菲尼酮治疗亚洲2型糖尿病和慢性肾病患者的疗效和安全性:一项FIDELITY分析

IF 3.1 4区 医学 Q1 UROLOGY & NEPHROLOGY
Kidney Diseases Pub Date : 2025-05-22 eCollection Date: 2025-01-01 DOI:10.1159/000545415
Takashi Wada, Stefan D Anker, Zhihong Liu, Byung Wan Lee, Chien-Te Lee, Peter Rossing, Luis M Ruilope, Christiane Ahlers, Meike Brinker, Amaninder Mann, Satoshi Yamashita, Bertram Pitt
{"title":"菲尼酮治疗亚洲2型糖尿病和慢性肾病患者的疗效和安全性:一项FIDELITY分析","authors":"Takashi Wada, Stefan D Anker, Zhihong Liu, Byung Wan Lee, Chien-Te Lee, Peter Rossing, Luis M Ruilope, Christiane Ahlers, Meike Brinker, Amaninder Mann, Satoshi Yamashita, Bertram Pitt","doi":"10.1159/000545415","DOIUrl":null,"url":null,"abstract":"<p><strong>Introduction: </strong>In FIDELITY, a prespecified pooled analysis of the phase III FIDELIO-DKD and FIGARO-DKD trials, finerenone reduced the risk of cardiovascular (CV) and kidney events versus placebo in patients with type 2 diabetes and chronic kidney disease, on optimized renin-angiotensin system blockade. This FIDELITY post hoc subanalysis explores the efficacy and safety of finerenone in Asian patients.</p><p><strong>Methods: </strong>For this subanalysis, efficacy outcomes included a CV composite (time to CV death, nonfatal myocardial infarction, nonfatal stroke, or hospitalization for heart failure) and kidney composite (kidney failure, sustained ≥57% estimated glomerular filtration rate [eGFR] decrease from baseline over ≥4 weeks or renal death) outcome. A change in urine albumin-to-creatinine ratio (UACR) from baseline to month 4 and eGFR slopes was also assessed. All outcomes were assessed by baseline eGFR (<60 and ≥60 mL/min/1.73 m<sup>2</sup>) and UACR (<300 and ≥300 mg/g) subgroups. Safety outcomes were reported as treatment-emergent adverse events, including laboratory evaluations for hyperkalemia.</p><p><strong>Results: </strong>In the Asian subpopulation, 1,412/2,858 (49.4%) received finerenone. Finerenone-treated Asian patients had a lower risk of the composite CV outcome (hazard ratio [HR] = 0.90; 95% confidence interval [CI], 0.70-1.15) and nominally significant reductions in the risk of ≥57% and ≥40% eGFR composite kidney outcomes (HR = 0.64; 95% CI, 0.50-0.82 and HR = 0.67; 95% CI, 0.56-0.80, respectively) versus those receiving placebo, irrespective of baseline eGFR and UACR. Data on change of eGFR from baseline over the course of the trials indicated that chronic kidney disease progression in Asian patients was slower with finerenone versus placebo. Overall, safety outcomes were balanced between both populations. Serum potassium values with finerenone were similar between the Asian and non-Asian subpopulations (>5.5 mmol/L: 15.6% versus 17.1%; >6.0 mmol/L: 4.6% versus 2.9%, respectively), while hyperkalemia leading to permanent treatment discontinuation with finerenone was low in both populations (Asian: 1.5%; non-Asian: 1.8%).</p><p><strong>Conclusion: </strong>Finerenone reduced the risk of CV and kidney events and demonstrated a well-tolerated safety profile in the FIDELITY Asian subpopulation.</p>","PeriodicalId":17830,"journal":{"name":"Kidney Diseases","volume":"11 1","pages":"402-415"},"PeriodicalIF":3.1000,"publicationDate":"2025-05-22","publicationTypes":"Journal Article","fieldsOfStudy":null,"isOpenAccess":false,"openAccessPdf":"https://www.ncbi.nlm.nih.gov/pmc/articles/PMC12185061/pdf/","citationCount":"0","resultStr":"{\"title\":\"Efficacy and Safety of Finerenone in Asian Patients with Type 2 Diabetes and Chronic Kidney Disease: A FIDELITY Analysis.