2012 - 2023年儿童体质长期趋势及新冠疫情影响

IF 5.9 2区 医学 Q1 SPORT SCIENCES
Tanja Eberhardt, Klaus Bös, Alexander Woll, Reinhold Kliegl, Claudia Niessner
{"title":"2012 - 2023年儿童体质长期趋势及新冠疫情影响","authors":"Tanja Eberhardt, Klaus Bös, Alexander Woll, Reinhold Kliegl, Claudia Niessner","doi":"10.1186/s40798-025-00881-2","DOIUrl":null,"url":null,"abstract":"<p><strong>Background: </strong>Physical fitness is a key component in the development of an active lifestyle and a determinant of future health, particularly in childhood. The findings of physical fitness assessments enable evidence-based monitoring and the identification of long-term trends. The COVID-19 pandemic is an additional factor that can be considered in the analysis, as its influence is already known. The aim of our analysis was to comprehensively investigate secular trends with respect to the physical fitness of children before and during the pandemic. This study also serves to test whether Citizen Science projects can deliver results comparable to those obtained using traditional assessment formats while also documenting certain limitations of this approach.</p><p><strong>Methods: </strong>Data on annual assessments conducted in the German federal state of Baden-Wuerttemberg were pooled from 12 cohorts starting in 2012. The analyses are based on 25,580 6-10 year-old children (M = 7.56, SD = 1.21 years; 12,575 girls) in our analysis. We estimated the effects of the COVID-19 pandemic using a regression discontinuity design within a linear mixed model. This enabled us to estimate pre-pandemic and pandemic trends, and to adjust for age, sex, and body constitution fixed-effect covariates and child and region as random factors.</p><p><strong>Results: </strong>For the pre-pandemic cohorts, we found significant trends only slightly negative or positive trends in six of eight items. This suggests that the declining trend in physical fitness in children has been slowing down. The COVID-19 pandemic affected physical fitness negatively for six items (i.e., shift at critical date: 6 min Run, Jumping Sideways, Sit-Ups, Push-Ups; negative change from pre-pandemic to pandemic trends: 20 m Sprint, Standing Long Jump). There was no evidence for pandemic changes in balancing backwards and stand-and-reach items. Effects of age, sex, and body constitution replicated previous results.</p><p><strong>Conclusions: </strong>Continuous monitoring of children's physical fitness is essential, especially in the context of the COVID-19 pandemic. Such monitoring identifies positive and negative trends and provides evidence for the need of strategies and actions. It is particularly important to initiate systematic initiatives during childhood to promote physical fitness and reduce deficits, as this is the time when the foundations for an active and healthy lifestyle are laid.</p>","PeriodicalId":21788,"journal":{"name":"Sports Medicine - Open","volume":"11 1","pages":"80"},"PeriodicalIF":5.9000,"publicationDate":"2025-06-24","publicationTypes":"Journal Article","fieldsOfStudy":null,"isOpenAccess":false,"openAccessPdf":"https://www.ncbi.nlm.nih.gov/pmc/articles/PMC12187630/pdf/","citationCount":"0","resultStr":"{\"title\":\"Secular Trends of Children's Physical Fitness and the Impact of the COVID-Pandemic for Years 2012 to 2023.\",\"authors\":\"Tanja Eberhardt, Klaus Bös, Alexander Woll, Reinhold Kliegl, Claudia Niessner\",\"doi\":\"10.1186/s40798-025-00881-2\",\"DOIUrl\":null,\"url\":null,\"abstract\":\"<p><strong>Background: </strong>Physical fitness is a key component in the development of an active lifestyle and a determinant of future health, particularly in childhood. The findings of physical fitness assessments enable evidence-based monitoring and the identification of long-term trends. The COVID-19 pandemic is an additional factor that can be considered in the analysis, as its influence is already known. The aim of our analysis was to comprehensively investigate secular trends with respect to the physical fitness of children before and during the pandemic. This study also serves to test whether Citizen Science projects can deliver results comparable to those obtained using traditional assessment formats while also documenting certain limitations of this approach.</p><p><strong>Methods: </strong>Data on annual assessments conducted in the German federal state of Baden-Wuerttemberg were pooled from 12 cohorts starting in 2012. The analyses are based on 25,580 6-10 year-old children (M = 7.56, SD = 1.21 years; 12,575 girls) in our analysis. We estimated the effects of the COVID-19 pandemic using a regression discontinuity design within a linear mixed model. This enabled us to estimate pre-pandemic and pandemic trends, and to adjust for age, sex, and body constitution fixed-effect covariates and child and region as random factors.</p><p><strong>Results: </strong>For the pre-pandemic cohorts, we found significant trends only slightly negative or positive trends in six of eight items. This suggests that the declining trend in physical fitness in children has been slowing down. The COVID-19 pandemic affected physical fitness negatively for six items (i.e., shift at critical date: 6 min Run, Jumping Sideways, Sit-Ups, Push-Ups; negative change from pre-pandemic to pandemic trends: 20 m Sprint, Standing Long Jump). There was no evidence for pandemic changes in balancing backwards and stand-and-reach items. Effects of age, sex, and body constitution replicated previous results.</p><p><strong>Conclusions: </strong>Continuous monitoring of children's physical fitness is essential, especially in the context of the COVID-19 pandemic. Such monitoring identifies positive and negative trends and provides evidence for the need of strategies and actions. It is particularly important to initiate systematic initiatives during childhood to promote physical fitness and reduce deficits, as this is the time when the foundations for an active and healthy lifestyle are laid.</p>\",\"PeriodicalId\":21788,\"journal\":{\"name\":\"Sports Medicine - Open\",\"volume\":\"11 1\",\"pages\":\"80\"},\"PeriodicalIF\":5.9000,\"publicationDate\":\"2025-06-24\",\"publicationTypes\":\"Journal Article\",\"fieldsOfStudy\":null,\"isOpenAccess\":false,\"openAccessPdf\":\"https://www.ncbi.nlm.nih.gov/pmc/articles/PMC12187630/pdf/\",\"citationCount\":\"0\",\"resultStr\":null,\"platform\":\"Semanticscholar\",\"paperid\":null,\"PeriodicalName\":\"Sports Medicine - Open\",\"FirstCategoryId\":\"3\",\"ListUrlMain\":\"https://doi.org/10.1186/s40798-025-00881-2\",\"RegionNum\":2,\"RegionCategory\":\"医学\",\"ArticlePicture\":[],\"TitleCN\":null,\"AbstractTextCN\":null,\"PMCID\":null,\"EPubDate\":\"\",\"PubModel\":\"\",\"JCR\":\"Q1\",\"JCRName\":\"SPORT SCIENCES\",\"Score\":null,\"Total\":0}","platform":"Semanticscholar","paperid":null,"PeriodicalName":"Sports Medicine - Open","FirstCategoryId":"3","ListUrlMain":"https://doi.org/10.1186/s40798-025-00881-2","RegionNum":2,"RegionCategory":"医学","ArticlePicture":[],"TitleCN":null,"AbstractTextCN":null,"PMCID":null,"EPubDate":"","PubModel":"","JCR":"Q1","JCRName":"SPORT SCIENCES","Score":null,"Total":0}
引用次数: 0

