酶清创治疗手部深层烧伤患者手部功能恢复至接近正常:一项前瞻性队列研究。

IF 1.2 Q4 CRITICAL CARE MEDICINE
Kelly Aranka Ayli Kwa, Annika Catherina Reuvers, Jorien Borst-van Breugel, Anouk Pijpe, Paul P M van Zuijlen, Roelf S Breederveld, Annebeth Meij-de Vries
{"title":"酶清创治疗手部深层烧伤患者手部功能恢复至接近正常:一项前瞻性队列研究。","authors":"Kelly Aranka Ayli Kwa, Annika Catherina Reuvers, Jorien Borst-van Breugel, Anouk Pijpe, Paul P M van Zuijlen, Roelf S Breederveld, Annebeth Meij-de Vries","doi":"10.3390/ebj6020036","DOIUrl":null,"url":null,"abstract":"<p><p>Short- and long-term hand function was evaluated in adult patients with deep dermal and full-thickness hand burns after treatment with enzymatic debridement (NexoBrid<sup>®</sup> MediWound Ltd., Yavne, Israel), assessing the results at discharge and 3, 6, and 12 months post-burn. This prospective cohort study was performed in the Burn Center in Beverwijk between March 2017 and December 2019. Hand function was assessed using Modified Kapandji Index scores, the Jebsen-Taylor Hand Function Test, and range of motion; scar quality using the Patient and Observer Scar Assessment Scale version 2.0; and quality of life using the Quick Disability Arm Shoulder Hand Questionnaire and the Canadian Occupational Performance Measure. Ten patients (14 hand burns) were included. The need for a skin graft after NexoBrid<sup>®</sup> was 86%, and 50% needed additional surgical excision before skin grafting. Digits 3 and 4 achieved near-to-normal total active motion, and at least 50% of the hands achieved a normal range within the Jebsen-Taylor Hand Function Test in four items at 12 months post-burn. Scar quality and quality of life improved significantly over time. The present study can be considered as a proof-of-concept study for future clinical trials on enzymatic debridement for hand burns.</p>","PeriodicalId":72961,"journal":{"name":"European burn journal","volume":"6 2","pages":""},"PeriodicalIF":1.2000,"publicationDate":"2025-06-12","publicationTypes":"Journal Article","fieldsOfStudy":null,"isOpenAccess":false,"openAccessPdf":"https://www.ncbi.nlm.nih.gov/pmc/articles/PMC12192170/pdf/","citationCount":"0","resultStr":"{\"title\":\"Hand Function Recovers to Near Normal in Patients with Deep Dermal Hand Burns Treated with Enzymatic Debridement: A Prospective Cohort Study.\",\"authors\":\"Kelly Aranka Ayli Kwa, Annika Catherina Reuvers, Jorien Borst-van Breugel, Anouk Pijpe, Paul P M van Zuijlen, Roelf S Breederveld, Annebeth Meij-de Vries\",\"doi\":\"10.3390/ebj6020036\",\"DOIUrl\":null,\"url\":null,\"abstract\":\"<p><p>Short- and long-term hand function was evaluated in adult patients with deep dermal and full-thickness hand burns after treatment with enzymatic debridement (NexoBrid<sup>®</sup> MediWound Ltd., Yavne, Israel), assessing the results at discharge and 3, 6, and 12 months post-burn. This prospective cohort study was performed in the Burn Center in Beverwijk between March 2017 and December 2019. Hand function was assessed using Modified Kapandji Index scores, the Jebsen-Taylor Hand Function Test, and range of motion; scar quality using the Patient and Observer Scar Assessment Scale version 2.0; and quality of life using the Quick Disability Arm Shoulder Hand Questionnaire and the Canadian Occupational Performance Measure. Ten patients (14 hand burns) were included. The need for a skin graft after NexoBrid<sup>®</sup> was 86%, and 50% needed additional surgical excision before skin grafting. Digits 3 and 4 achieved near-to-normal total active motion, and at least 50% of the hands achieved a normal range within the Jebsen-Taylor Hand Function Test in four items at 12 months post-burn. Scar quality and quality of life improved significantly over time. The present study can be considered as a proof-of-concept study for future clinical trials on enzymatic debridement for hand burns.</p>\",\"PeriodicalId\":72961,\"journal\":{\"name\":\"European burn journal\",\"volume\":\"6 2\",\"pages\":\"\"},\"PeriodicalIF\":1.2000,\"publicationDate\":\"2025-06-12\",\"publicationTypes\":\"Journal Article\",\"fieldsOfStudy\":null,\"isOpenAccess\":false,\"openAccessPdf\":\"https://www.ncbi.nlm.nih.gov/pmc/articles/PMC12192170/pdf/\",\"citationCount\":\"0\",\"resultStr\":null,\"platform\":\"Semanticscholar\",\"paperid\":null,\"PeriodicalName\":\"European burn journal\",\"FirstCategoryId\":\"1085\",\"ListUrlMain\":\"https://doi.org/10.3390/ebj6020036\",\"RegionNum\":0,\"RegionCategory\":null,\"ArticlePicture\":[],\"TitleCN\":null,\"AbstractTextCN\":null,\"PMCID\":null,\"EPubDate\":\"\",\"PubModel\":\"\",\"JCR\":\"Q4\",\"JCRName\":\"CRITICAL CARE MEDICINE\",\"Score\":null,\"Total\":0}","platform":"Semanticscholar","paperid":null,"PeriodicalName":"European burn journal","FirstCategoryId":"1085","ListUrlMain":"https://doi.org/10.3390/ebj6020036","RegionNum":0,"RegionCategory":null,"ArticlePicture":[],"TitleCN":null,"AbstractTextCN":null,"PMCID":null,"EPubDate":"","PubModel":"","JCR":"Q4","JCRName":"CRITICAL CARE MEDICINE","Score":null,"Total":0}
引用次数: 0

