基于数据和模型驱动的YBa2Cu3O7超导薄膜工艺特性集成建模

Tomoya Horide, Shin Okumura, Shunta Ito, Yutaka Yoshida
{"title":"基于数据和模型驱动的YBa2Cu3O7超导薄膜工艺特性集成建模","authors":"Tomoya Horide, Shin Okumura, Shunta Ito, Yutaka Yoshida","doi":"10.1038/s44172-025-00434-1","DOIUrl":null,"url":null,"abstract":"<p><p>Process engineering of materials determines not only materials properties, but also cost, yield and production capacity. Although process design is generally based on the experience of process engineers, mathematical/data-science modeling is a key challenge for future process optimization. Here we create new opportunities for process optimization in YBa<sub>2</sub>Cu<sub>3</sub>O<sub>7</sub> film fabrication through data/model-driven process design. We show integrated modelling of substrate temperature and critical current density in YBa<sub>2</sub>Cu<sub>3</sub>O<sub>7</sub> films. Gaussian process regression augmented by transfer learning and physics knowledge was constructed from a small amount of data to show substrate temperature dependence of critical current density. Non-numerical factors such as chamber design and substrate material were included in the transfer learning, and physics-aided techniques extended the model to different magnetic fields. Magnetic field dependence of critical current density was successfully predicted for a given substrate temperature for a five-sample series deposited using different pulsed laser deposition systems. Our integrated process and property modelling strategy enables data/model-driven process design for YBa<sub>2</sub>Cu<sub>3</sub>O<sub>7</sub> film fabrication for coated conductor applications.</p>","PeriodicalId":72644,"journal":{"name":"Communications engineering","volume":"4 1","pages":"114"},"PeriodicalIF":0.0000,"publicationDate":"2025-06-23","publicationTypes":"Journal Article","fieldsOfStudy":null,"isOpenAccess":false,"openAccessPdf":"https://www.ncbi.nlm.nih.gov/pmc/articles/PMC12185723/pdf/","citationCount":"0","resultStr":"{\"title\":\"Integrated process-property modeling of YBa<sub>2</sub>Cu<sub>3</sub>O<sub>7</sub> superconducting film for data and model driven process design.\",\"authors\":\"Tomoya Horide, Shin Okumura, Shunta Ito, Yutaka Yoshida\",\"doi\":\"10.1038/s44172-025-00434-1\",\"DOIUrl\":null,\"url\":null,\"abstract\":\"<p><p>Process engineering of materials determines not only materials properties, but also cost, yield and production capacity. Although process design is generally based on the experience of process engineers, mathematical/data-science modeling is a key challenge for future process optimization. Here we create new opportunities for process optimization in YBa<sub>2</sub>Cu<sub>3</sub>O<sub>7</sub> film fabrication through data/model-driven process design. We show integrated modelling of substrate temperature and critical current density in YBa<sub>2</sub>Cu<sub>3</sub>O<sub>7</sub> films. Gaussian process regression augmented by transfer learning and physics knowledge was constructed from a small amount of data to show substrate temperature dependence of critical current density. Non-numerical factors such as chamber design and substrate material were included in the transfer learning, and physics-aided techniques extended the model to different magnetic fields. Magnetic field dependence of critical current density was successfully predicted for a given substrate temperature for a five-sample series deposited using different pulsed laser deposition systems. Our integrated process and property modelling strategy enables data/model-driven process design for YBa<sub>2</sub>Cu<sub>3</sub>O<sub>7</sub> film fabrication for coated conductor applications.</p>\",\"PeriodicalId\":72644,\"journal\":{\"name\":\"Communications engineering\",\"volume\":\"4 1\",\"pages\":\"114\"},\"PeriodicalIF\":0.0000,\"publicationDate\":\"2025-06-23\",\"publicationTypes\":\"Journal Article\",\"fieldsOfStudy\":null,\"isOpenAccess\":false,\"openAccessPdf\":\"https://www.ncbi.nlm.nih.gov/pmc/articles/PMC12185723/pdf/\",\"citationCount\":\"0\",\"resultStr\":null,\"platform\":\"Semanticscholar\",\"paperid\":null,\"PeriodicalName\":\"Communications engineering\",\"FirstCategoryId\":\"1085\",\"ListUrlMain\":\"https://doi.org/10.1038/s44172-025-00434-1\",\"RegionNum\":0,\"RegionCategory\":null,\"ArticlePicture\":[],\"TitleCN\":null,\"AbstractTextCN\":null,\"PMCID\":null,\"EPubDate\":\"\",\"PubModel\":\"\",\"JCR\":\"\",\"JCRName\":\"\",\"Score\":null,\"Total\":0}","platform":"Semanticscholar","paperid":null,"PeriodicalName":"Communications engineering","FirstCategoryId":"1085","ListUrlMain":"https://doi.org/10.1038/s44172-025-00434-1","RegionNum":0,"RegionCategory":null,"ArticlePicture":[],"TitleCN":null,"AbstractTextCN":null,"PMCID":null,"EPubDate":"","PubModel":"","JCR":"","JCRName":"","Score":null,"Total":0}
引用次数: 0