\",\"authors\":\"Takashi Wada, Stefan D Anker, Zhihong Liu, Byung Wan Lee, Chien-Te Lee, Peter Rossing, Luis M Ruilope, Christiane Ahlers, Meike Brinker, Amaninder Mann, Satoshi Yamashita, Bertram Pitt\",\"doi\":\"10.1159/000545415\",\"DOIUrl\":null,\"url\":null,\"abstract\":\"<p><strong>Introduction: </strong>In FIDELITY, a prespecified pooled analysis of the phase III FIDELIO-DKD and FIGARO-DKD trials, finerenone reduced the risk of cardiovascular (CV) and kidney events versus placebo in patients with type 2 diabetes and chronic kidney disease, on optimized renin-angiotensin system blockade. This FIDELITY post hoc subanalysis explores the efficacy and safety of finerenone in Asian patients.</p><p><strong>Methods: </strong>For this subanalysis, efficacy outcomes included a CV composite (time to CV death, nonfatal myocardial infarction, nonfatal stroke, or hospitalization for heart failure) and kidney composite (kidney failure, sustained ≥57% estimated glomerular filtration rate [eGFR] decrease from baseline over ≥4 weeks or renal death) outcome. A change in urine albumin-to-creatinine ratio (UACR) from baseline to month 4 and eGFR slopes was also assessed. All outcomes were assessed by baseline eGFR (<60 and ≥60 mL/min/1.73 m<sup>2</sup>) and UACR (<300 and ≥300 mg/g) subgroups. Safety outcomes were reported as treatment-emergent adverse events, including laboratory evaluations for hyperkalemia.</p><p><strong>Results: </strong>In the Asian subpopulation, 1,412/2,858 (49.4%) received finerenone. Finerenone-treated Asian patients had a lower risk of the composite CV outcome (hazard ratio [HR] = 0.90; 95% confidence interval [CI], 0.70-1.15) and nominally significant reductions in the risk of ≥57% and ≥40% eGFR composite kidney outcomes (HR = 0.64; 95% CI, 0.50-0.82 and HR = 0.67; 95% CI, 0.56-0.80, respectively) versus those receiving placebo, irrespective of baseline eGFR and UACR. Data on change of eGFR from baseline over the course of the trials indicated that chronic kidney disease progression in Asian patients was slower with finerenone versus placebo. Overall, safety outcomes were balanced between both populations. Serum potassium values with finerenone were similar between the Asian and non-Asian subpopulations (>5.5 mmol/L: 15.6% versus 17.1%; >6.0 mmol/L: 4.6% versus 2.9%, respectively), while hyperkalemia leading to permanent treatment discontinuation with finerenone was low in both populations (Asian: 1.5%; non-Asian: 1.8%).</p><p><strong>Conclusion: </strong>Finerenone reduced the risk of CV and kidney events and demonstrated a well-tolerated safety profile in the FIDELITY Asian subpopulation.</p>\",\"PeriodicalId\":17830,\"journal\":{\"name\":\"Kidney Diseases\",\"volume\":\"11 1\",\"pages\":\"402-415\"},\"PeriodicalIF\":3.1000,\"publicationDate\":\"2025-05-22\",\"publicationTypes\":\"Journal Article\",\"fieldsOfStudy\":null,\"isOpenAccess\":false,\"openAccessPdf\":\"https://www.ncbi.nlm.nih.gov/pmc/articles/PMC12185061/pdf/\",\"citationCount\":\"0\",\"resultStr\":null,\"platform\":\"Semanticscholar\",\"paperid\":null,\"PeriodicalName\":\"Kidney Diseases\",\"FirstCategoryId\":\"3\",\"ListUrlMain\":\"https://doi.org/10.1159/000545415\",\"RegionNum\":4,\"RegionCategory\":\"医学\",\"ArticlePicture\":[],\"TitleCN\":null,\"AbstractTextCN\":null,\"PMCID\":null,\"EPubDate\":\"2025/1/1 0:00:00\",\"PubModel\":\"eCollection\",\"JCR\":\"Q1\",\"JCRName\":\"UROLOGY & NEPHROLOGY\",\"Score\":null,\"Total\":0}","platform":"Semanticscholar","paperid":null,"PeriodicalName":"Kidney Diseases","FirstCategoryId":"3","ListUrlMain":"https://doi.org/10.1159/000545415","RegionNum":4,"RegionCategory":"医学","ArticlePicture":[],"TitleCN":null,"AbstractTextCN":null,"PMCID":null,"EPubDate":"2025/1/1 0:00:00","PubModel":"eCollection","JCR":"Q1","JCRName":"UROLOGY & NEPHROLOGY","Score":null,"Total":0}
引用次数: 0

