阿波啡舌下膜在帕金森病和OFF发作患者中的保留性和安全性/耐受性:一项III期开放标签研究的事后分析

IF 4.1 2区 医学 Q1 CLINICAL NEUROLOGY
Therapeutic Advances in Neurological Disorders Pub Date : 2025-06-20 eCollection Date: 2025-01-01 DOI:10.1177/17562864251343583
Jan Kassubek, Diego Santos Garcia, Wolfgang H Jost, Lars Wojtecki, Fradique Moreira, Miguel M Fonseca, Glynn Harrison-Jones, Isabel Pijuan, Carmen Denecke Muhr
{"title":"阿波啡舌下膜在帕金森病和OFF发作患者中的保留性和安全性/耐受性:一项III期开放标签研究的事后分析","authors":"Jan Kassubek, Diego Santos Garcia, Wolfgang H Jost, Lars Wojtecki, Fradique Moreira, Miguel M Fonseca, Glynn Harrison-Jones, Isabel Pijuan, Carmen Denecke Muhr","doi":"10.1177/17562864251343583","DOIUrl":null,"url":null,"abstract":"<p><strong>Background: </strong>Managing OFF episodes in patients with Parkinson's disease becomes increasingly challenging over time, making it critical to tailor treatment to each patient's needs and characteristics for effective care.</p><p><strong>Objectives: </strong>Study CTH-301 assessed the long-term safety/tolerability and efficacy of sublingual apomorphine (SL-APO) for the on-demand treatment of OFF episodes.</p><p><strong>Design: </strong>The findings from four post hoc analyses of Study CTH-301, conducted to understand factors influencing SL-APO retention and safety/tolerability, with a particular focus on oropharyngeal treatment-emergent adverse events (TEAEs) are reported.</p><p><strong>Methods: </strong>The first analysis evaluated baseline variables differing between patients who completed the study and those who discontinued due to either lack of efficacy or adverse events to help define patients more likely to benefit from SL-APO therapy: The second and third analyses compared safety/tolerability between the subgroups of patients who were or were not receiving dopamine agonist (DA) treatment, and in those aged <70 or ⩾70 years at baseline, respectively. The fourth analysis examined oropharyngeal TEAEs.</p><p><strong>Results: </strong>Patients in a younger age group, those experiencing morning akinesia or delayed ON, and those taking lower dose/fewer intakes of levodopa and concomitant DAs were more likely to benefit from SL-APO therapy. Patients taking concomitant DAs reported lower rates of DA-related TEAEs and a higher mean SL-APO optimal dose. Specific analyses in patients aged ⩾70 years indicated that this age group reported similar rates of TEAEs and a similar profile of the most common TEAEs compared with the group aged <70 years. A lower total daily dose of SL-APO was associated with a reduced risk of developing oropharyngeal TEAEs. Such events were mostly mild or moderate, occurring within the first months after SL-APO initiation, and generally resolved, with worsening being rare.</p><p><strong>Conclusion: </strong>These analyses provided insights into retention and safety/tolerability of SL-APO, helping clinicians and patients make informed treatment decisions.</p>","PeriodicalId":22980,"journal":{"name":"Therapeutic Advances in Neurological Disorders","volume":"18 ","pages":"17562864251343583"},"PeriodicalIF":4.1000,"publicationDate":"2025-06-20","publicationTypes":"Journal Article","fieldsOfStudy":null,"isOpenAccess":false,"openAccessPdf":"https://www.ncbi.nlm.nih.gov/pmc/articles/PMC12181698/pdf/","citationCount":"0","resultStr":"{\"title\":\"Insights into retention and safety/tolerability of apomorphine sublingual film in patients with Parkinson's disease and OFF episodes: post hoc analyses of a phase III, open-label study.\",\"authors\":\"Jan Kassubek, Diego Santos Garcia, Wolfgang H Jost, Lars Wojtecki, Fradique Moreira, Miguel M Fonseca, Glynn Harrison-Jones, Isabel Pijuan, Carmen Denecke Muhr\",\"doi\":\"10.1177/17562864251343583\",\"DOIUrl\":null,\"url\":null,\"abstract\":\"<p><strong>Background: </strong>Managing OFF episodes in patients with Parkinson's disease becomes increasingly challenging over time, making it critical to tailor treatment to each patient's needs and characteristics for effective care.</p><p><strong>Objectives: </strong>Study CTH-301 assessed the long-term safety/tolerability and efficacy of sublingual apomorphine (SL-APO) for the on-demand treatment of OFF episodes.</p><p><strong>Design: </strong>The findings from four post hoc analyses of Study CTH-301, conducted to understand factors influencing SL-APO retention and safety/tolerability, with a particular focus on oropharyngeal treatment-emergent adverse events (TEAEs) are reported.</p><p><strong>Methods: </strong>The first analysis evaluated baseline variables differing between patients who completed the study and those who discontinued due to either lack of efficacy or adverse events to help define patients more likely to benefit from SL-APO therapy: The second and third analyses compared safety/tolerability between the subgroups of patients who were or were not receiving dopamine agonist (DA) treatment, and in those aged <70 or ⩾70 years at baseline, respectively. The fourth analysis examined oropharyngeal TEAEs.</p><p><strong>Results: </strong>Patients in a younger age group, those experiencing morning akinesia or delayed ON, and those taking lower dose/fewer intakes of levodopa and concomitant DAs were more likely to benefit from SL-APO therapy. Patients taking concomitant DAs reported lower rates of DA-related TEAEs and a higher mean SL-APO optimal dose. Specific analyses in patients aged ⩾70 years indicated that this age group reported similar rates of TEAEs and a similar profile of the most common TEAEs compared with the group aged <70 years. A lower total daily dose of SL-APO was associated with a reduced risk of developing oropharyngeal TEAEs. Such events were mostly mild or moderate, occurring within the first months after SL-APO initiation, and generally resolved, with worsening being rare.</p><p><strong>Conclusion: </strong>These analyses provided insights into retention and safety/tolerability of SL-APO, helping clinicians and patients make informed treatment decisions.</p>\",\"PeriodicalId\":22980,\"journal\":{\"name\":\"Therapeutic Advances in Neurological Disorders\",\"volume\":\"18 \",\"pages\":\"17562864251343583\"},\"PeriodicalIF\":4.1000,\"publicationDate\":\"2025-06-20\",\"publicationTypes\":\"Journal Article\",\"fieldsOfStudy\":null,\"isOpenAccess\":false,\"openAccessPdf\":\"https://www.ncbi.nlm.nih.gov/pmc/articles/PMC12181698/pdf/\",\"citationCount\":\"0\",\"resultStr\":null,\"platform\":\"Semanticscholar\",\"paperid\":null,\"PeriodicalName\":\"Therapeutic Advances in Neurological Disorders\",\"FirstCategoryId\":\"3\",\"ListUrlMain\":\"https://doi.org/10.1177/17562864251343583\",\"RegionNum\":2,\"RegionCategory\":\"医学\",\"ArticlePicture\":[],\"TitleCN\":null,\"AbstractTextCN\":null,\"PMCID\":null,\"EPubDate\":\"2025/1/1 0:00:00\",\"PubModel\":\"eCollection\",\"JCR\":\"Q1\",\"JCRName\":\"CLINICAL NEUROLOGY\",\"Score\":null,\"Total\":0}","platform":"Semanticscholar","paperid":null,"PeriodicalName":"Therapeutic Advances in Neurological Disorders","FirstCategoryId":"3","ListUrlMain":"https://doi.org/10.1177/17562864251343583","RegionNum":2,"RegionCategory":"医学","ArticlePicture":[],"TitleCN":null,"AbstractTextCN":null,"PMCID":null,"EPubDate":"2025/1/1 0:00:00","PubModel":"eCollection","JCR":"Q1","JCRName":"CLINICAL NEUROLOGY","Score":null,"Total":0}
引用次数: 0

