一项回顾性队列研究:新生血管性青光眼与原发性开角型青光眼手术患者全因死亡率的比较

IF 1.8 Q2 Medicine
Laura D Palmer, Levi D Kauffman, Gregory B Russell, Atalie C Thompson, Gillian G Treadwell
{"title":"一项回顾性队列研究:新生血管性青光眼与原发性开角型青光眼手术患者全因死亡率的比较","authors":"Laura D Palmer, Levi D Kauffman, Gregory B Russell, Atalie C Thompson, Gillian G Treadwell","doi":"10.3390/vision9020049","DOIUrl":null,"url":null,"abstract":"<p><p>This retrospective review examines whether there is a difference in all-cause mortality in patients who required surgical intervention for neovascular glaucoma (NVG, N = 186) versus primary open-angle glaucoma (POAG, N = 190). Cox proportional hazard models compared mortality across three models: unadjusted, age-adjusted (Model 1), and age-, hypertension-, and diabetes-adjusted (Model 2). In all models, NVG patients who required glaucoma surgery had a higher all-cause mortality rate compared to those with POAG who underwent similar procedures: unadjusted (HR 2.22, (1.59, 3.10), <i>p</i> < 0.0001), Model 1 (HR 2.99, 95% CI (2.12, 4.22), <i>p</i> < 0.0001), and Model 2 (HR 1.88, 95% CI (1.27, 2.80), <i>p</i> < 0.0018). In Model 1, those with NVG due to PDR had a higher all-cause mortality rate after glaucoma surgery than those with NVG secondary to CRVO (HR 2.00, 95% CI (1.19, 3.45), <i>p</i> < 0.0095). Patients treated with CPC had higher all-cause mortality rates than those treated with tube shunt in all models: unadjusted (HR 1.82, 95% CI (1.33, 2.47), <i>p</i> < 0.0001), Model 1 (HR 1.91, 95% CI (1.40, 2.61), <i>p</i> < 0.0001), and Model 2 (HR 1.50, 95% CI (1.04, 2.16), <i>p</i> < 0.03). We observed a higher all-cause mortality rate among patients with NVG requiring glaucoma surgery compared to those with POAG requiring similar surgeries, which could suggest that NVG patients requiring glaucoma surgery had more compromised systemic health.</p>","PeriodicalId":36586,"journal":{"name":"Vision (Switzerland)","volume":"9 2","pages":""},"PeriodicalIF":1.8000,"publicationDate":"2025-06-13","publicationTypes":"Journal Article","fieldsOfStudy":null,"isOpenAccess":false,"openAccessPdf":"https://www.ncbi.nlm.nih.gov/pmc/articles/PMC12197471/pdf/","citationCount":"0","resultStr":"{\"title\":\"A Comparison of All-Cause Mortality in Patients Who Required Glaucoma Surgery for Neovascular Glaucoma or Primary Open-Angle Glaucoma: A Retrospective Cohort Study.\",\"authors\":\"Laura D Palmer, Levi D Kauffman, Gregory B Russell, Atalie C Thompson, Gillian G Treadwell\",\"doi\":\"10.3390/vision9020049\",\"DOIUrl\":null,\"url\":null,\"abstract\":\"<p><p>This retrospective review examines whether there is a difference in all-cause mortality in patients who required surgical intervention for neovascular glaucoma (NVG, N = 186) versus primary open-angle glaucoma (POAG, N = 190). Cox proportional hazard models compared mortality across three models: unadjusted, age-adjusted (Model 1), and age-, hypertension-, and diabetes-adjusted (Model 2). In all models, NVG patients who required glaucoma surgery had a higher all-cause mortality rate compared to those with POAG who underwent similar procedures: unadjusted (HR 2.22, (1.59, 3.10), <i>p</i> < 0.0001), Model 1 (HR 2.99, 95% CI (2.12, 4.22), <i>p</i> < 0.0001), and Model 2 (HR 1.88, 95% CI (1.27, 2.80), <i>p</i> < 0.0018). In Model 1, those with NVG due to PDR had a higher all-cause mortality rate after glaucoma surgery than those with NVG secondary to CRVO (HR 2.00, 95% CI (1.19, 3.45), <i>p</i> < 0.0095). Patients treated with CPC had higher all-cause mortality rates than those treated with tube shunt in all models: unadjusted (HR 1.82, 95% CI (1.33, 2.47), <i>p</i> < 0.0001), Model 1 (HR 1.91, 95% CI (1.40, 2.61), <i>p</i> < 0.0001), and Model 2 (HR 1.50, 95% CI (1.04, 2.16), <i>p</i> < 0.03). We observed a higher all-cause mortality rate among patients with NVG requiring glaucoma surgery compared to those with POAG requiring similar surgeries, which could suggest that NVG patients requiring glaucoma surgery had more compromised systemic health.</p>\",\"PeriodicalId\":36586,\"journal\":{\"name\":\"Vision (Switzerland)\",\"volume\":\"9 2\",\"pages\":\"\"},\"PeriodicalIF\":1.8000,\"publicationDate\":\"2025-06-13\",\"publicationTypes\":\"Journal Article\",\"fieldsOfStudy\":null,\"isOpenAccess\":false,\"openAccessPdf\":\"https://www.ncbi.nlm.nih.gov/pmc/articles/PMC12197471/pdf/\",\"citationCount\":\"0\",\"resultStr\":null,\"platform\":\"Semanticscholar\",\"paperid\":null,\"PeriodicalName\":\"Vision (Switzerland)\",\"FirstCategoryId\":\"1085\",\"ListUrlMain\":\"https://doi.org/10.3390/vision9020049\",\"RegionNum\":0,\"RegionCategory\":null,\"ArticlePicture\":[],\"TitleCN\":null,\"AbstractTextCN\":null,\"PMCID\":null,\"EPubDate\":\"\",\"PubModel\":\"\",\"JCR\":\"Q2\",\"JCRName\":\"Medicine\",\"Score\":null,\"Total\":0}","platform":"Semanticscholar","paperid":null,"PeriodicalName":"Vision (Switzerland)","FirstCategoryId":"1085","ListUrlMain":"https://doi.org/10.3390/vision9020049","RegionNum":0,"RegionCategory":null,"ArticlePicture":[],"TitleCN":null,"AbstractTextCN":null,"PMCID":null,"EPubDate":"","PubModel":"","JCR":"Q2","JCRName":"Medicine","Score":null,"Total":0}
引用次数: 0

