18-64岁商业保险人群慢性萎缩性胃炎非贲门胃癌发病率

IF 2.6 3区 综合性期刊 Q1 MULTIDISCIPLINARY SCIENCES
PLoS ONE Pub Date : 2025-06-23 eCollection Date: 2025-01-01 DOI:10.1371/journal.pone.0315833
Robert J Huang, Vidhya Balasubramanian, Miranda V Shum, Hanlee P Ji, Joo Ha Hwang
{"title":"18-64岁商业保险人群慢性萎缩性胃炎非贲门胃癌发病率","authors":"Robert J Huang, Vidhya Balasubramanian, Miranda V Shum, Hanlee P Ji, Joo Ha Hwang","doi":"10.1371/journal.pone.0315833","DOIUrl":null,"url":null,"abstract":"<p><strong>Background: </strong>Chronic atrophic gastritis (CAG) is a precancerous condition of the gastric mucosa which predisposes to non-cardia gastric cancer (NCGC). The risk for NCGC following diagnosis with CAG has not been described robustly in the United States.</p><p><strong>Methods: </strong>We used a commercial claims database (Marketscan, Merative LP) covering over 150 million privately-insured Americans aged 18-64 to create a cohort of individuals diagnosed with CAG. We then followed these individuals for the development of NCGC or to the time of their last clinical encounter. Demographic and clinical characteristics were captured through administrative coding schema, and linked to metropolitan statistical area measures of socioeconomic status. Individual race and ethnicity were not available for this analysis.</p><p><strong>Findings: </strong>We analyzed data on 107,835 individuals and recorded 355,591 person-years (p-y) of follow-up. The crude overall incidence of NCGC was 98 per 100,000 p-y. In the fully-adjusted multivariable proportional hazards model, age ≥ 50 (HR 2.20, 95% CI 1.44-3.36), anemia (HR 5.09, 95% CI 3.46-7.50), former or current smoking (HR 1.42, 95% CI 1.11-1.81) and family history (HR 1.44, 95% CI 1.05-1.99) were individual-level factors associated with increased risk.</p><p><strong>Conclusions: </strong>We present one of the first estimates of NCGC risk following CAG diagnosis in an American population, and highlight risk factors for cancer progression. These data may help to guide future risk prevention strategies, such as endoscopic surveillance, in the United States.</p>","PeriodicalId":20189,"journal":{"name":"PLoS ONE","volume":"20 6","pages":"e0315833"},"PeriodicalIF":2.6000,"publicationDate":"2025-06-23","publicationTypes":"Journal Article","fieldsOfStudy":null,"isOpenAccess":false,"openAccessPdf":"https://www.ncbi.nlm.nih.gov/pmc/articles/PMC12185002/pdf/","citationCount":"0","resultStr":"{\"title\":\"Incidence of non-cardia gastric cancer among commercially-insured individuals aged 18-64 with chronic atrophic gastritis.\",\"authors\":\"Robert J Huang, Vidhya Balasubramanian, Miranda V Shum, Hanlee P Ji, Joo Ha Hwang\",\"doi\":\"10.1371/journal.pone.0315833\",\"DOIUrl\":null,\"url\":null,\"abstract\":\"<p><strong>Background: </strong>Chronic atrophic gastritis (CAG) is a precancerous condition of the gastric mucosa which predisposes to non-cardia gastric cancer (NCGC). The risk for NCGC following diagnosis with CAG has not been described robustly in the United States.</p><p><strong>Methods: </strong>We used a commercial claims database (Marketscan, Merative LP) covering over 150 million privately-insured Americans aged 18-64 to create a cohort of individuals diagnosed with CAG. We then followed these individuals for the development of NCGC or to the time of their last clinical encounter. Demographic and clinical characteristics were captured through administrative coding schema, and linked to metropolitan statistical area measures of socioeconomic status. Individual race and ethnicity were not available for this analysis.</p><p><strong>Findings: </strong>We analyzed data on 107,835 individuals and recorded 355,591 person-years (p-y) of follow-up. The crude overall incidence of NCGC was 98 per 100,000 p-y. In the fully-adjusted multivariable proportional hazards model, age ≥ 50 (HR 2.20, 95% CI 1.44-3.36), anemia (HR 5.09, 95% CI 3.46-7.50), former or current smoking (HR 1.42, 95% CI 1.11-1.81) and family history (HR 1.44, 95% CI 1.05-1.99) were individual-level factors associated with increased risk.</p><p><strong>Conclusions: </strong>We present one of the first estimates of NCGC risk following CAG diagnosis in an American population, and highlight risk factors for cancer progression. These data may help to guide future risk prevention strategies, such as endoscopic surveillance, in the United States.</p>\",\"PeriodicalId\":20189,\"journal\":{\"name\":\"PLoS ONE\",\"volume\":\"20 6\",\"pages\":\"e0315833\"},\"PeriodicalIF\":2.6000,\"publicationDate\":\"2025-06-23\",\"publicationTypes\":\"Journal Article\",\"fieldsOfStudy\":null,\"isOpenAccess\":false,\"openAccessPdf\":\"https://www.ncbi.nlm.nih.gov/pmc/articles/PMC12185002/pdf/\",\"citationCount\":\"0\",\"resultStr\":null,\"platform\":\"Semanticscholar\",\"paperid\":null,\"PeriodicalName\":\"PLoS ONE\",\"FirstCategoryId\":\"103\",\"ListUrlMain\":\"https://doi.org/10.1371/journal.pone.0315833\",\"RegionNum\":3,\"RegionCategory\":\"综合性期刊\",\"ArticlePicture\":[],\"TitleCN\":null,\"AbstractTextCN\":null,\"PMCID\":null,\"EPubDate\":\"2025/1/1 0:00:00\",\"PubModel\":\"eCollection\",\"JCR\":\"Q1\",\"JCRName\":\"MULTIDISCIPLINARY SCIENCES\",\"Score\":null,\"Total\":0}","platform":"Semanticscholar","paperid":null,"PeriodicalName":"PLoS ONE","FirstCategoryId":"103","ListUrlMain":"https://doi.org/10.1371/journal.pone.0315833","RegionNum":3,"RegionCategory":"综合性期刊","ArticlePicture":[],"TitleCN":null,"AbstractTextCN":null,"PMCID":null,"EPubDate":"2025/1/1 0:00:00","PubModel":"eCollection","JCR":"Q1","JCRName":"MULTIDISCIPLINARY SCIENCES","Score":null,"Total":0}
引用次数: 0

