在日本社区居住的老年人中,通过5次重复坐立测试评估的肌肉质量与跌倒之间的关系:一项横断面研究。

IF 2.1 Q3 GERIATRICS & GERONTOLOGY
Koji Takimoto, Hideaki Takebayashi, Hiroshi Kondo, Koji Ikeda
{"title":"在日本社区居住的老年人中,通过5次重复坐立测试评估的肌肉质量与跌倒之间的关系:一项横断面研究。","authors":"Koji Takimoto, Hideaki Takebayashi, Hiroshi Kondo, Koji Ikeda","doi":"10.3390/geriatrics10030078","DOIUrl":null,"url":null,"abstract":"<p><p><b>Background:</b> Falls in older adults are a major barrier to healthy longevity. Recent studies suggest that muscle quality is associated with fall risk. This study aimed to determine whether a functional muscle quality index (MQI) using the 5-repetition sit-to-stand test (5R-STS) reflects fall risk in community-dwelling older adults. <b>Methods:</b> This cross-sectional study included 137 community-dwelling older adults (≥65 years) in Japan. Lower limb skeletal muscle mass (SMM) was measured using the BIA method, and muscle function was assessed using the 5R-STS. The MQI was calculated as \"(5R-STS (s)/SMM (kg)) × 10\". Fall history was collected using a self-administered questionnaire, and binary logistic regression analysis including gait speed and physical frailty was performed. <b>Results:</b> Participants were divided into fallers (n = 36; age = 78.2 ± 5.6) and non-fallers (n = 101; age = 76.9 ± 5.3). Significant differences were found between the groups in gait speed (<i>p</i> = 0.01), TUG (<i>p</i> < 0.01), 5R-STS (<i>p</i> < 0.01), and MQI (<i>p</i> < 0.01). Binary logistic regression identified MQI (OR = 1.28; <i>p</i> < 0.01) and gait speed (OR = 0.14; <i>p</i> = 0.02) as explanatory variables for fall history. The results of the evaluation using the receiver operating characteristic (ROC) curve showed that the cutoff value for MQI to distinguish fall history was 8.04 s/kg, and the cutoff value for gait speed was 1.21 s. <b>Conclusions:</b> The MQI using the 5R-STS shows promise as an indicator of fall risk in older adults. Further longitudinal studies are needed to clarify the causal relationship.</p>","PeriodicalId":12653,"journal":{"name":"Geriatrics","volume":"10 3","pages":""},"PeriodicalIF":2.1000,"publicationDate":"2025-06-07","publicationTypes":"Journal Article","fieldsOfStudy":null,"isOpenAccess":false,"openAccessPdf":"https://www.ncbi.nlm.nih.gov/pmc/articles/PMC12193197/pdf/","citationCount":"0","resultStr":"{\"title\":\"Association Between Muscle Quality Assessed by the 5-Repetition Sit-to-Stand Test and Falls in Community-Dwelling Older Adults in Japan: A Cross-Sectional Study.\",\"authors\":\"Koji Takimoto, Hideaki Takebayashi, Hiroshi Kondo, Koji Ikeda\",\"doi\":\"10.3390/geriatrics10030078\",\"DOIUrl\":null,\"url\":null,\"abstract\":\"<p><p><b>Background:</b> Falls in older adults are a major barrier to healthy longevity. Recent studies suggest that muscle quality is associated with fall risk. This study aimed to determine whether a functional muscle quality index (MQI) using the 5-repetition sit-to-stand test (5R-STS) reflects fall risk in community-dwelling older adults. <b>Methods:</b> This cross-sectional study included 137 community-dwelling older adults (≥65 years) in Japan. Lower limb skeletal muscle mass (SMM) was measured using the BIA method, and muscle function was assessed using the 5R-STS. The MQI was calculated as \\\"(5R-STS (s)/SMM (kg)) × 10\\\". Fall history was collected using a self-administered questionnaire, and binary logistic regression analysis including gait speed and physical frailty was performed. <b>Results:</b> Participants were divided into fallers (n = 36; age = 78.2 ± 5.6) and non-fallers (n = 101; age = 76.9 ± 5.3). Significant differences were found between the groups in gait speed (<i>p</i> = 0.01), TUG (<i>p</i> < 0.01), 5R-STS (<i>p</i> < 0.01), and MQI (<i>p</i> < 0.01). Binary logistic regression identified MQI (OR = 1.28; <i>p</i> < 0.01) and gait speed (OR = 0.14; <i>p</i> = 0.02) as explanatory variables for fall history. The results of the evaluation using the receiver operating characteristic (ROC) curve showed that the cutoff value for MQI to distinguish fall history was 8.04 s/kg, and the cutoff value for gait speed was 1.21 s. <b>Conclusions:</b> The MQI using the 5R-STS shows promise as an indicator of fall risk in older adults. Further longitudinal studies are needed to clarify the causal relationship.</p>\",\"PeriodicalId\":12653,\"journal\":{\"name\":\"Geriatrics\",\"volume\":\"10 3\",\"pages\":\"\"},\"PeriodicalIF\":2.1000,\"publicationDate\":\"2025-06-07\",\"publicationTypes\":\"Journal Article\",\"fieldsOfStudy\":null,\"isOpenAccess\":false,\"openAccessPdf\":\"https://www.ncbi.nlm.nih.gov/pmc/articles/PMC12193197/pdf/\",\"citationCount\":\"0\",\"resultStr\":null,\"platform\":\"Semanticscholar\",\"paperid\":null,\"PeriodicalName\":\"Geriatrics\",\"FirstCategoryId\":\"1085\",\"ListUrlMain\":\"https://doi.org/10.3390/geriatrics10030078\",\"RegionNum\":0,\"RegionCategory\":null,\"ArticlePicture\":[],\"TitleCN\":null,\"AbstractTextCN\":null,\"PMCID\":null,\"EPubDate\":\"\",\"PubModel\":\"\",\"JCR\":\"Q3\",\"JCRName\":\"GERIATRICS & GERONTOLOGY\",\"Score\":null,\"Total\":0}","platform":"Semanticscholar","paperid":null,"PeriodicalName":"Geriatrics","FirstCategoryId":"1085","ListUrlMain":"https://doi.org/10.3390/geriatrics10030078","RegionNum":0,"RegionCategory":null,"ArticlePicture":[],"TitleCN":null,"AbstractTextCN":null,"PMCID":null,"EPubDate":"","PubModel":"","JCR":"Q3","JCRName":"GERIATRICS & GERONTOLOGY","Score":null,"Total":0}
引用次数: 0