摘要

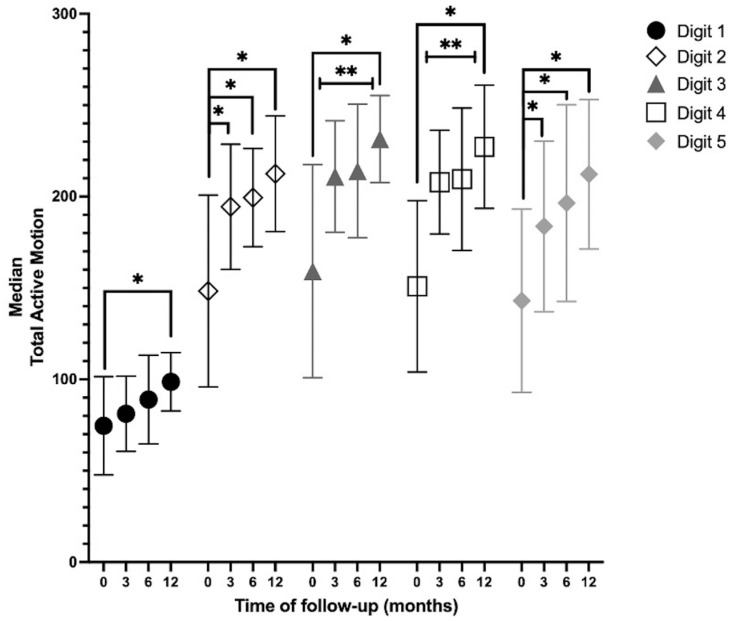
采用酶清创(NexoBrid®MediWound Ltd., Yavne, Israel)治疗深部皮肤和全层手部烧伤的成年患者,评估其短期和长期手部功能,分别在出院和烧伤后3、6和12个月进行评估。这项前瞻性队列研究于2017年3月至2019年12月在贝弗维克烧伤中心进行。采用改良Kapandji指数评分、Jebsen-Taylor手功能测试和活动范围评估手功能;疤痕质量采用患者和观察者疤痕评估量表2.0版;和生活质量使用快速残疾手臂肩手问卷和加拿大职业绩效测量。纳入10例患者(14例手部烧伤)。使用NexoBrid®后需要进行皮肤移植的比例为86%,50%需要在植皮前进行额外的手术切除。3号和4号手指的总主动运动接近正常,烧伤后12个月,至少50%的手在捷成-泰勒手功能测试的四个项目中达到正常范围。随着时间的推移,疤痕质量和生活质量显著改善。本研究可以被认为是一个概念验证研究,为未来的临床试验酶清创手烧伤。
本文章由计算机程序翻译,如有差异,请以英文原文为准。

Hand Function Recovers to Near Normal in Patients with Deep Dermal Hand Burns Treated with Enzymatic Debridement: A Prospective Cohort Study.

Hand Function Recovers to Near Normal in Patients with Deep Dermal Hand Burns Treated with Enzymatic Debridement: A Prospective Cohort Study.

Hand Function Recovers to Near Normal in Patients with Deep Dermal Hand Burns Treated with Enzymatic Debridement: A Prospective Cohort Study.

Hand Function Recovers to Near Normal in Patients with Deep Dermal Hand Burns Treated with Enzymatic Debridement: A Prospective Cohort Study.

Short- and long-term hand function was evaluated in adult patients with deep dermal and full-thickness hand burns after treatment with enzymatic debridement (NexoBrid® MediWound Ltd., Yavne, Israel), assessing the results at discharge and 3, 6, and 12 months post-burn. This prospective cohort study was performed in the Burn Center in Beverwijk between March 2017 and December 2019. Hand function was assessed using Modified Kapandji Index scores, the Jebsen-Taylor Hand Function Test, and range of motion; scar quality using the Patient and Observer Scar Assessment Scale version 2.0; and quality of life using the Quick Disability Arm Shoulder Hand Questionnaire and the Canadian Occupational Performance Measure. Ten patients (14 hand burns) were included. The need for a skin graft after NexoBrid® was 86%, and 50% needed additional surgical excision before skin grafting. Digits 3 and 4 achieved near-to-normal total active motion, and at least 50% of the hands achieved a normal range within the Jebsen-Taylor Hand Function Test in four items at 12 months post-burn. Scar quality and quality of life improved significantly over time. The present study can be considered as a proof-of-concept study for future clinical trials on enzymatic debridement for hand burns.

求助全文
通过发布文献求助,成功后即可免费获取论文全文。 去求助
来源期刊
自引率
0.00%
发文量
0
×
引用
GB/T 7714-2015
复制
MLA
复制
APA
复制
导出至
BibTeX EndNote RefMan NoteFirst NoteExpress
×
提示
您的信息不完整,为了账户安全,请先补充。
现在去补充
×
提示
您因"违规操作"
具体请查看互助需知
我知道了
×
提示
确定
请完成安全验证×
copy
已复制链接
快去分享给好友吧!
我知道了
右上角分享
点击右上角分享
0
联系我们:info@booksci.cn Book学术提供免费学术资源搜索服务,方便国内外学者检索中英文文献。致力于提供最便捷和优质的服务体验。 Copyright © 2023 布克学术 All rights reserved.
京ICP备2023020795号-1
ghs 京公网安备 11010802042870号
Book学术文献互助
Book学术文献互助群
群 号:604180095
Book学术官方微信