摘要

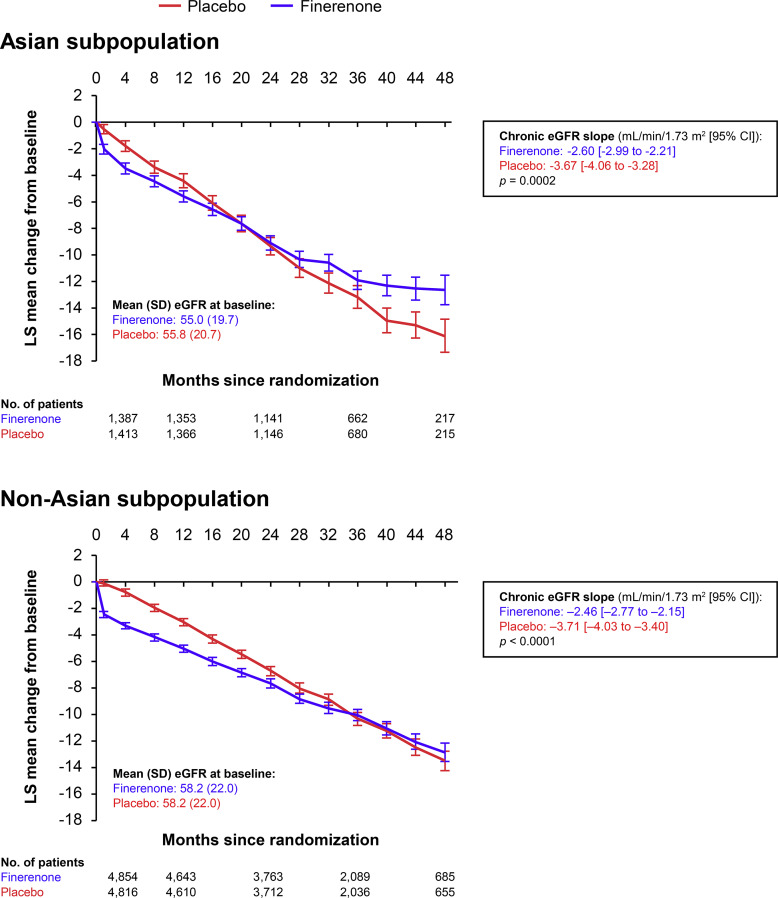
在FIDELIO-DKD和FIGARO-DKD III期试验的预先汇总分析FIDELITY中,芬烯酮在优化肾素-血管紧张素系统阻断的情况下,与安慰剂相比,降低了2型糖尿病和慢性肾病患者心血管(CV)和肾脏事件的风险。这项FIDELITY事后亚分析探讨了芬烯酮在亚洲患者中的疗效和安全性。方法:在这一亚组分析中,疗效结局包括CV复合结局(到CV死亡、非致死性心肌梗死、非致死性卒中或因心力衰竭住院的时间)和肾脏复合结局(肾衰竭、估计肾小球滤过率(eGFR)在≥4周内较基线持续下降≥57%或肾性死亡)。尿白蛋白与肌酐比值(UACR)从基线到第4个月的变化和eGFR斜率也被评估。所有结果均通过基线eGFR(2)和UACR进行评估(结果:在亚洲亚群中,1,412/2,858(49.4%)接受了细芬酮治疗。非尼伦酮治疗的亚洲患者发生复合CV结局的风险较低(危险比[HR] = 0.90;95%可信区间[CI], 0.70-1.15),并在名义上显著降低≥57%和≥40% eGFR复合肾脏结局的风险(HR = 0.64;95% CI, 0.50-0.82, HR = 0.67;95% CI,分别为0.56-0.80)与接受安慰剂的患者相比,无论基线eGFR和UACR如何。在整个试验过程中,eGFR从基线变化的数据表明,与安慰剂相比,芬尼酮组亚洲患者的慢性肾脏疾病进展较慢。总体而言,两组人群的安全结果是平衡的。细烯酮的血清钾值在亚洲和非亚洲亚群之间相似(>5.5 mmol/L: 15.6%对17.1%;>6.0 mmol/L:分别为4.6%和2.9%),而高钾血症导致芬尼酮永久停药的发生率在两个人群中都很低(亚洲:1.5%;非亚洲:1.8%)。结论:芬尼烯酮降低了CV和肾脏事件的风险,并在FIDELITY亚洲亚人群中表现出良好的耐受性安全性。
本文章由计算机程序翻译,如有差异,请以英文原文为准。

Efficacy and Safety of Finerenone in Asian Patients with Type 2 Diabetes and Chronic Kidney Disease: A FIDELITY Analysis.

