\":\"Q3\",\"JCRName\":\"AGRICULTURE, DAIRY & ANIMAL SCIENCE\",\"Score\":null,\"Total\":0}","platform":"Semanticscholar","paperid":null,"PeriodicalName":"Journal of Advanced Veterinary and Animal Research","FirstCategoryId":"1085","ListUrlMain":"https://doi.org/10.5455/javar.2025.l868","RegionNum":0,"RegionCategory":null,"ArticlePicture":[],"TitleCN":null,"AbstractTextCN":null,"PMCID":null,"EPubDate":"2025/3/1 0:00:00","PubModel":"eCollection","JCR":"Q3","JCRName":"AGRICULTURE, DAIRY & ANIMAL SCIENCE","Score":null,"Total":0}
引用次数: 0

摘要

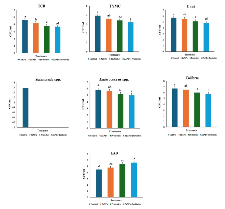
目的:研究饲粮中添加纳米锌(ZnNPs)、益生菌(P)及其组合使用(如生长促进剂、抗菌剂和有机抗氧化剂)对肉鸡生长性能、胴体特性、血液生化、肉品质和盲肠微生物群的影响。材料与方法:试验于7 ~ 35日龄,采用随机完全试验设计,选取240只初始体重为104.37±0.16 gm的罗斯308无性鸡。将雏鸡分为4个处理组,每组60只,设6个重复(4×6×10)。对照组饲喂标准饲粮,试验组分别在饲粮中添加ZnNPs (3.0 cm³/kg)、益生菌(P, 2.0 cm³/kg)或ZnNPs + P (3.0 + 2.0 cm³/kg)。结果:研究发现,ZnNPs和益生菌对有害细菌和霉菌具有明显的抑菌活性,在50 ~ 95µg/ml浓度范围内可有效抑制微生物生长。饲粮中添加ZnNPs和益生菌提高了生长性能,体重高于对照组(p < 0.05)。各处理对胴体各项特性均有正向影响,与对照组相比均有显著改善(p < 0.05)。此外,ZnNPs和益生菌处理组丙二醛(MDA)水平显著降低,抗氧化能力增强(p < 0.05)。包括免疫球蛋白浓度在内的血液生化指标在治疗组中较高,表明免疫反应有所改善。肉鸡的肉质在质地、多汁性和嫩度方面也有显著改善。此外,在补充组中,有害盲肠微生物的数量减少,导致更健康的肠道微生物群和整体改善的动物健康。结论:饲粮中添加ZnNPs和益生菌对肉鸡生长、胴体性状、肉品质、血液参数和微生物状态均有积极影响。这些结果表明,在肉鸡日粮中添加ZnNPs和益生菌是提高肉鸡生产力、肉质和整体健康状况的有效策略,最终提高家禽生产系统的可持续性。
本文章由计算机程序翻译,如有差异,请以英文原文为准。

Impact of dietary zinc nanoparticles and probiotics on broiler health and productivity.

Impact of dietary zinc nanoparticles and probiotics on broiler health and productivity.

Objective: This study investigates the effects of dietary nano-zinc (ZnNPs), probiotics (P), and their combined use such as growth promoters, antibacterial agents, and organic antioxidants on the growth performance, carcass characteristics, blood biochemistry, meat quality, and cecal microbiota of broiler chicks.

Materials and methods: The trial was conducted from 7 to 35 days of age using a randomized complete trial design with 240 unsexed Ross 308 chicks (initial body weight 104.37 ± 0.16 gm). The chicks were allocated into four treatment groups, each containing 60 chicks, with six replicates (4×6×10). The treatments were as follows: a control group fed a standard diet and three experimental groups receiving diets supplemented with ZnNPs (3.0 cm³/kg), probiotics (P, 2.0 cm³/kg), or a combination of ZnNPs + P (3.0 + 2.0 cm³/kg).

Results: The study revealed that ZnNPs and probiotics exhibited significant antibacterial activity against harmful bacteria and mold, effectively suppressing microbial growth at concentrations ranging from 50 to 95 µg/ml. The inclusion of ZnNPs and probiotics in the diets resulted in improved growth performance, with a higher body weight compared to the control group (p < 0.05). All carcass characteristics were positively influenced by the treatments, showing significant improvements compared to the control group (p < 0.05). Furthermore, the levels of malondialdehyde (MDA) were significantly reduced in the ZnNPs and probiotics-treated groups, suggesting enhanced antioxidant activity (p < 0.05). Blood biochemical indicators, including immunoglobulin concentrations, were higher in the treated groups, pointing to an improved immune response. The meat quality of the broilers also significantly improved in terms of texture, juiciness, and tenderness. Additionally, the number of harmful cecal microorganisms decreased in the supplemented groups, leading to a healthier gut microbiota and overall improved animal health.

Conclusion: The study shows that dietary supplementation with ZnNPs and probiotics has a positive impact on broiler growth, carcass traits, meat quality, blood parameters, and microbial status. These results suggest that incorporating ZnNPs and probiotics into broiler diets can be an effective strategy for enhancing productivity, meat quality, and overall health status, ultimately improving the sustainability of poultry production systems.

求助全文
通过发布文献求助,成功后即可免费获取论文全文。 去求助
来源期刊
CiteScore
2.70
自引率
7.10%
发文量
41
审稿时长
6 weeks
期刊介绍: Journal of Advanced Veterinary and Animal Research (JAVAR) - is an open access, international, peer-reviewed, quarterly, highly-indexed scientific journal publishing original research findings and reviews on all aspects of veterinary and animal sciences. Basic and applied researches on- - Anatomy & histology - Animal health economics - Animal nutrition - Animal reproduction - Animal science - Antimicrobial resistance (AMR) - Biochemistry - Biotechnology - Dairy science - Epidemiology - Food hygiene and technology - Genetics and breeding - Immunology - Microbiology - Parasitology - Pathology - Pharmacology & toxicology - Physiology - Poultry science - Preventive veterinary medicine - Public health - Surgery & obstetrics - Veterinary extension studies - Wildlife & aquatic medicine - Zoo animal medicine.
×
引用
GB/T 7714-2015
复制
MLA
复制
APA
复制
导出至
BibTeX EndNote RefMan NoteFirst NoteExpress
×
提示
您的信息不完整,为了账户安全,请先补充。
现在去补充
×
提示
您因"违规操作"
具体请查看互助需知
我知道了
×
提示
确定
请完成安全验证×
copy
已复制链接
快去分享给好友吧!
我知道了
右上角分享
点击右上角分享
0
联系我们:info@booksci.cn Book学术提供免费学术资源搜索服务,方便国内外学者检索中英文文献。致力于提供最便捷和优质的服务体验。 Copyright © 2023 布克学术 All rights reserved.
京ICP备2023020795号-1
ghs 京公网安备 11010802042870号
Book学术文献互助
Book学术文献互助群
群 号:604180095
Book学术官方微信