探讨血细胞水平如何影响主观性耳鸣:一项横断面病例对照研究。

IF 1.8 Q1 AUDIOLOGY & SPEECH-LANGUAGE PATHOLOGY
Stefani Maihoub, Panayiota Mavrogeni, Gábor Dénes Répássy, András Molnár
{"title":"探讨血细胞水平如何影响主观性耳鸣:一项横断面病例对照研究。","authors":"Stefani Maihoub, Panayiota Mavrogeni, Gábor Dénes Répássy, András Molnár","doi":"10.3390/audiolres15030072","DOIUrl":null,"url":null,"abstract":"<p><p><b>Objectives:</b> This study aimed to analyse the haematological parameters in relation to subjective tinnitus. We hypothesise that abnormal haematological findings may correlate with increased severity and chronicity of tinnitus. This research could lead to improved diagnostic methods and more targeted treatments. <b>Material and Methods:</b> A total of 439 patients with primary subjective tinnitus and 274 individuals without tinnitus were enrolled. These participants underwent comprehensive laboratory testing, which included haematological parameters. <b>Results:</b> When comparing the white blood cell levels between the tinnitus group and the control group, no statistically significant differences were found (<i>p</i> = 0.743). Similarly, comparisons of red blood cell levels (<i>p</i> = 0.250), haemoglobin levels (<i>p</i> = 0.087), and haematocrit levels (<i>p</i> = 0.066) also revealed no significant differences. The platelet levels showed no significant difference between the two groups (<i>p</i> = 0.782). According to a logistic regression model, lower levels of haemoglobin (<i>p</i> = 0.000) and platelets (<i>p</i> = 0.000) significantly predicted higher scores on the Tinnitus Handicap Inventory, indicating self-reported tinnitus severity. Furthermore, lower haemoglobin levels were significant predictors (<i>p</i> = 0.04) of developing bilateral tinnitus. Using Spearman's correlation test, a statistically significant negative correlation (<i>p</i> = 0.029) was observed between red blood cell levels and the onset of tinnitus. The frequency of tinnitus demonstrated a significant positive correlation with haemoglobin levels (<i>p</i> = 0.04) and haematocrit levels (<i>p</i> = 0.043). Conversely, platelet levels showed a significant negative correlation with both tinnitus intensity (<i>p</i> = 0.002) and the onset of tinnitus (<i>p</i> = 0.033). <b>Conclusions:</b> While the haematological parameters showed no significant differences between the tinnitus and control groups, further analyses indicated that certain parameters, such as haemoglobin and haematocrit levels, could potentially influence tinnitus, necessitating further investigation.</p>","PeriodicalId":44133,"journal":{"name":"Audiology Research","volume":"15 3","pages":""},"PeriodicalIF":1.8000,"publicationDate":"2025-06-18","publicationTypes":"Journal Article","fieldsOfStudy":null,"isOpenAccess":false,"openAccessPdf":"https://www.ncbi.nlm.nih.gov/pmc/articles/PMC12190120/pdf/","citationCount":"0","resultStr":"{\"title\":\"Exploring How Blood Cell Levels Influence Subjective Tinnitus: A Cross-Sectional Case-Control Study.\",\"authors\":\"Stefani Maihoub, Panayiota Mavrogeni, Gábor Dénes Répássy, András Molnár\",\"doi\":\"10.3390/audiolres15030072\",\"DOIUrl\":null,\"url\":null,\"abstract\":\"<p><p><b>Objectives:</b> This study aimed to analyse the haematological parameters in relation to subjective tinnitus. We hypothesise that abnormal haematological findings may correlate with increased severity and chronicity of tinnitus. This research could lead to improved diagnostic methods and more targeted treatments. <b>Material and Methods:</b> A total of 439 patients with primary subjective tinnitus and 274 individuals without tinnitus were enrolled. These participants underwent comprehensive laboratory testing, which included haematological parameters. <b>Results:</b> When comparing the white blood cell levels between the tinnitus group and the control group, no statistically significant differences were found (<i>p</i> = 0.743). Similarly, comparisons of red blood cell levels (<i>p</i> = 0.250), haemoglobin levels (<i>p</i> = 0.087), and haematocrit levels (<i>p</i> = 0.066) also revealed no significant differences. The platelet levels showed no significant difference between the two groups (<i>p</i> = 0.782). According to a logistic regression model, lower levels of haemoglobin (<i>p</i> = 0.000) and platelets (<i>p</i> = 0.000) significantly predicted higher scores on the Tinnitus Handicap Inventory, indicating self-reported tinnitus severity. Furthermore, lower haemoglobin levels were significant predictors (<i>p</i> = 0.04) of developing bilateral tinnitus. Using Spearman's correlation test, a statistically significant negative correlation (<i>p</i> = 0.029) was observed between red blood cell levels and the onset of tinnitus. The frequency of tinnitus demonstrated a significant positive correlation with haemoglobin levels (<i>p</i> = 0.04) and haematocrit levels (<i>p</i> = 0.043). Conversely, platelet levels showed a significant negative correlation with both tinnitus intensity (<i>p</i> = 0.002) and the onset of tinnitus (<i>p</i> = 0.033). <b>Conclusions:</b> While the haematological parameters showed no significant differences between the tinnitus and control groups, further analyses indicated that certain parameters, such as haemoglobin and haematocrit levels, could potentially influence tinnitus, necessitating further investigation.</p>\",\"PeriodicalId\":44133,\"journal\":{\"name\":\"Audiology Research\",\"volume\":\"15 3\",\"pages\":\"\"},\"PeriodicalIF\":1.8000,\"publicationDate\":\"2025-06-18\",\"publicationTypes\":\"Journal Article\",\"fieldsOfStudy\":null,\"isOpenAccess\":false,\"openAccessPdf\":\"https://www.ncbi.nlm.nih.gov/pmc/articles/PMC12190120/pdf/\",\"citationCount\":\"0\",\"resultStr\":null,\"platform\":\"Semanticscholar\",\"paperid\":null,\"PeriodicalName\":\"Audiology Research\",\"FirstCategoryId\":\"1085\",\"ListUrlMain\":\"https://doi.org/10.3390/audiolres15030072\",\"RegionNum\":0,\"RegionCategory\":null,\"ArticlePicture\":[],\"TitleCN\":null,\"AbstractTextCN\":null,\"PMCID\":null,\"EPubDate\":\"\",\"PubModel\":\"\",\"JCR\":\"Q1\",\"JCRName\":\"AUDIOLOGY & SPEECH-LANGUAGE PATHOLOGY\",\"Score\":null,\"Total\":0}","platform":"Semanticscholar","paperid":null,"PeriodicalName":"Audiology Research","FirstCategoryId":"1085","ListUrlMain":"https://doi.org/10.3390/audiolres15030072","RegionNum":0,"RegionCategory":null,"ArticlePicture":[],"TitleCN":null,"AbstractTextCN":null,"PMCID":null,"EPubDate":"","PubModel":"","JCR":"Q1","JCRName":"AUDIOLOGY & SPEECH-LANGUAGE PATHOLOGY","Score":null,"Total":0}
引用次数: 0