摘要

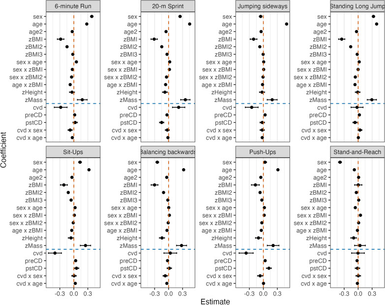
背景:身体健康是形成积极生活方式的关键组成部分,也是未来健康的决定因素,尤其是在儿童时期。身体健康评估的结果使基于证据的监测和长期趋势的识别成为可能。COVID-19大流行是可以在分析中考虑的另一个因素,因为它的影响已经知道。我们分析的目的是全面调查大流行之前和期间儿童身体健康的长期趋势。本研究还用于测试公民科学项目是否可以提供与使用传统评估格式获得的结果相媲美的结果,同时也记录了这种方法的某些局限性。方法:从2012年开始,在德国巴登-符腾堡州进行的年度评估数据来自12个队列。该分析基于25580名6-10岁儿童(M = 7.56, SD = 1.21岁;12575名女孩)。我们使用线性混合模型中的回归不连续设计来估计COVID-19大流行的影响。这使我们能够估计大流行前和大流行趋势,并将年龄、性别和体质固定效应协变量以及儿童和地区作为随机因素进行调整。结果:对于大流行前的队列,我们发现在8个项目中的6个项目中只有轻微的消极或积极趋势。这表明儿童身体素质下降的趋势正在放缓。新冠肺炎疫情对6项体能产生负面影响(即关键日期轮班:6分钟跑步、侧身跳、仰卧起坐、俯卧撑;从流行病前到流行病趋势的负变化:20米短跑、立定跳远)。没有证据表明大流行在平衡向后和站立可及物品方面发生了变化。年龄、性别和体质的影响与之前的结果一致。结论:持续监测儿童身体健康至关重要,特别是在2019冠状病毒病大流行的背景下。这种监测确定了积极和消极的趋势,并为需要采取战略和行动提供证据。特别重要的是,在儿童时期采取系统举措,促进身体健康和减少缺陷,因为这是为积极和健康的生活方式奠定基础的时期。
本文章由计算机程序翻译,如有差异,请以英文原文为准。

