孟加拉玫瑰对降低腹泻感染分离的大肠杆菌致病性的高效作用。

IF 3.2 Q3 MICROBIOLOGY
International Journal of Microbiology Pub Date : 2025-06-18 eCollection Date: 2025-01-01 DOI:10.1155/ijm/4912438
Christ Dieuveil Bayakissa Malanda, Christian Aimé Kayath, Nicole Prisca Makaya Dangui Nieko, Frédéric Yannick Okouakoua, Ndelani Nkalla Lambi, Dieuvit Haïdide Kibamba Niangui, Sergy Patrick Junior Bissoko, Duchel Jeandevi Kinouani Kinavouidi
{"title":"孟加拉玫瑰对降低腹泻感染分离的大肠杆菌致病性的高效作用。","authors":"Christ Dieuveil Bayakissa Malanda, Christian Aimé Kayath, Nicole Prisca Makaya Dangui Nieko, Frédéric Yannick Okouakoua, Ndelani Nkalla Lambi, Dieuvit Haïdide Kibamba Niangui, Sergy Patrick Junior Bissoko, Duchel Jeandevi Kinouani Kinavouidi","doi":"10.1155/ijm/4912438","DOIUrl":null,"url":null,"abstract":"<p><p>Diarrheal infections, a leading cause of global morbidity and mortality, are frequently attributed to pathogenic <i>Escherichia coli</i> strains. The rise of antibiotic resistance among these pathogens necessitates the exploration of alternative therapeutic agents. This study is aimed at evaluating the Rose Bengal effect to fight antibiotic resistance in pathogenic <i>E. coli</i>. Using a combination of in vitro assays-including microbiological isolation, 16S RNA molecular identification, acid resistance testing, biofilm and swarming assays, hemolytic activity evaluation, and antibiograms-and in vivo analysis with <i>Rhynchophorus phoenicis</i> larvae, 22 <i>E. coli</i> isolates were obtained. Molecular analyses identified four pathogenic strains: KNH8 (PQ864811), KNH11 (PQ864812), KNH14 (PQ864813), and KNH16 (PQ864814), classified as enterotoxigenic <i>E. coli</i> (ETEC) and enteropathogenic <i>E. coli</i> (EPEC). Pathogenicity assessments revealed that Rose Bengal (200 <i>μ</i>M) significantly reduced acid and bile salt resistance, biofilm formation, swarming motility, and hemolytic activity in all strains. Furthermore, Rose Bengal enhanced the sensitivity of these strains to five antibiotics-imipenem, kanamycin, chloramphenicol, gentamicin, and amoxicillin/clavulanic acid (AMC)-with increases ranging from twofold to sixfold in pathogenic strains (KNH8, KNH11, KNH14, and KNH16). These effects were further corroborated by in vivo testing using <i>R. phoenicis</i> larvae. The findings highlight the virulent potential of these <i>E. coli</i> strains and suggest Rose Bengal as a promising antimicrobial agent against multidrug-resistant pathogens.</p>","PeriodicalId":14098,"journal":{"name":"International Journal of Microbiology","volume":"2025 ","pages":"4912438"},"PeriodicalIF":3.2000,"publicationDate":"2025-06-18","publicationTypes":"Journal Article","fieldsOfStudy":null,"isOpenAccess":false,"openAccessPdf":"https://www.ncbi.nlm.nih.gov/pmc/articles/PMC12197512/pdf/","citationCount":"0","resultStr":"{\"title\":\"High Efficacy of Rose Bengal in Reducing the Pathogenicity of <i>Escherichia coli</i> Isolated From Diarrheal Infections.\",\"authors\":\"Christ Dieuveil Bayakissa Malanda, Christian Aimé Kayath, Nicole Prisca Makaya Dangui Nieko, Frédéric Yannick Okouakoua, Ndelani Nkalla Lambi, Dieuvit Haïdide Kibamba Niangui, Sergy Patrick Junior Bissoko, Duchel Jeandevi Kinouani Kinavouidi\",\"doi\":\"10.1155/ijm/4912438\",\"DOIUrl\":null,\"url\":null,\"abstract\":\"<p><p>Diarrheal infections, a leading cause of global morbidity and mortality, are frequently attributed to pathogenic <i>Escherichia coli</i> strains. The rise of antibiotic resistance among these pathogens necessitates the exploration of alternative therapeutic agents. This study is aimed at evaluating the Rose Bengal effect to fight antibiotic resistance in pathogenic <i>E. coli</i>. Using a combination of in vitro assays-including microbiological isolation, 16S RNA molecular identification, acid resistance testing, biofilm and swarming assays, hemolytic activity evaluation, and antibiograms-and in vivo analysis with <i>Rhynchophorus phoenicis</i> larvae, 22 <i>E. coli</i> isolates were obtained. Molecular analyses identified four pathogenic strains: KNH8 (PQ864811), KNH11 (PQ864812), KNH14 (PQ864813), and KNH16 (PQ864814), classified as enterotoxigenic <i>E. coli</i> (ETEC) and enteropathogenic <i>E. coli</i> (EPEC). Pathogenicity assessments revealed that Rose Bengal (200 <i>μ</i>M) significantly reduced acid and bile salt resistance, biofilm formation, swarming motility, and hemolytic activity in all strains. Furthermore, Rose Bengal enhanced the sensitivity of these strains to five antibiotics-imipenem, kanamycin, chloramphenicol, gentamicin, and amoxicillin/clavulanic acid (AMC)-with increases ranging from twofold to sixfold in pathogenic strains (KNH8, KNH11, KNH14, and KNH16). These effects were further corroborated by in vivo testing using <i>R. phoenicis</i> larvae. The findings highlight the virulent potential of these <i>E. coli</i> strains and suggest Rose Bengal as a promising antimicrobial agent against multidrug-resistant pathogens.</p>\",\"PeriodicalId\":14098,\"journal\":{\"name\":\"International Journal of Microbiology\",\"volume\":\"2025 \",\"pages\":\"4912438\"},\"PeriodicalIF\":3.2000,\"publicationDate\":\"2025-06-18\",\"publicationTypes\":\"Journal Article\",\"fieldsOfStudy\":null,\"isOpenAccess\":false,\"openAccessPdf\":\"https://www.ncbi.nlm.nih.gov/pmc/articles/PMC12197512/pdf/\",\"citationCount\":\"0\",\"resultStr\":null,\"platform\":\"Semanticscholar\",\"paperid\":null,\"PeriodicalName\":\"International Journal of Microbiology\",\"FirstCategoryId\":\"1085\",\"ListUrlMain\":\"https://doi.org/10.1155/ijm/4912438\",\"RegionNum\":0,\"RegionCategory\":null,\"ArticlePicture\":[],\"TitleCN\":null,\"AbstractTextCN\":null,\"PMCID\":null,\"EPubDate\":\"2025/1/1 0:00:00\",\"PubModel\":\"eCollection\",\"JCR\":\"Q3\",\"JCRName\":\"MICROBIOLOGY\",\"Score\":null,\"Total\":0}","platform":"Semanticscholar","paperid":null,"PeriodicalName":"International Journal of Microbiology","FirstCategoryId":"1085","ListUrlMain":"https://doi.org/10.1155/ijm/4912438","RegionNum":0,"RegionCategory":null,"ArticlePicture":[],"TitleCN":null,"AbstractTextCN":null,"PMCID":null,"EPubDate":"2025/1/1 0:00:00","PubModel":"eCollection","JCR":"Q3","JCRName":"MICROBIOLOGY","Score":null,"Total":0}
引用次数: 0

