拉丁裔/西班牙裔黑色素瘤和阴性淋巴结患者的转移模式和预后因素

IF 1.3 Q4 ONCOLOGY
ecancermedicalscience Pub Date : 2025-05-13 eCollection Date: 2025-01-01 DOI:10.3332/ecancer.2025.1905
Jessica J Farzan, Jiddu Guart, Gabriel De la Cruz Ku, Nichita Kulkarni, Rachel Huselid, Anshumi Desai, Camila Franco, Vanessa Mroueh, Jessica Mroueh, Gonzalo Ziegler
{"title":"拉丁裔/西班牙裔黑色素瘤和阴性淋巴结患者的转移模式和预后因素","authors":"Jessica J Farzan, Jiddu Guart, Gabriel De la Cruz Ku, Nichita Kulkarni, Rachel Huselid, Anshumi Desai, Camila Franco, Vanessa Mroueh, Jessica Mroueh, Gonzalo Ziegler","doi":"10.3332/ecancer.2025.1905","DOIUrl":null,"url":null,"abstract":"<p><strong>Introduction: </strong>Malignant melanoma presents with diverse clinical and histological manifestations that vary per population. Lymph node status, assessed through sentinel lymph node biopsy, is a widely accepted standard of care and a key prognostic indicator. This study aims to identify clinical outcomes, clinicopathologic factors, recurrence patterns, metastatic spread patterns and risk factors associated with lymph node-negative melanoma in our Latino/Hispanic patient population.</p><p><strong>Methods: </strong>We included patients diagnosed with lymph node-negative melanoma at the Instituto Nacional de Enfermedades Neoplásicas, Lima, Peru, from 2010 to 2019. Cox regression analysis was used to assess prognostic factors.</p><p><strong>Results: </strong>The study included 249 patients with lymph node-negative melanoma, with a median follow-up time of 25 months. Recurrence was observed in 27% of patients, with a mean age of 65 years compared to 60 years in the non-recurrent group. With a median follow-up of 35 months, the 3-year recurrence-free survival (RFS) rates and overall survival (OS) were 75% and 94%, respectively. The 3-year OS rate was 97% and 88% for non-recurrent and recurrent patients, respectively (<i>p</i> = 0.002). The predictors of RFS were Breslow index (hazard ratio (HR) = 1.098, 95%CI: 1.051-1.146, <i>p</i> < 0.001) and number of mitoses per mm<sup>2</sup> (HR = 2.105, 95%CI: 1.150-3.852, <i>p</i> = 0.016). Age was the only predictor for lymph node recurrence (HR = 1.053, 95%CI: 1.010-1.098, <i>p</i> = 0.016), and Breslow index for distant metastasis (HR = 1.126, 95%CI:1.059-1.196, <i>p</i> < 0.001). Breslow index was the only prognostic factor for OS (HR = 1.090, 95%CI:1.034-1.150, <i>p</i> = 0.001).</p><p><strong>Conclusion: </strong>The Latino/Hispanic population has unique characteristics and prognostic factors for oncologic outcomes. Increased Breslow depth and number of mitoses per mm<sup>2</sup> were significant predictors of recurrence in lymph node-negative melanoma. There is a need for personalised risk assessment and management strategies in this population in terms of surveillance and adjuvant therapies. Further molecular and genetic predictors and markers of recurrence need to be investigated.</p>","PeriodicalId":11460,"journal":{"name":"ecancermedicalscience","volume":"19 ","pages":"1905"},"PeriodicalIF":1.3000,"publicationDate":"2025-05-13","publicationTypes":"Journal Article","fieldsOfStudy":null,"isOpenAccess":false,"openAccessPdf":"https://www.ncbi.nlm.nih.gov/pmc/articles/PMC12185877/pdf/","citationCount":"0","resultStr":"{\"title\":\"Patterns and prognostic factors of metastasis in Latino/Hispanic patients with melanoma and negative lymph nodes.