摘要

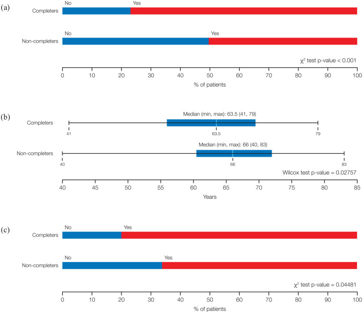
背景:随着时间的推移,管理帕金森病患者的OFF发作变得越来越具有挑战性,因此根据每位患者的需求和特征量身定制治疗以获得有效护理至关重要。目的:CTH-301研究评估舌下阿波啡(SL-APO)按需治疗OFF发作的长期安全性/耐受性和有效性。设计:研究CTH-301的四项事后分析的结果,旨在了解影响SL-APO保留和安全性/耐受性的因素,特别关注口咽治疗出现的不良事件(teae)。方法:第一个分析评估了完成研究的患者与因缺乏疗效或不良事件而停止研究的患者之间的基线变量差异,以帮助确定更有可能从SL-APO治疗中获益的患者;第二个和第三个分析比较了接受或未接受多巴胺激动剂(DA)治疗的患者亚组之间的安全性/耐受性,以及老年人。年龄较小的患者,经历晨动症或延迟ON的患者,以及服用低剂量/少摄入量左旋多巴和伴随da的患者更有可能从SL-APO治疗中获益。同时服用DAs的患者报告了较低的da相关teae发生率和较高的平均SL-APO最佳剂量。在年龄大于或等于70岁的患者中的具体分析表明,与年龄大于或等于70岁的患者相比,该年龄组报告了相似的teae率和最常见teae的相似概况。结论:这些分析提供了对SL-APO的保留和安全性/耐受性的见解,帮助临床医生和患者做出明智的治疗决定。
本文章由计算机程序翻译,如有差异,请以英文原文为准。