Secular Trends of Children's Physical Fitness and the Impact of the COVID-Pandemic for Years 2012 to 2023.

Secular Trends of Children's Physical Fitness and the Impact of the COVID-Pandemic for Years 2012 to 2023.

Secular Trends of Children's Physical Fitness and the Impact of the COVID-Pandemic for Years 2012 to 2023.

Secular Trends of Children's Physical Fitness and the Impact of the COVID-Pandemic for Years 2012 to 2023.

Background: Physical fitness is a key component in the development of an active lifestyle and a determinant of future health, particularly in childhood. The findings of physical fitness assessments enable evidence-based monitoring and the identification of long-term trends. The COVID-19 pandemic is an additional factor that can be considered in the analysis, as its influence is already known. The aim of our analysis was to comprehensively investigate secular trends with respect to the physical fitness of children before and during the pandemic. This study also serves to test whether Citizen Science projects can deliver results comparable to those obtained using traditional assessment formats while also documenting certain limitations of this approach.

Methods: Data on annual assessments conducted in the German federal state of Baden-Wuerttemberg were pooled from 12 cohorts starting in 2012. The analyses are based on 25,580 6-10 year-old children (M = 7.56, SD = 1.21 years; 12,575 girls) in our analysis. We estimated the effects of the COVID-19 pandemic using a regression discontinuity design within a linear mixed model. This enabled us to estimate pre-pandemic and pandemic trends, and to adjust for age, sex, and body constitution fixed-effect covariates and child and region as random factors.

Results: For the pre-pandemic cohorts, we found significant trends only slightly negative or positive trends in six of eight items. This suggests that the declining trend in physical fitness in children has been slowing down. The COVID-19 pandemic affected physical fitness negatively for six items (i.e., shift at critical date: 6 min Run, Jumping Sideways, Sit-Ups, Push-Ups; negative change from pre-pandemic to pandemic trends: 20 m Sprint, Standing Long Jump). There was no evidence for pandemic changes in balancing backwards and stand-and-reach items. Effects of age, sex, and body constitution replicated previous results.

Conclusions: Continuous monitoring of children's physical fitness is essential, especially in the context of the COVID-19 pandemic. Such monitoring identifies positive and negative trends and provides evidence for the need of strategies and actions. It is particularly important to initiate systematic initiatives during childhood to promote physical fitness and reduce deficits, as this is the time when the foundations for an active and healthy lifestyle are laid.

求助全文
通过发布文献求助,成功后即可免费获取论文全文。 去求助
来源期刊
Sports Medicine - Open
Sports Medicine - Open SPORT SCIENCES-
CiteScore
7.00
自引率
4.30%
发文量
142
审稿时长
13 weeks
×
引用
GB/T 7714-2015
复制
MLA
复制
APA
复制
导出至
BibTeX EndNote RefMan NoteFirst NoteExpress
×
提示
您的信息不完整,为了账户安全,请先补充。
现在去补充
×
提示
您因"违规操作"
具体请查看互助需知
我知道了
×
提示
确定
请完成安全验证×
copy
已复制链接
快去分享给好友吧!
我知道了
右上角分享
点击右上角分享
0
联系我们:info@booksci.cn Book学术提供免费学术资源搜索服务,方便国内外学者检索中英文文献。致力于提供最便捷和优质的服务体验。 Copyright © 2023 布克学术 All rights reserved.
京ICP备2023020795号-1
ghs 京公网安备 11010802042870号
Book学术文献互助
Book学术文献互助群
群 号:604180095
Book学术官方微信