摘要

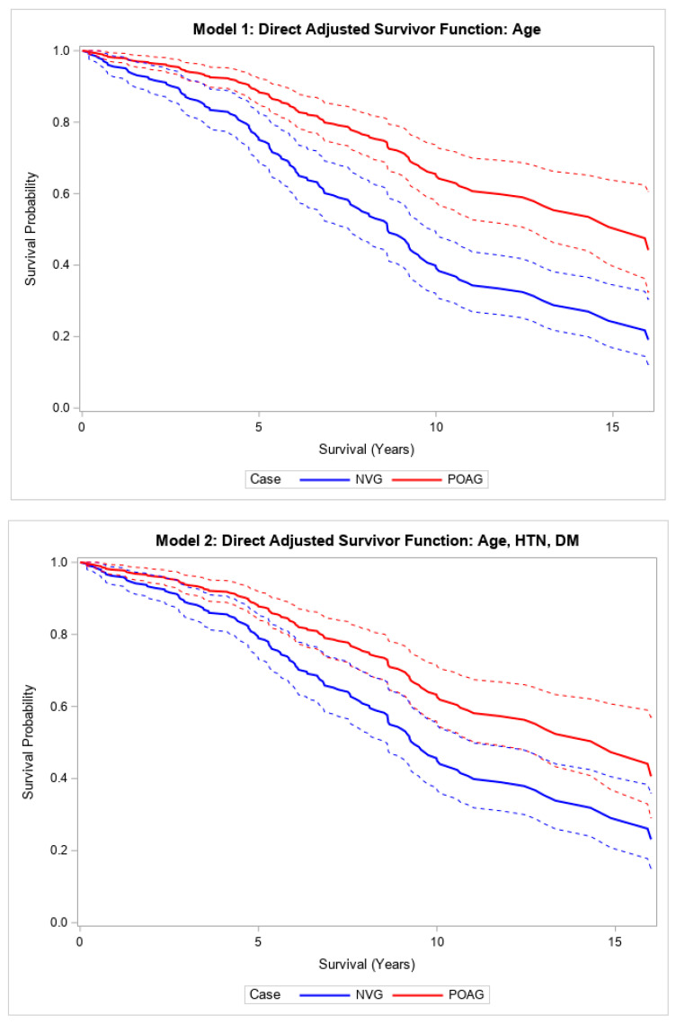
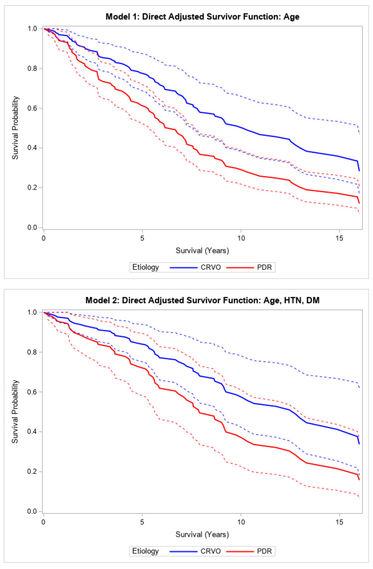
本回顾性研究探讨了新生血管性青光眼(NVG, N = 186)与原发性开角型青光眼(POAG, N = 190)患者的全因死亡率是否存在差异。Cox比例风险模型比较了三种模型的死亡率:未调整、年龄调整(模型1)和年龄、高血压和糖尿病调整(模型2)。在所有模型中,与接受类似手术的POAG患者相比,需要青光眼手术的NVG患者的全因死亡率更高:未调整(HR 2.22, (1.59, 3.10), p < 0.0001),模型1 (HR 2.99, 95% CI (2.12, 4.22), p < 0.0001),模型2 (HR 1.88, 95% CI (1.27, 2.80), p < 0.0018)。模型1中,PDR致NVG患者术后全因死亡率高于CRVO继发NVG患者(HR 2.00, 95% CI (1.19, 3.45), p < 0.0095)。在所有模型中,CPC治疗的患者的全因死亡率高于分流治疗的患者:未调整(HR 1.82, 95% CI (1.33, 2.47), p < 0.0001),模型1 (HR 1.91, 95% CI (1.40, 2.61), p < 0.0001),模型2 (HR 1.50, 95% CI (1.04, 2.16), p < 0.03)。我们观察到,与需要类似手术的POAG患者相比,需要青光眼手术的NVG患者的全因死亡率更高,这可能表明需要青光眼手术的NVG患者有更多的全身健康受损。
本文章由计算机程序翻译,如有差异,请以英文原文为准。