Insights into retention and safety/tolerability of apomorphine sublingual film in patients with Parkinson's disease and OFF episodes: post hoc analyses of a phase III, open-label study.

Insights into retention and safety/tolerability of apomorphine sublingual film in patients with Parkinson's disease and OFF episodes: post hoc analyses of a phase III, open-label study.

Insights into retention and safety/tolerability of apomorphine sublingual film in patients with Parkinson's disease and OFF episodes: post hoc analyses of a phase III, open-label study.

Insights into retention and safety/tolerability of apomorphine sublingual film in patients with Parkinson's disease and OFF episodes: post hoc analyses of a phase III, open-label study.

Background: Managing OFF episodes in patients with Parkinson's disease becomes increasingly challenging over time, making it critical to tailor treatment to each patient's needs and characteristics for effective care.

Objectives: Study CTH-301 assessed the long-term safety/tolerability and efficacy of sublingual apomorphine (SL-APO) for the on-demand treatment of OFF episodes.

Design: The findings from four post hoc analyses of Study CTH-301, conducted to understand factors influencing SL-APO retention and safety/tolerability, with a particular focus on oropharyngeal treatment-emergent adverse events (TEAEs) are reported.

Methods: The first analysis evaluated baseline variables differing between patients who completed the study and those who discontinued due to either lack of efficacy or adverse events to help define patients more likely to benefit from SL-APO therapy: The second and third analyses compared safety/tolerability between the subgroups of patients who were or were not receiving dopamine agonist (DA) treatment, and in those aged <70 or ⩾70 years at baseline, respectively. The fourth analysis examined oropharyngeal TEAEs.

Results: Patients in a younger age group, those experiencing morning akinesia or delayed ON, and those taking lower dose/fewer intakes of levodopa and concomitant DAs were more likely to benefit from SL-APO therapy. Patients taking concomitant DAs reported lower rates of DA-related TEAEs and a higher mean SL-APO optimal dose. Specific analyses in patients aged ⩾70 years indicated that this age group reported similar rates of TEAEs and a similar profile of the most common TEAEs compared with the group aged <70 years. A lower total daily dose of SL-APO was associated with a reduced risk of developing oropharyngeal TEAEs. Such events were mostly mild or moderate, occurring within the first months after SL-APO initiation, and generally resolved, with worsening being rare.

Conclusion: These analyses provided insights into retention and safety/tolerability of SL-APO, helping clinicians and patients make informed treatment decisions.

求助全文
通过发布文献求助,成功后即可免费获取论文全文。 去求助
来源期刊
CiteScore
8.30
自引率
1.70%
发文量
62
审稿时长
15 weeks
期刊介绍: Therapeutic Advances in Neurological Disorders is a peer-reviewed, open access journal delivering the highest quality articles, reviews, and scholarly comment on pioneering efforts and innovative studies across all areas of neurology. The journal has a strong clinical and pharmacological focus and is aimed at clinicians and researchers in neurology, providing a forum in print and online for publishing the highest quality articles in this area.
×
引用
GB/T 7714-2015
复制
MLA
复制
APA
复制
导出至
BibTeX EndNote RefMan NoteFirst NoteExpress
×
提示
您的信息不完整,为了账户安全,请先补充。
现在去补充
×
提示
您因"违规操作"
具体请查看互助需知
我知道了
×
提示
确定
请完成安全验证×
copy
已复制链接
快去分享给好友吧!
我知道了
右上角分享
点击右上角分享
0
联系我们:info@booksci.cn Book学术提供免费学术资源搜索服务,方便国内外学者检索中英文文献。致力于提供最便捷和优质的服务体验。 Copyright © 2023 布克学术 All rights reserved.
京ICP备2023020795号-1
ghs 京公网安备 11010802042870号
Book学术文献互助
Book学术文献互助群
群 号:604180095
Book学术官方微信