长角甲虫(Cerambycidae latreille)中嗜酸曲霉AFE1热稳定纤维素酶的制备、纯化和特性研究。

IF 4.9 2区 生物学 Q1 BIOTECHNOLOGY & APPLIED MICROBIOLOGY
Ayoola E Afe, Olusola T Lawal, Olufemi S Bamidele, Farhad Badshah, Bukola R Oyelere, Andrew N Efomah, Mostafa A Abdel-Maksoud, Sabiha Fatima, Abdulaziz Alamri, Mohamed A El-Tayeb, David M Sanni
{"title":"长角甲虫(Cerambycidae latreille)中嗜酸曲霉AFE1热稳定纤维素酶的制备、纯化和特性研究。","authors":"Ayoola E Afe, Olusola T Lawal, Olufemi S Bamidele, Farhad Badshah, Bukola R Oyelere, Andrew N Efomah, Mostafa A Abdel-Maksoud, Sabiha Fatima, Abdulaziz Alamri, Mohamed A El-Tayeb, David M Sanni","doi":"10.1186/s12934-025-02755-4","DOIUrl":null,"url":null,"abstract":"<p><strong>Background: </strong>The relentless pursuit of cost-effective cellulase, a key enzyme in the biocatalytic conversion of cellulose, has led to exploring insect guts as potential sources of biocatalysts. Herbivorous insects' intestinal tracts are recognized as rich reservoirs of cellulolytic microorganisms. This study investigates cellulase production, purification, and characterization from Aspergillus awamori AFE1, isolated from the gut of longhorn beetles (Cerambycidae latreille). Basic cellulase production parameters were optimized. The cellulase produced under optimum conditions was purified by ammonium sulphate precipitation and chromatographic methods, followed by characterization of the purified enzyme.</p><p><strong>Results: </strong>Optimum cellulase production was observed at pH 5 and 30 °C, using cellulose and NaNO<sub>3</sub> as carbon and nitrogen sources. Cellulase was purified to homogeneity, with a molecular weight of 48.5 kDa. The cellulase exhibited optimal activity at pH 5.0 and maintained stability at an acidic pH of 4.0, showing 80% activity after 2 h and 40% activity remaining after 6 h. The optimal temperature for cellulase activity was 60 °C, with maximal stability at 30 °C, retaining 63% of its initial activity after 2 h. However, significant activity of 50% was noted at 50 °C for 2 h. Interestingly, the enzyme showed great stability against organic solvents up to 4 h and retained significant enzymatic activity after 5 h. Cellulase activity was also enhanced by divalent metal ions, Fe<sup>2+</sup> and Zn<sup>2+</sup>, but was markedly inhibited by urea and EDTA, and monovalent Na<sup>+</sup>, K<sup>+</sup>, including some divalent metal ions, Cu<sup>2+</sup> and Mn<sup>2+</sup>. It displayed K<sub>m</sub> and V<sub>max</sub> values of 3.86 mM and 0.3159 mg/mL/min, respectively.</p><p><strong>Conclusion: </strong>This study has shown Aspergillus awamori AFE1, isolated from the Longhorn beetle gut, as a unique source of acid-stable, thermostable, and organic solvent-resistant cellulase with industrial potential. Its unique enzymatic properties offer promising applications in biofuel production and lignocellulosic biomass conversion.</p>","PeriodicalId":18582,"journal":{"name":"Microbial Cell Factories","volume":"24 1","pages":"145"},"PeriodicalIF":4.9000,"publicationDate":"2025-06-24","publicationTypes":"Journal Article","fieldsOfStudy":null,"isOpenAccess":false,"openAccessPdf":"https://www.ncbi.nlm.nih.gov/pmc/articles/PMC12186396/pdf/","citationCount":"0","resultStr":"{\"title\":\"Production, purification, and characterization of a thermally stable, Acidophilic Cellulase from Aspergillus awamori AFE1 isolated from Longhorn beetle (Cerambycidae latreille).