摘要

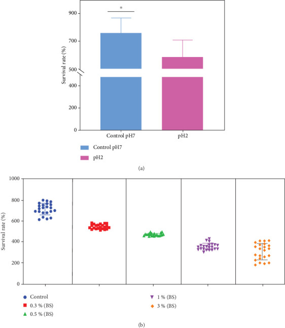
腹泻感染是全球发病率和死亡率的主要原因,通常归因于致病性大肠杆菌菌株。这些病原体中抗生素耐药性的增加需要探索替代治疗剂。本研究旨在评价孟加拉玫瑰对致病性大肠杆菌抗抗生素耐药性的作用。采用体外微生物分离、16S RNA分子鉴定、耐酸试验、生物膜和蜂群试验、溶血活性评价、抗菌素测定等综合分析方法,获得22株分离菌株。分子分析鉴定出4株致病菌株:KNH8 (PQ864811)、KNH11 (PQ864812)、KNH14 (PQ864813)和KNH16 (PQ864814),分类为产肠毒素大肠杆菌(ETEC)和致病性大肠杆菌(EPEC)。致病性评估显示,玫瑰孟加拉(200 μM)显著降低了所有菌株对酸和胆盐的抗性、生物膜的形成、蜂群运动和溶血活性。此外,Rose Bengal增强了这些菌株对五种抗生素(亚胺培南、卡那霉素、氯霉素、庆大霉素和阿莫西林/克拉维酸(AMC))的敏感性,对致病性菌株(KNH8、KNH11、KNH14和KNH16)的敏感性增加了两倍到六倍。这些作用进一步证实了在体内试验的腓尼基的幼虫。这些发现强调了这些大肠杆菌菌株的毒性潜力,并表明Rose Bengal是一种很有前途的抗多药耐药病原体的抗菌剂。
本文章由计算机程序翻译,如有差异,请以英文原文为准。