摘要

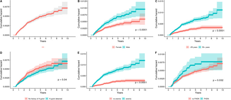
背景:慢性萎缩性胃炎(CAG)是一种易发生非贲门性胃癌(NCGC)的胃粘膜癌前病变。在美国,诊断为CAG后发生NCGC的风险尚未得到明确的描述。方法:我们使用商业索赔数据库(Marketscan, Merative LP),覆盖了超过1.5亿18-64岁的私人保险美国人,以创建诊断为CAG的个体队列。然后我们跟踪这些人的NCGC发展或他们最后一次临床就诊的时间。通过行政编码模式捕获人口统计学和临床特征,并将其与大都市统计区域的社会经济地位措施联系起来。个体种族和民族无法用于该分析。研究结果:我们分析了107,835人的数据,记录了355,591人年(p-y)的随访。NCGC的粗总发病率为98 / 100,000 p-y。在完全调整的多变量比例风险模型中,年龄≥50岁(HR 2.20, 95% CI 1.44-3.36)、贫血(HR 5.09, 95% CI 3.46-7.50)、曾经或现在吸烟(HR 1.42, 95% CI 1.11-1.81)和家族史(HR 1.44, 95% CI 1.05-1.99)是与风险增加相关的个人水平因素。结论:我们提出了美国人群中CAG诊断后NCGC风险的首次估计之一,并强调了癌症进展的危险因素。这些数据可能有助于指导美国未来的风险预防策略,如内窥镜监测。
本文章由计算机程序翻译,如有差异,请以英文原文为准。

Incidence of non-cardia gastric cancer among commercially-insured individuals aged 18-64 with chronic atrophic gastritis.

Incidence of non-cardia gastric cancer among commercially-insured individuals aged 18-64 with chronic atrophic gastritis.

Incidence of non-cardia gastric cancer among commercially-insured individuals aged 18-64 with chronic atrophic gastritis.

Incidence of non-cardia gastric cancer among commercially-insured individuals aged 18-64 with chronic atrophic gastritis.

Background: Chronic atrophic gastritis (CAG) is a precancerous condition of the gastric mucosa which predisposes to non-cardia gastric cancer (NCGC). The risk for NCGC following diagnosis with CAG has not been described robustly in the United States.

Methods: We used a commercial claims database (Marketscan, Merative LP) covering over 150 million privately-insured Americans aged 18-64 to create a cohort of individuals diagnosed with CAG. We then followed these individuals for the development of NCGC or to the time of their last clinical encounter. Demographic and clinical characteristics were captured through administrative coding schema, and linked to metropolitan statistical area measures of socioeconomic status. Individual race and ethnicity were not available for this analysis.

Findings: We analyzed data on 107,835 individuals and recorded 355,591 person-years (p-y) of follow-up. The crude overall incidence of NCGC was 98 per 100,000 p-y. In the fully-adjusted multivariable proportional hazards model, age ≥ 50 (HR 2.20, 95% CI 1.44-3.36), anemia (HR 5.09, 95% CI 3.46-7.50), former or current smoking (HR 1.42, 95% CI 1.11-1.81) and family history (HR 1.44, 95% CI 1.05-1.99) were individual-level factors associated with increased risk.

Conclusions: We present one of the first estimates of NCGC risk following CAG diagnosis in an American population, and highlight risk factors for cancer progression. These data may help to guide future risk prevention strategies, such as endoscopic surveillance, in the United States.

求助全文
通过发布文献求助,成功后即可免费获取论文全文。 去求助
来源期刊
PLoS ONE
PLoS ONE 生物-生物学
CiteScore
6.20
自引率
5.40%
发文量
14242
审稿时长
3.7 months
期刊介绍: PLOS ONE is an international, peer-reviewed, open-access, online publication. PLOS ONE welcomes reports on primary research from any scientific discipline. It provides: * Open-access—freely accessible online, authors retain copyright * Fast publication times * Peer review by expert, practicing researchers * Post-publication tools to indicate quality and impact * Community-based dialogue on articles * Worldwide media coverage
×
引用
GB/T 7714-2015
复制
MLA
复制
APA
复制
导出至
BibTeX EndNote RefMan NoteFirst NoteExpress
×
提示
您的信息不完整,为了账户安全,请先补充。
现在去补充
×
提示
您因"违规操作"
具体请查看互助需知
我知道了
×
提示
确定
请完成安全验证×
copy
已复制链接
快去分享给好友吧!
我知道了
右上角分享
点击右上角分享
0
联系我们:info@booksci.cn Book学术提供免费学术资源搜索服务,方便国内外学者检索中英文文献。致力于提供最便捷和优质的服务体验。 Copyright © 2023 布克学术 All rights reserved.
京ICP备2023020795号-1
ghs 京公网安备 11010802042870号
Book学术文献互助
Book学术文献互助群
群 号:604180095
Book学术官方微信