目的:阻塞性睡眠呼吸暂停患者口腔器械治疗依从性:一项为期一年的纵向分析。

IF 2.7 3区 医学 Q1 DENTISTRY, ORAL SURGERY & MEDICINE
Yanlong Chen, Benjamin T Pliska, Bingshuang Zou, Fernanda R Almeida
{"title":"目的:阻塞性睡眠呼吸暂停患者口腔器械治疗依从性:一项为期一年的纵向分析。","authors":"Yanlong Chen, Benjamin T Pliska, Bingshuang Zou, Fernanda R Almeida","doi":"10.1093/ejo/cjaf037","DOIUrl":null,"url":null,"abstract":"<p><strong>Introduction: </strong>Oral appliance (OA) therapy is widely used as an alternative to continuous positive airway pressure (CPAP) therapy for treating obstructive sleep apnea (OSA). Traditionally, OA adherence has been assessed through subjective self-reports before, but the availability of objective adherence sensors now allows for more accurate monitoring. This study aimed to analyze one-year objective adherence data to identify adherence patterns over time and factors influencing adherence to OA therapy.</p><p><strong>Materials and methods: </strong>Fifty-five OSA patients were recruited from a cohort study and underwent clinical follow-ups at baseline, 1, 6 and 12 months. Patients were treated with custom-made, titratable OAs, and adherence was objectively collected using embedded sensors. Adherence data were analyzed using both intention-to-treat (ITT) and per-protocol (PP) approaches. Statistical methods, including comparative analyses, logistic regression models, and multivariate linear regression were performed to identify predictors of adherence.</p><p><strong>Results: </strong>Twenty-one patients dropped out before the 12-month follow-up, leaving 34 completed the entire study. At the 1-month follow-up, 80.0% of patients were classified as adherent, with a mean wearing time of 5.98 ± 2.38 hours per night. By 6 months, adherence decreased to 67.3%, with a mean wearing time of 5.69 ± 2.08 hours per night. Several significant predictors of adherence were identified, including larger baseline overjet, younger age, and marital status.</p><p><strong>Conclusions: </strong>OA adherence declined significantly within the first 6 months but stabilized between 6 and 12 months. Key baseline factors, such as larger overjet, younger age, and being married or partnered are predictors of better adherence, while psychological Comorbidities are associated with lower adherence.</p>","PeriodicalId":11989,"journal":{"name":"European journal of orthodontics","volume":"47 4","pages":""},"PeriodicalIF":2.7000,"publicationDate":"2025-06-12","publicationTypes":"Journal Article","fieldsOfStudy":null,"isOpenAccess":false,"openAccessPdf":"https://www.ncbi.nlm.nih.gov/pmc/articles/PMC12187995/pdf/","citationCount":"0","resultStr":"{\"title\":\"Objective adherence to oral appliance therapy in patients with obstructive sleep apnea: a one-year longitudinal analysis.\",\"authors\":\"Yanlong Chen, Benjamin T Pliska, Bingshuang Zou, Fernanda R Almeida\",\"doi\":\"10.1093/ejo/cjaf037\",\"DOIUrl\":null,\"url\":null,\"abstract\":\"<p><strong>Introduction: </strong>Oral appliance (OA) therapy is widely used as an alternative to continuous positive airway pressure (CPAP) therapy for treating obstructive sleep apnea (OSA). Traditionally, OA adherence has been assessed through subjective self-reports before, but the availability of objective adherence sensors now allows for more accurate monitoring. This study aimed to analyze one-year objective adherence data to identify adherence patterns over time and factors influencing adherence to OA therapy.</p><p><strong>Materials and methods: </strong>Fifty-five OSA patients were recruited from a cohort study and underwent clinical follow-ups at baseline, 1, 6 and 12 months. Patients were treated with custom-made, titratable OAs, and adherence was objectively collected using embedded sensors. Adherence data were analyzed using both intention-to-treat (ITT) and per-protocol (PP) approaches. Statistical methods, including comparative analyses, logistic regression models, and multivariate linear regression were performed to identify predictors of adherence.</p><p><strong>Results: </strong>Twenty-one patients dropped out before the 12-month follow-up, leaving 34 completed the entire study. At the 1-month follow-up, 80.0% of patients were classified as adherent, with a mean wearing time of 5.98 ± 2.38 hours per night. By 6 months, adherence decreased to 67.3%, with a mean wearing time of 5.69 ± 2.08 hours per night. Several significant predictors of adherence were identified, including larger baseline overjet, younger age, and marital status.</p><p><strong>Conclusions: </strong>OA adherence declined significantly within the first 6 months but stabilized between 6 and 12 months. Key baseline factors, such as larger overjet, younger age, and being married or partnered are predictors of better adherence, while psychological Comorbidities are associated with lower adherence.</p>\",\"PeriodicalId\":11989,\"journal\":{\"name\":\"European journal of orthodontics\",\"volume\":\"47 4\",\"pages\":\"\"},\"PeriodicalIF\":2.7000,\"publicationDate\":\"2025-06-12\",\"publicationTypes\":\"Journal Article\",\"fieldsOfStudy\":null,\"isOpenAccess\":false,\"openAccessPdf\":\"https://www.ncbi.nlm.nih.gov/pmc/articles/PMC12187995/pdf/\",\"citationCount\":\"0\",\"resultStr\":null,\"platform\":\"Semanticscholar\",\"paperid\":null,\"PeriodicalName\":\"European journal of orthodontics\",\"FirstCategoryId\":\"3\",\"ListUrlMain\":\"https://doi.org/10.1093/ejo/cjaf037\",\"RegionNum\":3,\"RegionCategory\":\"医学\",\"ArticlePicture\":[],\"TitleCN\":null,\"AbstractTextCN\":null,\"PMCID\":null,\"EPubDate\":\"\",\"PubModel\":\"\",\"JCR\":\"Q1\",\"JCRName\":\"DENTISTRY, ORAL SURGERY & MEDICINE\",\"Score\":null,\"Total\":0}","platform":"Semanticscholar","paperid":null,"PeriodicalName":"European journal of orthodontics","FirstCategoryId":"3","ListUrlMain":"https://doi.org/10.1093/ejo/cjaf037","RegionNum":3,"RegionCategory":"医学","ArticlePicture":[],"TitleCN":null,"AbstractTextCN":null,"PMCID":null,"EPubDate":"","PubModel":"","JCR":"Q1","JCRName":"DENTISTRY, ORAL SURGERY & MEDICINE","Score":null,"Total":0}
引用次数: 0