Efficacy and Safety of Finerenone in Asian Patients with Type 2 Diabetes and Chronic Kidney Disease: A FIDELITY Analysis.

Efficacy and Safety of Finerenone in Asian Patients with Type 2 Diabetes and Chronic Kidney Disease: A FIDELITY Analysis.

Efficacy and Safety of Finerenone in Asian Patients with Type 2 Diabetes and Chronic Kidney Disease: A FIDELITY Analysis.

Introduction: In FIDELITY, a prespecified pooled analysis of the phase III FIDELIO-DKD and FIGARO-DKD trials, finerenone reduced the risk of cardiovascular (CV) and kidney events versus placebo in patients with type 2 diabetes and chronic kidney disease, on optimized renin-angiotensin system blockade. This FIDELITY post hoc subanalysis explores the efficacy and safety of finerenone in Asian patients.

Methods: For this subanalysis, efficacy outcomes included a CV composite (time to CV death, nonfatal myocardial infarction, nonfatal stroke, or hospitalization for heart failure) and kidney composite (kidney failure, sustained ≥57% estimated glomerular filtration rate [eGFR] decrease from baseline over ≥4 weeks or renal death) outcome. A change in urine albumin-to-creatinine ratio (UACR) from baseline to month 4 and eGFR slopes was also assessed. All outcomes were assessed by baseline eGFR (<60 and ≥60 mL/min/1.73 m2) and UACR (<300 and ≥300 mg/g) subgroups. Safety outcomes were reported as treatment-emergent adverse events, including laboratory evaluations for hyperkalemia.

Results: In the Asian subpopulation, 1,412/2,858 (49.4%) received finerenone. Finerenone-treated Asian patients had a lower risk of the composite CV outcome (hazard ratio [HR] = 0.90; 95% confidence interval [CI], 0.70-1.15) and nominally significant reductions in the risk of ≥57% and ≥40% eGFR composite kidney outcomes (HR = 0.64; 95% CI, 0.50-0.82 and HR = 0.67; 95% CI, 0.56-0.80, respectively) versus those receiving placebo, irrespective of baseline eGFR and UACR. Data on change of eGFR from baseline over the course of the trials indicated that chronic kidney disease progression in Asian patients was slower with finerenone versus placebo. Overall, safety outcomes were balanced between both populations. Serum potassium values with finerenone were similar between the Asian and non-Asian subpopulations (>5.5 mmol/L: 15.6% versus 17.1%; >6.0 mmol/L: 4.6% versus 2.9%, respectively), while hyperkalemia leading to permanent treatment discontinuation with finerenone was low in both populations (Asian: 1.5%; non-Asian: 1.8%).

Conclusion: Finerenone reduced the risk of CV and kidney events and demonstrated a well-tolerated safety profile in the FIDELITY Asian subpopulation.

求助全文
通过发布文献求助,成功后即可免费获取论文全文。 去求助
来源期刊
Kidney Diseases
Kidney Diseases UROLOGY & NEPHROLOGY-
CiteScore
6.00
自引率
2.70%
发文量
33
审稿时长
27 weeks
期刊介绍: ''Kidney Diseases'' aims to provide a platform for Asian and Western research to further and support communication and exchange of knowledge. Review articles cover the most recent clinical and basic science relevant to the entire field of nephrological disorders, including glomerular diseases, acute and chronic kidney injury, tubulo-interstitial disease, hypertension and metabolism-related disorders, end-stage renal disease, and genetic kidney disease. Special articles are prepared by two authors, one from East and one from West, which compare genetics, epidemiology, diagnosis methods, and treatment options of a disease.
×
引用
GB/T 7714-2015
复制
MLA
复制
APA
复制
导出至
BibTeX EndNote RefMan NoteFirst NoteExpress
×
提示
您的信息不完整,为了账户安全,请先补充。
现在去补充
×
提示
您因"违规操作"
具体请查看互助需知
我知道了
×
提示
确定
请完成安全验证×
copy
已复制链接
快去分享给好友吧!
我知道了
右上角分享
点击右上角分享
0
联系我们:info@booksci.cn Book学术提供免费学术资源搜索服务,方便国内外学者检索中英文文献。致力于提供最便捷和优质的服务体验。 Copyright © 2023 布克学术 All rights reserved.
京ICP备2023020795号-1
ghs 京公网安备 11010802042870号
Book学术文献互助
Book学术文献互助群
群 号:604180095
Book学术官方微信