\",\"authors\":\"Ayoola E Afe, Olusola T Lawal, Olufemi S Bamidele, Farhad Badshah, Bukola R Oyelere, Andrew N Efomah, Mostafa A Abdel-Maksoud, Sabiha Fatima, Abdulaziz Alamri, Mohamed A El-Tayeb, David M Sanni\",\"doi\":\"10.1186/s12934-025-02755-4\",\"DOIUrl\":null,\"url\":null,\"abstract\":\"<p><strong>Background: </strong>The relentless pursuit of cost-effective cellulase, a key enzyme in the biocatalytic conversion of cellulose, has led to exploring insect guts as potential sources of biocatalysts. Herbivorous insects' intestinal tracts are recognized as rich reservoirs of cellulolytic microorganisms. This study investigates cellulase production, purification, and characterization from Aspergillus awamori AFE1, isolated from the gut of longhorn beetles (Cerambycidae latreille). Basic cellulase production parameters were optimized. The cellulase produced under optimum conditions was purified by ammonium sulphate precipitation and chromatographic methods, followed by characterization of the purified enzyme.</p><p><strong>Results: </strong>Optimum cellulase production was observed at pH 5 and 30 °C, using cellulose and NaNO<sub>3</sub> as carbon and nitrogen sources. Cellulase was purified to homogeneity, with a molecular weight of 48.5 kDa. The cellulase exhibited optimal activity at pH 5.0 and maintained stability at an acidic pH of 4.0, showing 80% activity after 2 h and 40% activity remaining after 6 h. The optimal temperature for cellulase activity was 60 °C, with maximal stability at 30 °C, retaining 63% of its initial activity after 2 h. However, significant activity of 50% was noted at 50 °C for 2 h. Interestingly, the enzyme showed great stability against organic solvents up to 4 h and retained significant enzymatic activity after 5 h. Cellulase activity was also enhanced by divalent metal ions, Fe<sup>2+</sup> and Zn<sup>2+</sup>, but was markedly inhibited by urea and EDTA, and monovalent Na<sup>+</sup>, K<sup>+</sup>, including some divalent metal ions, Cu<sup>2+</sup> and Mn<sup>2+</sup>. It displayed K<sub>m</sub> and V<sub>max</sub> values of 3.86 mM and 0.3159 mg/mL/min, respectively.</p><p><strong>Conclusion: </strong>This study has shown Aspergillus awamori AFE1, isolated from the Longhorn beetle gut, as a unique source of acid-stable, thermostable, and organic solvent-resistant cellulase with industrial potential. Its unique enzymatic properties offer promising applications in biofuel production and lignocellulosic biomass conversion.</p>\",\"PeriodicalId\":18582,\"journal\":{\"name\":\"Microbial Cell Factories\",\"volume\":\"24 1\",\"pages\":\"145\"},\"PeriodicalIF\":4.9000,\"publicationDate\":\"2025-06-24\",\"publicationTypes\":\"Journal Article\",\"fieldsOfStudy\":null,\"isOpenAccess\":false,\"openAccessPdf\":\"https://www.ncbi.nlm.nih.gov/pmc/articles/PMC12186396/pdf/\",\"citationCount\":\"0\",\"resultStr\":null,\"platform\":\"Semanticscholar\",\"paperid\":null,\"PeriodicalName\":\"Microbial Cell Factories\",\"FirstCategoryId\":\"5\",\"ListUrlMain\":\"https://doi.org/10.1186/s12934-025-02755-4\",\"RegionNum\":2,\"RegionCategory\":\"生物学\",\"ArticlePicture\":[],\"TitleCN\":null,\"AbstractTextCN\":null,\"PMCID\":null,\"EPubDate\":\"\",\"PubModel\":\"\",\"JCR\":\"Q1\",\"JCRName\":\"BIOTECHNOLOGY & APPLIED MICROBIOLOGY\",\"Score\":null,\"Total\":0}","platform":"Semanticscholar","paperid":null,"PeriodicalName":"Microbial Cell Factories","FirstCategoryId":"5","ListUrlMain":"https://doi.org/10.1186/s12934-025-02755-4","RegionNum":2,"RegionCategory":"生物学","ArticlePicture":[],"TitleCN":null,"AbstractTextCN":null,"PMCID":null,"EPubDate":"","PubModel":"","JCR":"Q1","JCRName":"BIOTECHNOLOGY & APPLIED MICROBIOLOGY","Score":null,"Total":0}
引用次数: 0