摘要

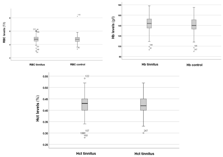
目的:分析血液学参数与主观性耳鸣的关系。我们假设异常的血液学发现可能与耳鸣的严重程度和慢性增加有关。这项研究可能会改善诊断方法和更有针对性的治疗。材料与方法:共纳入439例原发性主观性耳鸣患者和274例非耳鸣患者。这些参与者接受了全面的实验室测试,其中包括血液学参数。结果:耳鸣组与对照组白细胞水平比较,差异无统计学意义(p = 0.743)。同样,红细胞水平(p = 0.250)、血红蛋白水平(p = 0.087)和红细胞压积水平(p = 0.066)的比较也显示无显著差异。两组患者血小板水平差异无统计学意义(p = 0.782)。根据logistic回归模型,血红蛋白(p = 0.000)和血小板(p = 0.000)水平越低,耳鸣障碍量表得分越高,表明自我报告的耳鸣严重程度。此外,较低的血红蛋白水平是发生双侧耳鸣的显著预测因子(p = 0.04)。经Spearman相关检验,红细胞水平与耳鸣发病呈显著负相关(p = 0.029)。耳鸣的频率与血红蛋白水平(p = 0.04)和红细胞压积水平(p = 0.043)呈正相关。相反,血小板水平与耳鸣强度(p = 0.002)和耳鸣发病(p = 0.033)呈显著负相关。结论:虽然血液学参数在耳鸣组和对照组之间没有显着差异,但进一步的分析表明某些参数,如血红蛋白和红细胞压度水平,可能会影响耳鸣,需要进一步的研究。
本文章由计算机程序翻译,如有差异,请以英文原文为准。