A Comparison of All-Cause Mortality in Patients Who Required Glaucoma Surgery for Neovascular Glaucoma or Primary Open-Angle Glaucoma: A Retrospective Cohort Study.

A Comparison of All-Cause Mortality in Patients Who Required Glaucoma Surgery for Neovascular Glaucoma or Primary Open-Angle Glaucoma: A Retrospective Cohort Study.

A Comparison of All-Cause Mortality in Patients Who Required Glaucoma Surgery for Neovascular Glaucoma or Primary Open-Angle Glaucoma: A Retrospective Cohort Study.

A Comparison of All-Cause Mortality in Patients Who Required Glaucoma Surgery for Neovascular Glaucoma or Primary Open-Angle Glaucoma: A Retrospective Cohort Study.

This retrospective review examines whether there is a difference in all-cause mortality in patients who required surgical intervention for neovascular glaucoma (NVG, N = 186) versus primary open-angle glaucoma (POAG, N = 190). Cox proportional hazard models compared mortality across three models: unadjusted, age-adjusted (Model 1), and age-, hypertension-, and diabetes-adjusted (Model 2). In all models, NVG patients who required glaucoma surgery had a higher all-cause mortality rate compared to those with POAG who underwent similar procedures: unadjusted (HR 2.22, (1.59, 3.10), p < 0.0001), Model 1 (HR 2.99, 95% CI (2.12, 4.22), p < 0.0001), and Model 2 (HR 1.88, 95% CI (1.27, 2.80), p < 0.0018). In Model 1, those with NVG due to PDR had a higher all-cause mortality rate after glaucoma surgery than those with NVG secondary to CRVO (HR 2.00, 95% CI (1.19, 3.45), p < 0.0095). Patients treated with CPC had higher all-cause mortality rates than those treated with tube shunt in all models: unadjusted (HR 1.82, 95% CI (1.33, 2.47), p < 0.0001), Model 1 (HR 1.91, 95% CI (1.40, 2.61), p < 0.0001), and Model 2 (HR 1.50, 95% CI (1.04, 2.16), p < 0.03). We observed a higher all-cause mortality rate among patients with NVG requiring glaucoma surgery compared to those with POAG requiring similar surgeries, which could suggest that NVG patients requiring glaucoma surgery had more compromised systemic health.

求助全文
通过发布文献求助,成功后即可免费获取论文全文。 去求助
来源期刊
Vision (Switzerland)
Vision (Switzerland) Health Professions-Optometry
CiteScore
2.30
自引率
0.00%
发文量
62
审稿时长
11 weeks
×
引用
GB/T 7714-2015
复制
MLA
复制
APA
复制
导出至
BibTeX EndNote RefMan NoteFirst NoteExpress
×
提示
您的信息不完整,为了账户安全,请先补充。
现在去补充
×
提示
您因"违规操作"
具体请查看互助需知
我知道了
×
提示
确定
请完成安全验证×
copy
已复制链接
快去分享给好友吧!
我知道了
右上角分享
点击右上角分享
0
联系我们:info@booksci.cn Book学术提供免费学术资源搜索服务,方便国内外学者检索中英文文献。致力于提供最便捷和优质的服务体验。 Copyright © 2023 布克学术 All rights reserved.
京ICP备2023020795号-1
ghs 京公网安备 11010802042870号
Book学术文献互助
Book学术文献互助群
群 号:604180095
Book学术官方微信