摘要

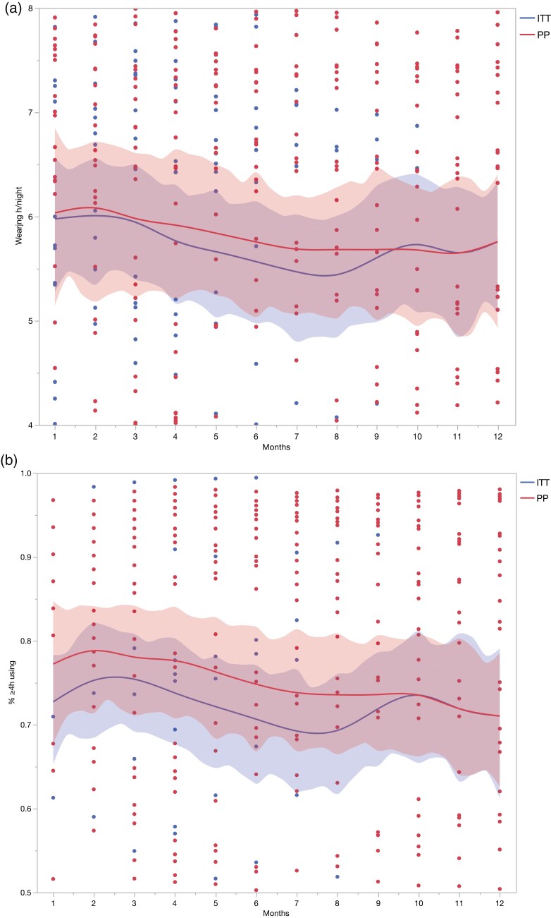
口腔器械(OA)治疗被广泛用于替代持续气道正压(CPAP)治疗阻塞性睡眠呼吸暂停(OSA)。传统上,OA依从性是通过主观自我报告来评估的,但现在有了客观依从性传感器,可以进行更准确的监测。本研究旨在分析一年的客观依从性数据,以确定随时间的依从性模式和影响OA治疗依从性的因素。材料和方法:从队列研究中招募55名OSA患者,分别在基线、1个月、6个月和12个月进行临床随访。患者接受定制的、可滴定的oa治疗,并使用嵌入式传感器客观地收集依从性。依从性数据采用意向治疗(ITT)和每个方案(PP)方法进行分析。统计方法包括比较分析、逻辑回归模型和多元线性回归来确定依从性的预测因素。结果:21例患者在12个月的随访前退出,34例患者完成了整个研究。随访1个月时,80.0%的患者被分类为黏贴,平均每晚佩戴时间为5.98±2.38小时。6个月后,依从性下降到67.3%,平均每晚佩戴时间为5.69±2.08小时。确定了几个重要的依从性预测因素,包括较大的基线覆盖、年龄较小和婚姻状况。结论:OA依从性在前6个月内显著下降,但在6至12个月内稳定。关键的基线因素,如更大的覆盖、更年轻、已婚或有伴侣是更好的依从性的预测因素,而心理合并症与较低的依从性有关。
本文章由计算机程序翻译,如有差异,请以英文原文为准。