High Efficacy of Rose Bengal in Reducing the Pathogenicity of <i>Escherichia coli</i> Isolated From Diarrheal Infections.

High Efficacy of Rose Bengal in Reducing the Pathogenicity of <i>Escherichia coli</i> Isolated From Diarrheal Infections.

High Efficacy of Rose Bengal in Reducing the Pathogenicity of <i>Escherichia coli</i> Isolated From Diarrheal Infections.

High Efficacy of Rose Bengal in Reducing the Pathogenicity of Escherichia coli Isolated From Diarrheal Infections.

Diarrheal infections, a leading cause of global morbidity and mortality, are frequently attributed to pathogenic Escherichia coli strains. The rise of antibiotic resistance among these pathogens necessitates the exploration of alternative therapeutic agents. This study is aimed at evaluating the Rose Bengal effect to fight antibiotic resistance in pathogenic E. coli. Using a combination of in vitro assays-including microbiological isolation, 16S RNA molecular identification, acid resistance testing, biofilm and swarming assays, hemolytic activity evaluation, and antibiograms-and in vivo analysis with Rhynchophorus phoenicis larvae, 22 E. coli isolates were obtained. Molecular analyses identified four pathogenic strains: KNH8 (PQ864811), KNH11 (PQ864812), KNH14 (PQ864813), and KNH16 (PQ864814), classified as enterotoxigenic E. coli (ETEC) and enteropathogenic E. coli (EPEC). Pathogenicity assessments revealed that Rose Bengal (200 μM) significantly reduced acid and bile salt resistance, biofilm formation, swarming motility, and hemolytic activity in all strains. Furthermore, Rose Bengal enhanced the sensitivity of these strains to five antibiotics-imipenem, kanamycin, chloramphenicol, gentamicin, and amoxicillin/clavulanic acid (AMC)-with increases ranging from twofold to sixfold in pathogenic strains (KNH8, KNH11, KNH14, and KNH16). These effects were further corroborated by in vivo testing using R. phoenicis larvae. The findings highlight the virulent potential of these E. coli strains and suggest Rose Bengal as a promising antimicrobial agent against multidrug-resistant pathogens.

求助全文
通过发布文献求助,成功后即可免费获取论文全文。 去求助
来源期刊
CiteScore
7.90
自引率
0.00%
发文量
57
审稿时长
13 weeks
期刊介绍: International Journal of Microbiology is a peer-reviewed, Open Access journal that publishes original research articles, review articles, and clinical studies on microorganisms and their interaction with hosts and the environment. The journal covers all microbes, including bacteria, fungi, viruses, archaea, and protozoa. Basic science will be considered, as well as medical and applied research.
×
引用
GB/T 7714-2015
复制
MLA
复制
APA
复制
导出至
BibTeX EndNote RefMan NoteFirst NoteExpress
×
提示
您的信息不完整,为了账户安全,请先补充。
现在去补充
×
提示
您因"违规操作"
具体请查看互助需知
我知道了
×
提示
确定
请完成安全验证×
copy
已复制链接
快去分享给好友吧!
我知道了
右上角分享
点击右上角分享
0
联系我们:info@booksci.cn Book学术提供免费学术资源搜索服务,方便国内外学者检索中英文文献。致力于提供最便捷和优质的服务体验。 Copyright © 2023 布克学术 All rights reserved.
京ICP备2023020795号-1
ghs 京公网安备 11010802042870号
Book学术文献互助
Book学术文献互助群
群 号:604180095
Book学术官方微信