内镜下结肠侧移性肿瘤切除术:临床病理特征和治疗结果的危险因素。

IF 1.8 Q4 GASTROENTEROLOGY & HEPATOLOGY
Li-Hua Guo, Ke-Feng Hu, Min Miao, Yong Ding, Xin-Jun Zhang, Guo-Liang Ye
{"title":"内镜下结肠侧移性肿瘤切除术:临床病理特征和治疗结果的危险因素。","authors":"Li-Hua Guo, Ke-Feng Hu, Min Miao, Yong Ding, Xin-Jun Zhang, Guo-Liang Ye","doi":"10.4253/wjge.v17.i6.106412","DOIUrl":null,"url":null,"abstract":"<p><strong>Background: </strong>Colorectal laterally spreading tumors (LSTs) are best treated with endoscopic submucosal dissection or endoscopic mucosal resection.</p><p><strong>Aim: </strong>To analyze the clinicopathological and endoscopic profiles of colorectal LSTs, determine predictive factors for high-grade dysplasia (HGD)/carcinoma (CA), submucosal invasion, and complications.</p><p><strong>Methods: </strong>We retrospectively assessed the endoscopic and histological characteristics of 375 colorectal LSTs at our hospital between January 2016 and December 2023. We performed univariate and multivariate analysis to identify risk factors associated with HGD/CA, submucosal invasion and complications.</p><p><strong>Results: </strong>The numbers of granular (LST-G) and non-granular LST (LST-NG) were 260 and 115, respectively. The rates of low-grade dysplasia and HGD/CA were 60.3% and 39.7%, respectively. Multivariate analysis indicated that a tumor size ≥ 30 mm [odds ratio (OR) = 1.934, <i>P</i> = 0.032], LST granular nodular mixed type (OR = 2.100, <i>P</i> = 0.005), and LST non-granular pseudo depressed type (NG-PD) (OR = 3.016, <i>P</i> = 0.015) were independent risk factors significantly associated with higher odds of HGD/CA. NG-PD (OR = 6.506, <i>P</i> = 0.001), tumor size (20-29 mm) (OR = 2.631, <i>P</i> = 0.036) and tumor size ≥ 30 mm (OR = 3.449, <i>P</i> = 0.016) were associated with increased odds of submucosal invasion. Tumor size ≥ 30 mm (OR = 4.888, <i>P</i> = 0.003) was a particularly important predictor of complications. A nomogram model demonstrated a satisfactory fit, with an area under the receiver operating characteristic curve of 0.716 (95% confidence interval: 0.653-0.780), indicating strong predictive performance.</p><p><strong>Conclusion: </strong>The novel nomogram incorporating tumor size, location, and morphology predicted HGD/CA during endoscopic resection for LSTs. NG-PD lesions larger than 20 mm were more likely to invade the submucosa. Tumor size ≥ 30 mm was an important predictor of complications.</p>","PeriodicalId":23953,"journal":{"name":"World Journal of Gastrointestinal Endoscopy","volume":"17 6","pages":"106412"},"PeriodicalIF":1.8000,"publicationDate":"2025-06-16","publicationTypes":"Journal Article","fieldsOfStudy":null,"isOpenAccess":false,"openAccessPdf":"https://www.ncbi.nlm.nih.gov/pmc/articles/PMC12179953/pdf/","citationCount":"0","resultStr":"{\"title\":\"Endoscopic resection of colorectal laterally spreading tumors: Clinicopathologic characteristics and risk factors for treatment outcomes.\",\"authors\":\"Li-Hua Guo, Ke-Feng Hu, Min Miao, Yong Ding, Xin-Jun Zhang, Guo-Liang Ye\",\"doi\":\"10.4253/wjge.v17.i6.106412\",\"DOIUrl\":null,\"url\":null,\"abstract\":\"<p><strong>Background: </strong>Colorectal laterally spreading tumors (LSTs) are best treated with endoscopic submucosal dissection or endoscopic mucosal resection.</p><p><strong>Aim: </strong>To analyze the clinicopathological and endoscopic profiles of colorectal LSTs, determine predictive factors for high-grade dysplasia (HGD)/carcinoma (CA), submucosal invasion, and complications.</p><p><strong>Methods: </strong>We retrospectively assessed the endoscopic and histological characteristics of 375 colorectal LSTs at our hospital between January 2016 and December 2023. We performed univariate and multivariate analysis to identify risk factors associated with HGD/CA, submucosal invasion and complications.</p><p><strong>Results: </strong>The numbers of granular (LST-G) and non-granular LST (LST-NG) were 260 and 115, respectively. The rates of low-grade dysplasia and HGD/CA were 60.3% and 39.7%, respectively. Multivariate analysis indicated that a tumor size ≥ 30 mm [odds ratio (OR) = 1.934, <i>P</i> = 0.032], LST granular nodular mixed type (OR = 2.100, <i>P</i> = 0.005), and LST non-granular pseudo depressed type (NG-PD) (OR = 3.016, <i>P</i> = 0.015) were independent risk factors significantly associated with higher odds of HGD/CA. NG-PD (OR = 6.506, <i>P</i> = 0.001), tumor size (20-29 mm) (OR = 2.631, <i>P</i> = 0.036) and tumor size ≥ 30 mm (OR = 3.449, <i>P</i> = 0.016) were associated with increased odds of submucosal invasion. Tumor size ≥ 30 mm (OR = 4.888, <i>P</i> = 0.003) was a particularly important predictor of complications. A nomogram model demonstrated a satisfactory fit, with an area under the receiver operating characteristic curve of 0.716 (95% confidence interval: 0.653-0.780), indicating strong predictive performance.</p><p><strong>Conclusion: </strong>The novel nomogram incorporating tumor size, location, and morphology predicted HGD/CA during endoscopic resection for LSTs. NG-PD lesions larger than 20 mm were more likely to invade the submucosa. Tumor size ≥ 30 mm was an important predictor of complications.</p>\",\"PeriodicalId\":23953,\"journal\":{\"name\":\"World Journal of Gastrointestinal Endoscopy\",\"volume\":\"17 6\",\"pages\":\"106412\"},\"PeriodicalIF\":1.8000,\"publicationDate\":\"2025-06-16\",\"publicationTypes\":\"Journal Article\",\"fieldsOfStudy\":null,\"isOpenAccess\":false,\"openAccessPdf\":\"https://www.ncbi.nlm.nih.gov/pmc/articles/PMC12179953/pdf/\",\"citationCount\":\"0\",\"resultStr\":null,\"platform\":\"Semanticscholar\",\"paperid\":null,\"PeriodicalName\":\"World Journal of Gastrointestinal Endoscopy\",\"FirstCategoryId\":\"3\",\"ListUrlMain\":\"https://doi.org/10.4253/wjge.v17.i6.106412\",\"RegionNum\":0,\"RegionCategory\":null,\"ArticlePicture\":[],\"TitleCN\":null,\"AbstractTextCN\":null,\"PMCID\":null,\"EPubDate\":\"\",\"PubModel\":\"\",\"JCR\":\"Q4\",\"JCRName\":\"GASTROENTEROLOGY & HEPATOLOGY\",\"Score\":null,\"Total\":0}","platform":"Semanticscholar","paperid":null,"PeriodicalName":"World Journal of Gastrointestinal Endoscopy","FirstCategoryId":"3","ListUrlMain":"https://doi.org/10.4253/wjge.v17.i6.106412","RegionNum":0,"RegionCategory":null,"ArticlePicture":[],"TitleCN":null,"AbstractTextCN":null,"PMCID":null,"EPubDate":"","PubModel":"","JCR":"Q4","JCRName":"GASTROENTEROLOGY & HEPATOLOGY","Score":null,"Total":0}
引用次数: 0

