预测化学物质抗氧化电位的QSAR模型。

IF 4.4 Q1 TOXICOLOGY
Sofia Ghironi, Edoardo Luca Viganò, Gianluca Selvestrel, Emilio Benfenati
{"title":"预测化学物质抗氧化电位的QSAR模型。","authors":"Sofia Ghironi, Edoardo Luca Viganò, Gianluca Selvestrel, Emilio Benfenati","doi":"10.3390/jox15030080","DOIUrl":null,"url":null,"abstract":"<p><p>Antioxidants are widely studied compounds with significant applications in the nutraceutical and dietary industries. To enable the rapid screening of large libraries of substances for antioxidant activity and to provide a useful tool for the initial evaluation of substances of interest with unknown activity, we developed Quantitative Structure-Activity Relationship (QSAR) models to predict the antioxidant potential of chemical substances. We started from a dataset of 1911 antioxidant substances, retrieved from the AODB database by selecting the DPPH (1,1-diphenyl-2-picrylhydrazyl) radical scavenging activity assay and the experimental value of the half-maximal inhibitory concentration. Different machine learning algorithms were applied to build regression models, and the goodness-of-fit of each model was assessed using the statistical parameters of R squared (R<sup>2</sup>), the Root-Mean-Squared Error, and the Mean Absolute Error. The Extra Trees model outperformed the other models in both internal and external validations, achieving the highest R<sup>2</sup> of 0.77 and the lowest RMSE on the test set. Gradient Boosting and eXtreme Gradient Boosting also achieved promising results with R<sup>2</sup> values of 0.76 and 0.75, respectively. Given these results, we developed an integrated method that not only outperformed the individual models, achieving an R<sup>2</sup> of 0.78 on the external test set, but also provided valuable insights into the range of predicted values.</p>","PeriodicalId":42356,"journal":{"name":"Journal of Xenobiotics","volume":"15 3","pages":""},"PeriodicalIF":4.4000,"publicationDate":"2025-05-25","publicationTypes":"Journal Article","fieldsOfStudy":null,"isOpenAccess":false,"openAccessPdf":"https://www.ncbi.nlm.nih.gov/pmc/articles/PMC12194667/pdf/","citationCount":"0","resultStr":"{\"title\":\"QSAR Models for Predicting the Antioxidant Potential of Chemical Substances.\",\"authors\":\"Sofia Ghironi, Edoardo Luca Viganò, Gianluca Selvestrel, Emilio Benfenati\",\"doi\":\"10.3390/jox15030080\",\"DOIUrl\":null,\"url\":null,\"abstract\":\"<p><p>Antioxidants are widely studied compounds with significant applications in the nutraceutical and dietary industries. To enable the rapid screening of large libraries of substances for antioxidant activity and to provide a useful tool for the initial evaluation of substances of interest with unknown activity, we developed Quantitative Structure-Activity Relationship (QSAR) models to predict the antioxidant potential of chemical substances. We started from a dataset of 1911 antioxidant substances, retrieved from the AODB database by selecting the DPPH (1,1-diphenyl-2-picrylhydrazyl) radical scavenging activity assay and the experimental value of the half-maximal inhibitory concentration. Different machine learning algorithms were applied to build regression models, and the goodness-of-fit of each model was assessed using the statistical parameters of R squared (R<sup>2</sup>), the Root-Mean-Squared Error, and the Mean Absolute Error. The Extra Trees model outperformed the other models in both internal and external validations, achieving the highest R<sup>2</sup> of 0.77 and the lowest RMSE on the test set. Gradient Boosting and eXtreme Gradient Boosting also achieved promising results with R<sup>2</sup> values of 0.76 and 0.75, respectively. Given these results, we developed an integrated method that not only outperformed the individual models, achieving an R<sup>2</sup> of 0.78 on the external test set, but also provided valuable insights into the range of predicted values.</p>\",\"PeriodicalId\":42356,\"journal\":{\"name\":\"Journal of Xenobiotics\",\"volume\":\"15 3\",\"pages\":\"\"},\"PeriodicalIF\":4.4000,\"publicationDate\":\"2025-05-25\",\"publicationTypes\":\"Journal Article\",\"fieldsOfStudy\":null,\"isOpenAccess\":false,\"openAccessPdf\":\"https://www.ncbi.nlm.nih.gov/pmc/articles/PMC12194667/pdf/\",\"citationCount\":\"0\",\"resultStr\":null,\"platform\":\"Semanticscholar\",\"paperid\":null,\"PeriodicalName\":\"Journal of Xenobiotics\",\"FirstCategoryId\":\"1085\",\"ListUrlMain\":\"https://doi.org/10.3390/jox15030080\",\"RegionNum\":0,\"RegionCategory\":null,\"ArticlePicture\":[],\"TitleCN\":null,\"AbstractTextCN\":null,\"PMCID\":null,\"EPubDate\":\"\",\"PubModel\":\"\",\"JCR\":\"Q1\",\"JCRName\":\"TOXICOLOGY\",\"Score\":null,\"Total\":0}","platform":"Semanticscholar","paperid":null,"PeriodicalName":"Journal of Xenobiotics","FirstCategoryId":"1085","ListUrlMain":"https://doi.org/10.3390/jox15030080","RegionNum":0,"RegionCategory":null,"ArticlePicture":[],"TitleCN":null,"AbstractTextCN":null,"PMCID":null,"EPubDate":"","PubModel":"","JCR":"Q1","JCRName":"TOXICOLOGY","Score":null,"Total":0}
引用次数: 0