Objective adherence to oral appliance therapy in patients with obstructive sleep apnea: a one-year longitudinal analysis.

Objective adherence to oral appliance therapy in patients with obstructive sleep apnea: a one-year longitudinal analysis.

Objective adherence to oral appliance therapy in patients with obstructive sleep apnea: a one-year longitudinal analysis.

Introduction: Oral appliance (OA) therapy is widely used as an alternative to continuous positive airway pressure (CPAP) therapy for treating obstructive sleep apnea (OSA). Traditionally, OA adherence has been assessed through subjective self-reports before, but the availability of objective adherence sensors now allows for more accurate monitoring. This study aimed to analyze one-year objective adherence data to identify adherence patterns over time and factors influencing adherence to OA therapy.

Materials and methods: Fifty-five OSA patients were recruited from a cohort study and underwent clinical follow-ups at baseline, 1, 6 and 12 months. Patients were treated with custom-made, titratable OAs, and adherence was objectively collected using embedded sensors. Adherence data were analyzed using both intention-to-treat (ITT) and per-protocol (PP) approaches. Statistical methods, including comparative analyses, logistic regression models, and multivariate linear regression were performed to identify predictors of adherence.

Results: Twenty-one patients dropped out before the 12-month follow-up, leaving 34 completed the entire study. At the 1-month follow-up, 80.0% of patients were classified as adherent, with a mean wearing time of 5.98 ± 2.38 hours per night. By 6 months, adherence decreased to 67.3%, with a mean wearing time of 5.69 ± 2.08 hours per night. Several significant predictors of adherence were identified, including larger baseline overjet, younger age, and marital status.

Conclusions: OA adherence declined significantly within the first 6 months but stabilized between 6 and 12 months. Key baseline factors, such as larger overjet, younger age, and being married or partnered are predictors of better adherence, while psychological Comorbidities are associated with lower adherence.

求助全文
通过发布文献求助,成功后即可免费获取论文全文。 去求助
来源期刊
European journal of orthodontics
European journal of orthodontics 医学-牙科与口腔外科
CiteScore
5.50
自引率
7.70%
发文量
71
审稿时长
4-8 weeks
期刊介绍: The European Journal of Orthodontics publishes papers of excellence on all aspects of orthodontics including craniofacial development and growth. The emphasis of the journal is on full research papers. Succinct and carefully prepared papers are favoured in terms of impact as well as readability.
×
引用
GB/T 7714-2015
复制
MLA
复制
APA
复制
导出至
BibTeX EndNote RefMan NoteFirst NoteExpress
×
提示
您的信息不完整,为了账户安全,请先补充。
现在去补充
×
提示
您因"违规操作"
具体请查看互助需知
我知道了
×
提示
确定
请完成安全验证×
copy
已复制链接
快去分享给好友吧!
我知道了
右上角分享
点击右上角分享
0
联系我们:info@booksci.cn Book学术提供免费学术资源搜索服务,方便国内外学者检索中英文文献。致力于提供最便捷和优质的服务体验。 Copyright © 2023 布克学术 All rights reserved.
京ICP备2023020795号-1
ghs 京公网安备 11010802042870号
Book学术文献互助
Book学术文献互助群
群 号:604180095
Book学术官方微信