摘要

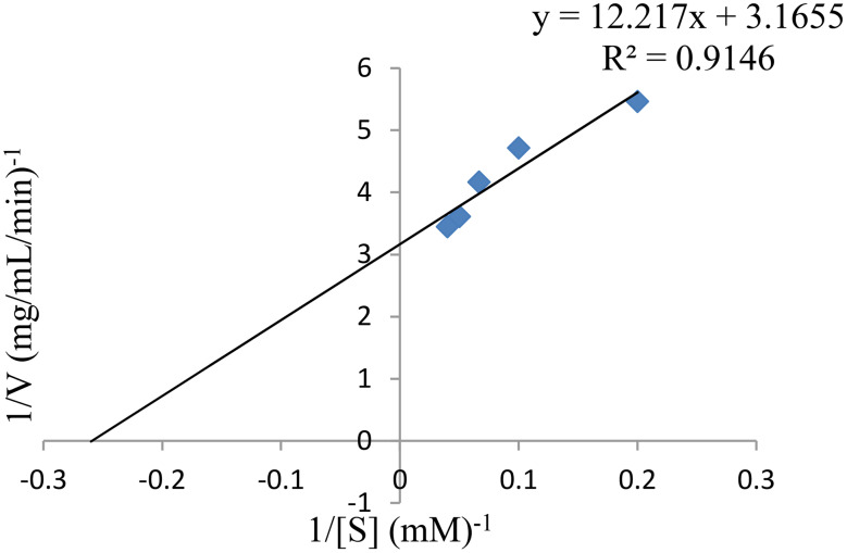
背景:纤维素酶是纤维素生物催化转化的关键酶,人们不断追求具有成本效益的纤维素酶,从而探索昆虫肠道作为生物催化剂的潜在来源。草食性昆虫的肠道被认为是纤维素分解微生物的丰富储存库。本研究研究了从长角甲虫(Cerambycidae latreille)肠道中分离的awamori Aspergillus AFE1纤维素酶的生产、纯化和特性。优化了纤维素酶的基本生产参数。采用硫酸铵沉淀法和色谱法对最佳条件下生产的纤维素酶进行纯化,并对纯化酶进行表征。结果:以纤维素和NaNO3为碳源和氮源,在pH为5和30°C的条件下,纤维素酶产量最佳。纤维素酶纯化后达到均匀性,分子量为48.5 kDa。纤维素酶在pH为5.0时表现出最佳活性,在酸性pH为4.0时保持稳定,2小时后活性为80%,6小时后活性仍为40%。纤维素酶活性的最佳温度为60°C,在30°C时达到最大稳定性,2小时后仍保持63%的初始活性。然而,在50°C下2小时的活性显著达到50%。2价金属离子(Fe2+和Zn2+)对纤维素酶活性也有增强作用,但尿素和EDTA、一价Na+、K+(包括部分2价金属离子Cu2+和Mn2+)对纤维素酶活性有明显抑制作用。Km和Vmax值分别为3.86 mM和0.3159 mg/mL/min。结论:从长角甲虫肠道中分离得到的awamori Aspergillus AFE1是一种独特的耐酸、耐热和耐溶剂的纤维素酶,具有工业潜力。其独特的酶促特性在生物燃料生产和木质纤维素生物质转化方面具有广阔的应用前景。
本文章由计算机程序翻译,如有差异,请以英文原文为准。

Production, purification, and characterization of a thermally stable, Acidophilic Cellulase from Aspergillus awamori AFE1 isolated from Longhorn beetle (Cerambycidae latreille).

Production, purification, and characterization of a thermally stable, Acidophilic Cellulase from Aspergillus awamori AFE1 isolated from Longhorn beetle (Cerambycidae latreille).