\",\"authors\":\"Jessica J Farzan, Jiddu Guart, Gabriel De la Cruz Ku, Nichita Kulkarni, Rachel Huselid, Anshumi Desai, Camila Franco, Vanessa Mroueh, Jessica Mroueh, Gonzalo Ziegler\",\"doi\":\"10.3332/ecancer.2025.1905\",\"DOIUrl\":null,\"url\":null,\"abstract\":\"<p><strong>Introduction: </strong>Malignant melanoma presents with diverse clinical and histological manifestations that vary per population. Lymph node status, assessed through sentinel lymph node biopsy, is a widely accepted standard of care and a key prognostic indicator. This study aims to identify clinical outcomes, clinicopathologic factors, recurrence patterns, metastatic spread patterns and risk factors associated with lymph node-negative melanoma in our Latino/Hispanic patient population.</p><p><strong>Methods: </strong>We included patients diagnosed with lymph node-negative melanoma at the Instituto Nacional de Enfermedades Neoplásicas, Lima, Peru, from 2010 to 2019. Cox regression analysis was used to assess prognostic factors.</p><p><strong>Results: </strong>The study included 249 patients with lymph node-negative melanoma, with a median follow-up time of 25 months. Recurrence was observed in 27% of patients, with a mean age of 65 years compared to 60 years in the non-recurrent group. With a median follow-up of 35 months, the 3-year recurrence-free survival (RFS) rates and overall survival (OS) were 75% and 94%, respectively. The 3-year OS rate was 97% and 88% for non-recurrent and recurrent patients, respectively (<i>p</i> = 0.002). The predictors of RFS were Breslow index (hazard ratio (HR) = 1.098, 95%CI: 1.051-1.146, <i>p</i> < 0.001) and number of mitoses per mm<sup>2</sup> (HR = 2.105, 95%CI: 1.150-3.852, <i>p</i> = 0.016). Age was the only predictor for lymph node recurrence (HR = 1.053, 95%CI: 1.010-1.098, <i>p</i> = 0.016), and Breslow index for distant metastasis (HR = 1.126, 95%CI:1.059-1.196, <i>p</i> < 0.001). Breslow index was the only prognostic factor for OS (HR = 1.090, 95%CI:1.034-1.150, <i>p</i> = 0.001).</p><p><strong>Conclusion: </strong>The Latino/Hispanic population has unique characteristics and prognostic factors for oncologic outcomes. Increased Breslow depth and number of mitoses per mm<sup>2</sup> were significant predictors of recurrence in lymph node-negative melanoma. There is a need for personalised risk assessment and management strategies in this population in terms of surveillance and adjuvant therapies. Further molecular and genetic predictors and markers of recurrence need to be investigated.</p>\",\"PeriodicalId\":11460,\"journal\":{\"name\":\"ecancermedicalscience\",\"volume\":\"19 \",\"pages\":\"1905\"},\"PeriodicalIF\":1.3000,\"publicationDate\":\"2025-05-13\",\"publicationTypes\":\"Journal Article\",\"fieldsOfStudy\":null,\"isOpenAccess\":false,\"openAccessPdf\":\"https://www.ncbi.nlm.nih.gov/pmc/articles/PMC12185877/pdf/\",\"citationCount\":\"0\",\"resultStr\":null,\"platform\":\"Semanticscholar\",\"paperid\":null,\"PeriodicalName\":\"ecancermedicalscience\",\"FirstCategoryId\":\"1085\",\"ListUrlMain\":\"https://doi.org/10.3332/ecancer.2025.1905\",\"RegionNum\":0,\"RegionCategory\":null,\"ArticlePicture\":[],\"TitleCN\":null,\"AbstractTextCN\":null,\"PMCID\":null,\"EPubDate\":\"2025/1/1 0:00:00\",\"PubModel\":\"eCollection\",\"JCR\":\"Q4\",\"JCRName\":\"ONCOLOGY\",\"Score\":null,\"Total\":0}","platform":"Semanticscholar","paperid":null,"PeriodicalName":"ecancermedicalscience","FirstCategoryId":"1085","ListUrlMain":"https://doi.org/10.3332/ecancer.2025.1905","RegionNum":0,"RegionCategory":null,"ArticlePicture":[],"TitleCN":null,"AbstractTextCN":null,"PMCID":null,"EPubDate":"2025/1/1 0:00:00","PubModel":"eCollection","JCR":"Q4","JCRName":"ONCOLOGY","Score":null,"Total":0}
引用次数: 0

