子宫癌肉瘤患者进展后的总生存率:一项单中心回顾性队列研究

IF 1.9 Q2 OBSTETRICS & GYNECOLOGY
Obstetrics and Gynecology Science Pub Date : 2025-07-01 Epub Date: 2025-06-23 DOI:10.5468/ogs.24201
Rakchai Buhachat, Kanakarn Wangrangsimakul, Ekasak Thiangphak, Ingporn Jiamset
{"title":"子宫癌肉瘤患者进展后的总生存率:一项单中心回顾性队列研究","authors":"Rakchai Buhachat, Kanakarn Wangrangsimakul, Ekasak Thiangphak, Ingporn Jiamset","doi":"10.5468/ogs.24201","DOIUrl":null,"url":null,"abstract":"<p><strong>Objective: </strong>To investigate 2-year overall survival (OS) after progression in patients with uterine carcinosarcoma (UCS).</p><p><strong>Methods: </strong>This retrospective descriptive cohort study included patients diagnosed with progressive UCS at all stages, who underwent surgical staging with or without adjuvant therapy between January 2002 and December 2022. Clinicopathological characteristics, including recurrence patterns, were assessed using descriptive statistics, Fisher's exact test, and the chi-squared test. Prognostic factors and OS after progression were analyzed using the Cox proportional hazards model and Kaplan-Meier method, respectively.</p><p><strong>Results: </strong>Fifty-four patients (mean age, 61 years) were eligible for analysis. During primary treatment, 40 patients underwent optimal surgery, 44 received adjuvant chemotherapy with or without radiotherapy, and 43 developed progressive disease within the first 2 years (median progression-free interval: 10.5 months). Overall, 74.07% of patients developed distant or combined metastases. During salvage treatment, 22 patients received chemotherapy, 11 received a combination of chemotherapy and radiotherapy, and five underwent radiotherapy alone. The median follow-up period was 18 months, with a 2-year OS rate of 20% post-progression. Multivariate analysis revealed that leukocytosis at progression was associated with decreased survival (hazard ratio [HR], 5.98; 95% confidence interval [CI], 2.33-15.3; P<0.001). Notably, optimal primary surgery (HR, 0.31; 95% CI, 0.13-0.72; P=0.006) and chemoradiotherapy as salvage treatment (HR, 0.23; 95% CI, 0.08-0.7; P=0.009) significantly improved survival.</p><p><strong>Conclusion: </strong>Patients with progressive UCS have poor OS. Optimal surgery as primary treatment combined with salvage chemoradiotherapy improves post-progression survival. Leukocytosis during disease progression significantly affects survival outcomes.</p>","PeriodicalId":37602,"journal":{"name":"Obstetrics and Gynecology Science","volume":" ","pages":"283-292"},"PeriodicalIF":1.9000,"publicationDate":"2025-07-01","publicationTypes":"Journal Article","fieldsOfStudy":null,"isOpenAccess":false,"openAccessPdf":"https://www.ncbi.nlm.nih.gov/pmc/articles/PMC12301562/pdf/","citationCount":"0","resultStr":"{\"title\":\"Overall survival after progression in patients with uterine carcinosarcoma: a single-center retrospective cohort study.\",\"authors\":\"Rakchai Buhachat, Kanakarn Wangrangsimakul, Ekasak Thiangphak, Ingporn Jiamset\",\"doi\":\"10.5468/ogs.24201\",\"DOIUrl\":null,\"url\":null,\"abstract\":\"<p><strong>Objective: </strong>To investigate 2-year overall survival (OS) after progression in patients with uterine carcinosarcoma (UCS).</p><p><strong>Methods: </strong>This retrospective descriptive cohort study included patients diagnosed with progressive UCS at all stages, who underwent surgical staging with or without adjuvant therapy between January 2002 and December 2022. Clinicopathological characteristics, including recurrence patterns, were assessed using descriptive statistics, Fisher's exact test, and the chi-squared test. Prognostic factors and OS after progression were analyzed using the Cox proportional hazards model and Kaplan-Meier method, respectively.</p><p><strong>Results: </strong>Fifty-four patients (mean age, 61 years) were eligible for analysis. During primary treatment, 40 patients underwent optimal surgery, 44 received adjuvant chemotherapy with or without radiotherapy, and 43 developed progressive disease within the first 2 years (median progression-free interval: 10.5 months). Overall, 74.07% of patients developed distant or combined metastases. During salvage treatment, 22 patients received chemotherapy, 11 received a combination of chemotherapy and radiotherapy, and five underwent radiotherapy alone. The median follow-up period was 18 months, with a 2-year OS rate of 20% post-progression. Multivariate analysis revealed that leukocytosis at progression was associated with decreased survival (hazard ratio [HR], 5.98; 95% confidence interval [CI], 2.33-15.3; P<0.001). Notably, optimal primary surgery (HR, 0.31; 95% CI, 0.13-0.72; P=0.006) and chemoradiotherapy as salvage treatment (HR, 0.23; 95% CI, 0.08-0.7; P=0.009) significantly improved survival.</p><p><strong>Conclusion: </strong>Patients with progressive UCS have poor OS. Optimal surgery as primary treatment combined with salvage chemoradiotherapy improves post-progression survival. Leukocytosis during disease progression significantly affects survival outcomes.</p>\",\"PeriodicalId\":37602,\"journal\":{\"name\":\"Obstetrics and Gynecology Science\",\"volume\":\" \",\"pages\":\"283-292\"},\"PeriodicalIF\":1.9000,\"publicationDate\":\"2025-07-01\",\"publicationTypes\":\"Journal Article\",\"fieldsOfStudy\":null,\"isOpenAccess\":false,\"openAccessPdf\":\"https://www.ncbi.nlm.nih.gov/pmc/articles/PMC12301562/pdf/\",\"citationCount\":\"0\",\"resultStr\":null,\"platform\":\"Semanticscholar\",\"paperid\":null,\"PeriodicalName\":\"Obstetrics and Gynecology Science\",\"FirstCategoryId\":\"1085\",\"ListUrlMain\":\"https://doi.org/10.5468/ogs.24201\",\"RegionNum\":0,\"RegionCategory\":null,\"ArticlePicture\":[],\"TitleCN\":null,\"AbstractTextCN\":null,\"PMCID\":null,\"EPubDate\":\"2025/6/23 0:00:00\",\"PubModel\":\"Epub\",\"JCR\":\"Q2\",\"JCRName\":\"OBSTETRICS & GYNECOLOGY\",\"Score\":null,\"Total\":0}","platform":"Semanticscholar","paperid":null,"PeriodicalName":"Obstetrics and Gynecology Science","FirstCategoryId":"1085","ListUrlMain":"https://doi.org/10.5468/ogs.24201","RegionNum":0,"RegionCategory":null,"ArticlePicture":[],"TitleCN":null,"AbstractTextCN":null,"PMCID":null,"EPubDate":"2025/6/23 0:00:00","PubModel":"Epub","JCR":"Q2","JCRName":"OBSTETRICS & GYNECOLOGY","Score":null,"Total":0}
引用次数: 0