Production, purification, and characterization of a thermally stable, Acidophilic Cellulase from Aspergillus awamori AFE1 isolated from Longhorn beetle (Cerambycidae latreille).

Production, purification, and characterization of a thermally stable, Acidophilic Cellulase from Aspergillus awamori AFE1 isolated from Longhorn beetle (Cerambycidae latreille).

Background: The relentless pursuit of cost-effective cellulase, a key enzyme in the biocatalytic conversion of cellulose, has led to exploring insect guts as potential sources of biocatalysts. Herbivorous insects' intestinal tracts are recognized as rich reservoirs of cellulolytic microorganisms. This study investigates cellulase production, purification, and characterization from Aspergillus awamori AFE1, isolated from the gut of longhorn beetles (Cerambycidae latreille). Basic cellulase production parameters were optimized. The cellulase produced under optimum conditions was purified by ammonium sulphate precipitation and chromatographic methods, followed by characterization of the purified enzyme.

Results: Optimum cellulase production was observed at pH 5 and 30 °C, using cellulose and NaNO3 as carbon and nitrogen sources. Cellulase was purified to homogeneity, with a molecular weight of 48.5 kDa. The cellulase exhibited optimal activity at pH 5.0 and maintained stability at an acidic pH of 4.0, showing 80% activity after 2 h and 40% activity remaining after 6 h. The optimal temperature for cellulase activity was 60 °C, with maximal stability at 30 °C, retaining 63% of its initial activity after 2 h. However, significant activity of 50% was noted at 50 °C for 2 h. Interestingly, the enzyme showed great stability against organic solvents up to 4 h and retained significant enzymatic activity after 5 h. Cellulase activity was also enhanced by divalent metal ions, Fe2+ and Zn2+, but was markedly inhibited by urea and EDTA, and monovalent Na+, K+, including some divalent metal ions, Cu2+ and Mn2+. It displayed Km and Vmax values of 3.86 mM and 0.3159 mg/mL/min, respectively.

Conclusion: This study has shown Aspergillus awamori AFE1, isolated from the Longhorn beetle gut, as a unique source of acid-stable, thermostable, and organic solvent-resistant cellulase with industrial potential. Its unique enzymatic properties offer promising applications in biofuel production and lignocellulosic biomass conversion.

求助全文
通过发布文献求助,成功后即可免费获取论文全文。 去求助
来源期刊
Microbial Cell Factories
Microbial Cell Factories 工程技术-生物工程与应用微生物
CiteScore
9.30
自引率
4.70%
发文量
235
审稿时长
2.3 months
期刊介绍: Microbial Cell Factories is an open access peer-reviewed journal that covers any topic related to the development, use and investigation of microbial cells as producers of recombinant proteins and natural products, or as catalyzers of biological transformations of industrial interest. Microbial Cell Factories is the world leading, primary research journal fully focusing on Applied Microbiology. The journal is divided into the following editorial sections: -Metabolic engineering -Synthetic biology -Whole-cell biocatalysis -Microbial regulations -Recombinant protein production/bioprocessing -Production of natural compounds -Systems biology of cell factories -Microbial production processes -Cell-free systems
×
引用
GB/T 7714-2015
复制
MLA
复制
APA
复制
导出至
BibTeX EndNote RefMan NoteFirst NoteExpress
×
提示
您的信息不完整,为了账户安全,请先补充。
现在去补充
×
提示
您因"违规操作"
具体请查看互助需知
我知道了
×
提示
确定
请完成安全验证×
copy
已复制链接
快去分享给好友吧!
我知道了
右上角分享
点击右上角分享
0
联系我们:info@booksci.cn Book学术提供免费学术资源搜索服务,方便国内外学者检索中英文文献。致力于提供最便捷和优质的服务体验。 Copyright © 2023 布克学术 All rights reserved.
京ICP备2023020795号-1
ghs 京公网安备 11010802042870号
Book学术文献互助
Book学术文献互助群
群 号:604180095
Book学术官方微信