摘要

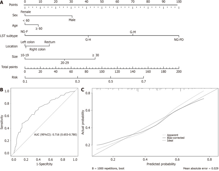
背景:内镜下粘膜下剥离或内镜下粘膜切除术是治疗结肠直肠侧移性肿瘤的最佳方法。目的:分析结直肠LSTs的临床病理和内镜特征,确定高级别不典型增生(HGD)/癌(CA)、粘膜下浸润和并发症的预测因素。方法:回顾性分析2016年1月至2023年12月我院收治的375例结直肠lst的内镜及组织学特征。我们进行了单因素和多因素分析,以确定与HGD/CA、粘膜下浸润和并发症相关的危险因素。结果:颗粒状(LST- g)和非颗粒状(LST- ng)分别为260个和115个。低度发育不良和HGD/CA发生率分别为60.3%和39.7%。多因素分析显示,肿瘤大小≥30 mm[比值比(OR) = 1.934, P = 0.032]、LST颗粒性结节混合型(OR = 2.100, P = 0.005)、LST非颗粒性伪抑郁型(OR = 3.016, P = 0.015)是HGD/CA发病几率较高的独立危险因素。NG-PD (OR = 6.506, P = 0.001)、肿瘤大小(20-29 mm) (OR = 2.631, P = 0.036)和肿瘤大小≥30 mm (OR = 3.449, P = 0.016)与粘膜下浸润的几率增加相关。肿瘤大小≥30 mm (OR = 4.888, P = 0.003)是并发症特别重要的预测因子。nomogram模型拟合良好,受试者工作特征曲线下面积为0.716(95%置信区间为0.653-0.780),具有较强的预测能力。结论:结合肿瘤大小、位置和形态的新nomogram内镜下LSTs切除术中HGD/CA的预测。大于20mm的NG-PD病变更容易侵犯粘膜下层。肿瘤大小≥30mm是并发症的重要预测因子。
本文章由计算机程序翻译,如有差异,请以英文原文为准。