Exploring How Blood Cell Levels Influence Subjective Tinnitus: A Cross-Sectional Case-Control Study.

Exploring How Blood Cell Levels Influence Subjective Tinnitus: A Cross-Sectional Case-Control Study.

Exploring How Blood Cell Levels Influence Subjective Tinnitus: A Cross-Sectional Case-Control Study.

Exploring How Blood Cell Levels Influence Subjective Tinnitus: A Cross-Sectional Case-Control Study.

Objectives: This study aimed to analyse the haematological parameters in relation to subjective tinnitus. We hypothesise that abnormal haematological findings may correlate with increased severity and chronicity of tinnitus. This research could lead to improved diagnostic methods and more targeted treatments. Material and Methods: A total of 439 patients with primary subjective tinnitus and 274 individuals without tinnitus were enrolled. These participants underwent comprehensive laboratory testing, which included haematological parameters. Results: When comparing the white blood cell levels between the tinnitus group and the control group, no statistically significant differences were found (p = 0.743). Similarly, comparisons of red blood cell levels (p = 0.250), haemoglobin levels (p = 0.087), and haematocrit levels (p = 0.066) also revealed no significant differences. The platelet levels showed no significant difference between the two groups (p = 0.782). According to a logistic regression model, lower levels of haemoglobin (p = 0.000) and platelets (p = 0.000) significantly predicted higher scores on the Tinnitus Handicap Inventory, indicating self-reported tinnitus severity. Furthermore, lower haemoglobin levels were significant predictors (p = 0.04) of developing bilateral tinnitus. Using Spearman's correlation test, a statistically significant negative correlation (p = 0.029) was observed between red blood cell levels and the onset of tinnitus. The frequency of tinnitus demonstrated a significant positive correlation with haemoglobin levels (p = 0.04) and haematocrit levels (p = 0.043). Conversely, platelet levels showed a significant negative correlation with both tinnitus intensity (p = 0.002) and the onset of tinnitus (p = 0.033). Conclusions: While the haematological parameters showed no significant differences between the tinnitus and control groups, further analyses indicated that certain parameters, such as haemoglobin and haematocrit levels, could potentially influence tinnitus, necessitating further investigation.

求助全文
通过发布文献求助,成功后即可免费获取论文全文。 去求助
来源期刊
Audiology Research
Audiology Research AUDIOLOGY & SPEECH-LANGUAGE PATHOLOGY-
CiteScore
2.30
自引率
23.50%
发文量
56
审稿时长
11 weeks
期刊介绍: The mission of Audiology Research is to publish contemporary, ethical, clinically relevant scientific researches related to the basic science and clinical aspects of the auditory and vestibular system and diseases of the ear that can be used by clinicians, scientists and specialists to improve understanding and treatment of patients with audiological and neurotological disorders.
×
引用
GB/T 7714-2015
复制
MLA
复制
APA
复制
导出至
BibTeX EndNote RefMan NoteFirst NoteExpress
×
提示
您的信息不完整,为了账户安全,请先补充。
现在去补充
×
提示
您因"违规操作"
具体请查看互助需知
我知道了
×
提示
确定
请完成安全验证×
copy
已复制链接
快去分享给好友吧!
我知道了
右上角分享
点击右上角分享
0
联系我们:info@booksci.cn Book学术提供免费学术资源搜索服务,方便国内外学者检索中英文文献。致力于提供最便捷和优质的服务体验。 Copyright © 2023 布克学术 All rights reserved.
京ICP备2023020795号-1
ghs 京公网安备 11010802042870号
Book学术文献互助
Book学术文献互助群
群 号:604180095
Book学术官方微信