摘要

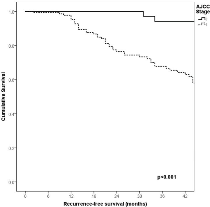
恶性黑色素瘤表现为不同人群的不同临床和组织学表现。通过前哨淋巴结活检评估淋巴结状态,是一种被广泛接受的护理标准和关键的预后指标。本研究旨在确定拉丁裔/西班牙裔患者群体中淋巴结阴性黑色素瘤的临床结果、临床病理因素、复发模式、转移性扩散模式和危险因素。方法:我们纳入2010年至2019年在秘鲁利马国立Enfermedades研究所Neoplásicas诊断为淋巴结阴性黑色素瘤的患者。采用Cox回归分析评估预后因素。结果:该研究纳入249例淋巴结阴性黑色素瘤患者,中位随访时间为25个月。27%的患者复发,平均年龄为65岁,而非复发组的平均年龄为60岁。中位随访时间为35个月,3年无复发生存率(RFS)和总生存率(OS)分别为75%和94%。非复发和复发患者的3年OS率分别为97%和88% (p = 0.002)。RFS的预测因子为brreslow指数(HR = 1.098, 95%CI: 1.051 ~ 1.146, p < 0.001)和每mm2有丝分裂数(HR = 2.105, 95%CI: 1.150 ~ 3.852, p = 0.016)。年龄是淋巴结复发的唯一预测因子(HR = 1.053, 95%CI: 1.010 ~ 1.098, p = 0.016), Breslow指数是远处转移的唯一预测因子(HR = 1.126, 95%CI:1.059 ~ 1.196, p < 0.001)。Breslow指数是OS的唯一预后因素(HR = 1.090, 95%CI:1.034 ~ 1.150, p = 0.001)。结论:拉丁美洲/西班牙裔人群在肿瘤预后方面具有独特的特点和预后因素。增加的Breslow深度和每平方毫米有丝分裂数是淋巴结阴性黑色素瘤复发的重要预测因子。在监测和辅助治疗方面,需要对这一人群进行个性化的风险评估和管理策略。需要进一步研究复发的分子和遗传预测因素和标志物。
本文章由计算机程序翻译,如有差异,请以英文原文为准。

Patterns and prognostic factors of metastasis in Latino/Hispanic patients with melanoma and negative lymph nodes.

Patterns and prognostic factors of metastasis in Latino/Hispanic patients with melanoma and negative lymph nodes.

Patterns and prognostic factors of metastasis in Latino/Hispanic patients with melanoma and negative lymph nodes.

Patterns and prognostic factors of metastasis in Latino/Hispanic patients with melanoma and negative lymph nodes.

Introduction: Malignant melanoma presents with diverse clinical and histological manifestations that vary per population. Lymph node status, assessed through sentinel lymph node biopsy, is a widely accepted standard of care and a key prognostic indicator. This study aims to identify clinical outcomes, clinicopathologic factors, recurrence patterns, metastatic spread patterns and risk factors associated with lymph node-negative melanoma in our Latino/Hispanic patient population.

Methods: We included patients diagnosed with lymph node-negative melanoma at the Instituto Nacional de Enfermedades Neoplásicas, Lima, Peru, from 2010 to 2019. Cox regression analysis was used to assess prognostic factors.

Results: The study included 249 patients with lymph node-negative melanoma, with a median follow-up time of 25 months. Recurrence was observed in 27% of patients, with a mean age of 65 years compared to 60 years in the non-recurrent group. With a median follow-up of 35 months, the 3-year recurrence-free survival (RFS) rates and overall survival (OS) were 75% and 94%, respectively. The 3-year OS rate was 97% and 88% for non-recurrent and recurrent patients, respectively (p = 0.002). The predictors of RFS were Breslow index (hazard ratio (HR) = 1.098, 95%CI: 1.051-1.146, p < 0.001) and number of mitoses per mm2 (HR = 2.105, 95%CI: 1.150-3.852, p = 0.016). Age was the only predictor for lymph node recurrence (HR = 1.053, 95%CI: 1.010-1.098, p = 0.016), and Breslow index for distant metastasis (HR = 1.126, 95%CI:1.059-1.196, p < 0.001). Breslow index was the only prognostic factor for OS (HR = 1.090, 95%CI:1.034-1.150, p = 0.001).

Conclusion: The Latino/Hispanic population has unique characteristics and prognostic factors for oncologic outcomes. Increased Breslow depth and number of mitoses per mm2 were significant predictors of recurrence in lymph node-negative melanoma. There is a need for personalised risk assessment and management strategies in this population in terms of surveillance and adjuvant therapies. Further molecular and genetic predictors and markers of recurrence need to be investigated.

求助全文
通过发布文献求助,成功后即可免费获取论文全文。 去求助
来源期刊
CiteScore
3.80
自引率
5.60%
发文量
138
审稿时长
27 weeks
×
引用
GB/T 7714-2015
复制
MLA
复制
APA
复制
导出至
BibTeX EndNote RefMan NoteFirst NoteExpress
×
提示
您的信息不完整,为了账户安全,请先补充。
现在去补充
×
提示
您因"违规操作"
具体请查看互助需知
我知道了
×
提示
确定
请完成安全验证×
copy
已复制链接
快去分享给好友吧!
我知道了
右上角分享
点击右上角分享
0
联系我们:info@booksci.cn Book学术提供免费学术资源搜索服务,方便国内外学者检索中英文文献。致力于提供最便捷和优质的服务体验。 Copyright © 2023 布克学术 All rights reserved.
京ICP备2023020795号-1
ghs 京公网安备 11010802042870号
Book学术文献互助
Book学术文献互助群
群 号:604180095
Book学术官方微信