摘要

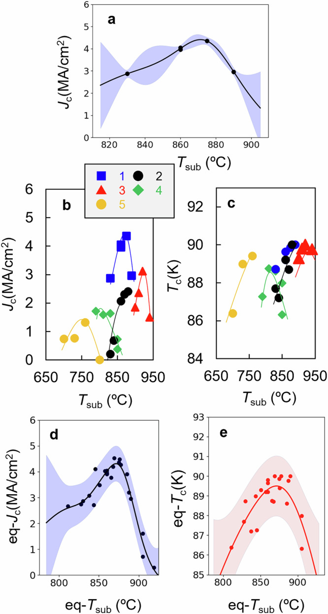
材料的工艺工程不仅决定材料的性能,而且决定成本、良率和生产能力。虽然工艺设计通常基于工艺工程师的经验,但数学/数据科学建模是未来工艺优化的关键挑战。在这里,我们通过数据/模型驱动的工艺设计为YBa2Cu3O7薄膜制造的工艺优化创造了新的机会。我们展示了YBa2Cu3O7薄膜中衬底温度和临界电流密度的集成模型。利用少量数据构建了迁移学习和物理知识增强的高斯过程回归模型,揭示了临界电流密度对衬底温度的依赖关系。在迁移学习中考虑了腔室设计和衬底材料等非数值因素,并利用物理辅助技术将模型扩展到不同的磁场。在给定的衬底温度下,成功地预测了用不同脉冲激光沉积系统沉积五样品系列的临界电流密度对磁场的依赖关系。我们的集成工艺和性能建模策略使数据/模型驱动的YBa2Cu3O7薄膜制造工艺设计适用于涂层导体应用。
本文章由计算机程序翻译,如有差异,请以英文原文为准。

Integrated process-property modeling of YBa<sub>2</sub>Cu<sub>3</sub>O<sub>7</sub> superconducting film for data and model driven process design.

Integrated process-property modeling of YBa<sub>2</sub>Cu<sub>3</sub>O<sub>7</sub> superconducting film for data and model driven process design.

Integrated process-property modeling of YBa<sub>2</sub>Cu<sub>3</sub>O<sub>7</sub> superconducting film for data and model driven process design.

Integrated process-property modeling of YBa2Cu3O7 superconducting film for data and model driven process design.

Process engineering of materials determines not only materials properties, but also cost, yield and production capacity. Although process design is generally based on the experience of process engineers, mathematical/data-science modeling is a key challenge for future process optimization. Here we create new opportunities for process optimization in YBa2Cu3O7 film fabrication through data/model-driven process design. We show integrated modelling of substrate temperature and critical current density in YBa2Cu3O7 films. Gaussian process regression augmented by transfer learning and physics knowledge was constructed from a small amount of data to show substrate temperature dependence of critical current density. Non-numerical factors such as chamber design and substrate material were included in the transfer learning, and physics-aided techniques extended the model to different magnetic fields. Magnetic field dependence of critical current density was successfully predicted for a given substrate temperature for a five-sample series deposited using different pulsed laser deposition systems. Our integrated process and property modelling strategy enables data/model-driven process design for YBa2Cu3O7 film fabrication for coated conductor applications.

求助全文
通过发布文献求助,成功后即可免费获取论文全文。 去求助
来源期刊
自引率
0.00%
发文量
0
×
引用
GB/T 7714-2015
复制
MLA
复制
APA
复制
导出至
BibTeX EndNote RefMan NoteFirst NoteExpress
×
提示
您的信息不完整,为了账户安全,请先补充。
现在去补充
×
提示
您因"违规操作"
具体请查看互助需知
我知道了
×
提示
确定
请完成安全验证×
copy
已复制链接
快去分享给好友吧!
我知道了
右上角分享
点击右上角分享
0
联系我们:info@booksci.cn Book学术提供免费学术资源搜索服务,方便国内外学者检索中英文文献。致力于提供最便捷和优质的服务体验。 Copyright © 2023 布克学术 All rights reserved.
京ICP备2023020795号-1
ghs 京公网安备 11010802042870号
Book学术文献互助
Book学术文献互助群
群 号:604180095
Book学术官方微信