摘要

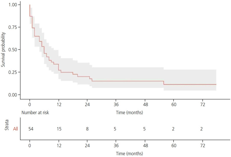
目的:探讨子宫癌肉瘤(UCS)患者进展后的2年总生存率(OS)。方法:这项回顾性描述性队列研究纳入了2002年1月至2022年12月期间诊断为进行性UCS的所有阶段的患者,这些患者接受了有或没有辅助治疗的手术分期。临床病理特征,包括复发模式,采用描述性统计、Fisher精确检验和卡方检验进行评估。分别采用Cox比例风险模型和Kaplan-Meier方法分析预后因素和进展后的OS。结果:54例患者(平均年龄61岁)符合分析条件。在初始治疗期间,40例患者接受了最佳手术,44例患者接受了辅助化疗(含或不含放疗),43例患者在前2年内病情进展(中位无进展间隔:10.5个月)。总体而言,74.07%的患者发生远处转移或合并转移。抢救治疗期间化疗22例,放化疗联合11例,单独放疗5例。中位随访期为18个月,进展后2年OS率为20%。多因素分析显示,进展期白细胞增多与生存率降低相关(危险比[HR], 5.98;95%置信区间[CI], 2.33-15.3;结论:进行性UCS患者的OS较差。最佳手术作为主要治疗结合补救性放化疗可改善进展后生存。白血病在疾病进展期间显著影响生存结果。
本文章由计算机程序翻译,如有差异,请以英文原文为准。

Overall survival after progression in patients with uterine carcinosarcoma: a single-center retrospective cohort study.