摘要

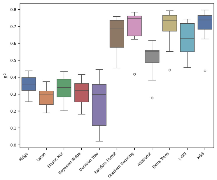
抗氧化剂是一种被广泛研究的化合物,在营养保健和膳食工业中有着重要的应用。为了能够快速筛选大量抗氧化活性物质库,并为初步评估未知活性物质提供有用的工具,我们开发了定量构效关系(QSAR)模型来预测化学物质的抗氧化潜力。我们从AODB数据库中检索的1911种抗氧化物质的数据集开始,选择DPPH(1,1-二苯基-2-苦味酰肼)自由基清除活性测定和半最大抑制浓度的实验值。采用不同的机器学习算法建立回归模型,并使用R平方(R2)、均方根误差(Root-Mean-Squared Error)和平均绝对误差(Mean Absolute Error)的统计参数评估每个模型的拟合优度。Extra Trees模型在内部和外部验证中都优于其他模型,在测试集中实现了最高的R2 0.77和最低的RMSE。Gradient Boosting和eXtreme Gradient Boosting也取得了很好的效果,R2分别为0.76和0.75。鉴于这些结果,我们开发了一种集成方法,不仅优于单个模型,在外部测试集上实现了0.78的R2,而且还提供了对预测值范围的有价值的见解。
本文章由计算机程序翻译,如有差异,请以英文原文为准。

QSAR Models for Predicting the Antioxidant Potential of Chemical Substances.

QSAR Models for Predicting the Antioxidant Potential of Chemical Substances.

QSAR Models for Predicting the Antioxidant Potential of Chemical Substances.

QSAR Models for Predicting the Antioxidant Potential of Chemical Substances.

Antioxidants are widely studied compounds with significant applications in the nutraceutical and dietary industries. To enable the rapid screening of large libraries of substances for antioxidant activity and to provide a useful tool for the initial evaluation of substances of interest with unknown activity, we developed Quantitative Structure-Activity Relationship (QSAR) models to predict the antioxidant potential of chemical substances. We started from a dataset of 1911 antioxidant substances, retrieved from the AODB database by selecting the DPPH (1,1-diphenyl-2-picrylhydrazyl) radical scavenging activity assay and the experimental value of the half-maximal inhibitory concentration. Different machine learning algorithms were applied to build regression models, and the goodness-of-fit of each model was assessed using the statistical parameters of R squared (R2), the Root-Mean-Squared Error, and the Mean Absolute Error. The Extra Trees model outperformed the other models in both internal and external validations, achieving the highest R2 of 0.77 and the lowest RMSE on the test set. Gradient Boosting and eXtreme Gradient Boosting also achieved promising results with R2 values of 0.76 and 0.75, respectively. Given these results, we developed an integrated method that not only outperformed the individual models, achieving an R2 of 0.78 on the external test set, but also provided valuable insights into the range of predicted values.

求助全文
通过发布文献求助,成功后即可免费获取论文全文。 去求助
来源期刊
CiteScore
5.30
自引率
1.70%
发文量
21
审稿时长
10 weeks
期刊介绍: The Journal of Xenobiotics publishes original studies concerning the beneficial (pharmacology) and detrimental effects (toxicology) of xenobiotics in all organisms. A xenobiotic (“stranger to life”) is defined as a chemical that is not usually found at significant concentrations or expected to reside for long periods in organisms. In addition to man-made chemicals, natural products could also be of interest if they have potent biological properties, special medicinal properties or that a given organism is at risk of exposure in the environment. Topics dealing with abiotic- and biotic-based transformations in various media (xenobiochemistry) and environmental toxicology are also of interest. Areas of interests include the identification of key physical and chemical properties of molecules that predict biological effects and persistence in the environment; the molecular mode of action of xenobiotics; biochemical and physiological interactions leading to change in organism health; pathophysiological interactions of natural and synthetic chemicals; development of biochemical indicators including new “-omics” approaches to identify biomarkers of exposure or effects for xenobiotics.
×
引用
GB/T 7714-2015
复制
MLA
复制
APA
复制
导出至
BibTeX EndNote RefMan NoteFirst NoteExpress
×
提示
您的信息不完整,为了账户安全,请先补充。
现在去补充
×
提示
您因"违规操作"
具体请查看互助需知
我知道了
×
提示
确定
请完成安全验证×
copy
已复制链接
快去分享给好友吧!
我知道了
右上角分享
点击右上角分享
0
联系我们:info@booksci.cn Book学术提供免费学术资源搜索服务,方便国内外学者检索中英文文献。致力于提供最便捷和优质的服务体验。 Copyright © 2023 布克学术 All rights reserved.
京ICP备2023020795号-1
ghs 京公网安备 11010802042870号
Book学术文献互助
Book学术文献互助群
群 号:604180095
Book学术官方微信