摘要

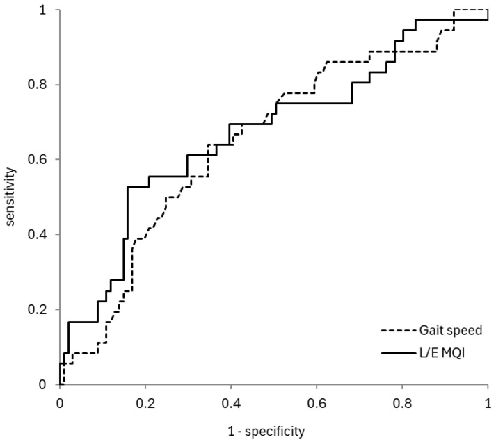
背景:老年人跌倒是健康长寿的主要障碍。最近的研究表明,肌肉质量与跌倒风险有关。本研究旨在确定使用5次重复坐立测试(5R-STS)的功能性肌肉质量指数(MQI)是否反映社区居住老年人的跌倒风险。方法:这项横断面研究包括137名日本社区居住的老年人(≥65岁)。采用BIA法测量下肢骨骼肌质量(SMM),采用5R-STS法评估肌肉功能。MQI计算为“(5R-STS (s)/SMM (kg)) × 10”。采用自填问卷收集跌倒史,并进行包括步态速度和身体虚弱程度在内的二元logistic回归分析。结果:参与者被分为两组(n = 36;年龄= 78.2±5.6)和非跌倒者(n = 101;年龄= 76.9±5.3)。步态速度(p = 0.01)、TUG (p < 0.01)、5R-STS (p < 0.01)、MQI (p < 0.01)组间差异均有统计学意义。二元逻辑回归识别出MQI (OR = 1.28;p < 0.01)、步态速度(OR = 0.14;P = 0.02)作为秋季史的解释变量。采用受试者工作特征(ROC)曲线评价结果显示,MQI区分跌倒史的截止值为8.04 s/kg,步态速度的截止值为1.21 s。结论:使用5R-STS的MQI显示了作为老年人跌倒风险指标的希望。需要进一步的纵向研究来阐明因果关系。
本文章由计算机程序翻译,如有差异,请以英文原文为准。