Overall survival after progression in patients with uterine carcinosarcoma: a single-center retrospective cohort study.

Objective: To investigate 2-year overall survival (OS) after progression in patients with uterine carcinosarcoma (UCS).

Methods: This retrospective descriptive cohort study included patients diagnosed with progressive UCS at all stages, who underwent surgical staging with or without adjuvant therapy between January 2002 and December 2022. Clinicopathological characteristics, including recurrence patterns, were assessed using descriptive statistics, Fisher's exact test, and the chi-squared test. Prognostic factors and OS after progression were analyzed using the Cox proportional hazards model and Kaplan-Meier method, respectively.

Results: Fifty-four patients (mean age, 61 years) were eligible for analysis. During primary treatment, 40 patients underwent optimal surgery, 44 received adjuvant chemotherapy with or without radiotherapy, and 43 developed progressive disease within the first 2 years (median progression-free interval: 10.5 months). Overall, 74.07% of patients developed distant or combined metastases. During salvage treatment, 22 patients received chemotherapy, 11 received a combination of chemotherapy and radiotherapy, and five underwent radiotherapy alone. The median follow-up period was 18 months, with a 2-year OS rate of 20% post-progression. Multivariate analysis revealed that leukocytosis at progression was associated with decreased survival (hazard ratio [HR], 5.98; 95% confidence interval [CI], 2.33-15.3; P<0.001). Notably, optimal primary surgery (HR, 0.31; 95% CI, 0.13-0.72; P=0.006) and chemoradiotherapy as salvage treatment (HR, 0.23; 95% CI, 0.08-0.7; P=0.009) significantly improved survival.

Conclusion: Patients with progressive UCS have poor OS. Optimal surgery as primary treatment combined with salvage chemoradiotherapy improves post-progression survival. Leukocytosis during disease progression significantly affects survival outcomes.

求助全文
通过发布文献求助,成功后即可免费获取论文全文。 去求助
来源期刊
Obstetrics and Gynecology Science
Obstetrics and Gynecology Science Medicine-Obstetrics and Gynecology
CiteScore
3.80
自引率
15.80%
发文量
58
审稿时长
16 weeks
期刊介绍: Obstetrics & Gynecology Science (NLM title: Obstet Gynecol Sci) is an international peer-review journal that published basic, translational, clinical research, and clinical practice guideline to promote women’s health and prevent obstetric and gynecologic disorders. The journal has an international editorial board and is published in English on the 15th day of every other month. Submitted manuscripts should not contain previously published material and should not be under consideration for publication elsewhere. The journal has been publishing articles since 1958. The aim of the journal is to publish original articles, reviews, case reports, short communications, letters to the editor, and video articles that have the potential to change the practices in women''s health care. The journal’s main focus is the diagnosis, treatment, prediction, and prevention of obstetric and gynecologic disorders. Because the life expectancy of Korean and Asian women is increasing, the journal''s editors are particularly interested in the health of elderly women in these population groups. The journal also publishes articles about reproductive biology, stem cell research, and artificial intelligence research for women; additionally, it provides insights into the physiology and mechanisms of obstetric and gynecologic diseases.
×
引用
GB/T 7714-2015
复制
MLA
复制
APA
复制
导出至
BibTeX EndNote RefMan NoteFirst NoteExpress
×
提示
您的信息不完整,为了账户安全,请先补充。
现在去补充
×
提示
您因"违规操作"
具体请查看互助需知
我知道了
×
提示
确定
请完成安全验证×
copy
已复制链接
快去分享给好友吧!
我知道了
右上角分享
点击右上角分享
0
联系我们:info@booksci.cn Book学术提供免费学术资源搜索服务,方便国内外学者检索中英文文献。致力于提供最便捷和优质的服务体验。 Copyright © 2023 布克学术 All rights reserved.
京ICP备2023020795号-1
ghs 京公网安备 11010802042870号
Book学术文献互助
Book学术文献互助群
群 号:604180095
Book学术官方微信