Endoscopic resection of colorectal laterally spreading tumors: Clinicopathologic characteristics and risk factors for treatment outcomes.

Endoscopic resection of colorectal laterally spreading tumors: Clinicopathologic characteristics and risk factors for treatment outcomes.

Endoscopic resection of colorectal laterally spreading tumors: Clinicopathologic characteristics and risk factors for treatment outcomes.

Background: Colorectal laterally spreading tumors (LSTs) are best treated with endoscopic submucosal dissection or endoscopic mucosal resection.

Aim: To analyze the clinicopathological and endoscopic profiles of colorectal LSTs, determine predictive factors for high-grade dysplasia (HGD)/carcinoma (CA), submucosal invasion, and complications.

Methods: We retrospectively assessed the endoscopic and histological characteristics of 375 colorectal LSTs at our hospital between January 2016 and December 2023. We performed univariate and multivariate analysis to identify risk factors associated with HGD/CA, submucosal invasion and complications.

Results: The numbers of granular (LST-G) and non-granular LST (LST-NG) were 260 and 115, respectively. The rates of low-grade dysplasia and HGD/CA were 60.3% and 39.7%, respectively. Multivariate analysis indicated that a tumor size ≥ 30 mm [odds ratio (OR) = 1.934, P = 0.032], LST granular nodular mixed type (OR = 2.100, P = 0.005), and LST non-granular pseudo depressed type (NG-PD) (OR = 3.016, P = 0.015) were independent risk factors significantly associated with higher odds of HGD/CA. NG-PD (OR = 6.506, P = 0.001), tumor size (20-29 mm) (OR = 2.631, P = 0.036) and tumor size ≥ 30 mm (OR = 3.449, P = 0.016) were associated with increased odds of submucosal invasion. Tumor size ≥ 30 mm (OR = 4.888, P = 0.003) was a particularly important predictor of complications. A nomogram model demonstrated a satisfactory fit, with an area under the receiver operating characteristic curve of 0.716 (95% confidence interval: 0.653-0.780), indicating strong predictive performance.

Conclusion: The novel nomogram incorporating tumor size, location, and morphology predicted HGD/CA during endoscopic resection for LSTs. NG-PD lesions larger than 20 mm were more likely to invade the submucosa. Tumor size ≥ 30 mm was an important predictor of complications.

求助全文
通过发布文献求助,成功后即可免费获取论文全文。 去求助
来源期刊
World Journal of Gastrointestinal Endoscopy
World Journal of Gastrointestinal Endoscopy GASTROENTEROLOGY & HEPATOLOGY-
自引率
5.00%
发文量
1164
×
引用
GB/T 7714-2015
复制
MLA
复制
APA
复制
导出至
BibTeX EndNote RefMan NoteFirst NoteExpress
×
提示
您的信息不完整,为了账户安全,请先补充。
现在去补充
×
提示
您因"违规操作"
具体请查看互助需知
我知道了
×
提示
确定
请完成安全验证×
copy
已复制链接
快去分享给好友吧!
我知道了
右上角分享
点击右上角分享
0
联系我们:info@booksci.cn Book学术提供免费学术资源搜索服务,方便国内外学者检索中英文文献。致力于提供最便捷和优质的服务体验。 Copyright © 2023 布克学术 All rights reserved.
京ICP备2023020795号-1
ghs 京公网安备 11010802042870号
Book学术文献互助
Book学术文献互助群
群 号:604180095
Book学术官方微信