Association Between Muscle Quality Assessed by the 5-Repetition Sit-to-Stand Test and Falls in Community-Dwelling Older Adults in Japan: A Cross-Sectional Study.

Association Between Muscle Quality Assessed by the 5-Repetition Sit-to-Stand Test and Falls in Community-Dwelling Older Adults in Japan: A Cross-Sectional Study.

Association Between Muscle Quality Assessed by the 5-Repetition Sit-to-Stand Test and Falls in Community-Dwelling Older Adults in Japan: A Cross-Sectional Study.

Background: Falls in older adults are a major barrier to healthy longevity. Recent studies suggest that muscle quality is associated with fall risk. This study aimed to determine whether a functional muscle quality index (MQI) using the 5-repetition sit-to-stand test (5R-STS) reflects fall risk in community-dwelling older adults. Methods: This cross-sectional study included 137 community-dwelling older adults (≥65 years) in Japan. Lower limb skeletal muscle mass (SMM) was measured using the BIA method, and muscle function was assessed using the 5R-STS. The MQI was calculated as "(5R-STS (s)/SMM (kg)) × 10". Fall history was collected using a self-administered questionnaire, and binary logistic regression analysis including gait speed and physical frailty was performed. Results: Participants were divided into fallers (n = 36; age = 78.2 ± 5.6) and non-fallers (n = 101; age = 76.9 ± 5.3). Significant differences were found between the groups in gait speed (p = 0.01), TUG (p < 0.01), 5R-STS (p < 0.01), and MQI (p < 0.01). Binary logistic regression identified MQI (OR = 1.28; p < 0.01) and gait speed (OR = 0.14; p = 0.02) as explanatory variables for fall history. The results of the evaluation using the receiver operating characteristic (ROC) curve showed that the cutoff value for MQI to distinguish fall history was 8.04 s/kg, and the cutoff value for gait speed was 1.21 s. Conclusions: The MQI using the 5R-STS shows promise as an indicator of fall risk in older adults. Further longitudinal studies are needed to clarify the causal relationship.

求助全文
通过发布文献求助,成功后即可免费获取论文全文。 去求助
来源期刊
Geriatrics
Geriatrics 医学-老年医学
CiteScore
3.30
自引率
0.00%
发文量
115
审稿时长
20.03 days
期刊介绍: • Geriatric biology • Geriatric health services research • Geriatric medicine research • Geriatric neurology, stroke, cognition and oncology • Geriatric surgery • Geriatric physical functioning, physical health and activity • Geriatric psychiatry and psychology • Geriatric nutrition • Geriatric epidemiology • Geriatric rehabilitation
×
引用
GB/T 7714-2015
复制
MLA
复制
APA
复制
导出至
BibTeX EndNote RefMan NoteFirst NoteExpress
×
提示
您的信息不完整,为了账户安全,请先补充。
现在去补充
×
提示
您因"违规操作"
具体请查看互助需知
我知道了
×
提示
确定
请完成安全验证×
copy
已复制链接
快去分享给好友吧!
我知道了
右上角分享
点击右上角分享
0
联系我们:info@booksci.cn Book学术提供免费学术资源搜索服务,方便国内外学者检索中英文文献。致力于提供最便捷和优质的服务体验。 Copyright © 2023 布克学术 All rights reserved.
京ICP备2023020795号-1
ghs 京公网安备 11010802042870号
Book学术文献互助
Book学术文献互助群
群 号:604180095
Book学术官方微信