基于放疗或放射性核素的联合治疗提高晚期前列腺癌的免疫治疗效果:一项系统综述。

IF 2.8 3区 医学 Q3 ONCOLOGY
Roberto Rosenfeld, Stefano Sganga, Marco Badalamenti, Sveva Mortellaro, Marta Scorsetti, Ornella Garrone, Giovanni Maria Iannantuono, Elias Chandran, Michele Ghidini, Ciro Franzese
{"title":"基于放疗或放射性核素的联合治疗提高晚期前列腺癌的免疫治疗效果:一项系统综述。","authors":"Roberto Rosenfeld, Stefano Sganga, Marco Badalamenti, Sveva Mortellaro, Marta Scorsetti, Ornella Garrone, Giovanni Maria Iannantuono, Elias Chandran, Michele Ghidini, Ciro Franzese","doi":"10.1007/s00432-025-06245-3","DOIUrl":null,"url":null,"abstract":"<p><strong>Background: </strong>Prostate cancer (PCa) has been considered an immunologically \"cold tumor\". Indeed, in advanced PCa, immune checkpoint inhibitors (ICIs) or anti-tumor vaccines have shown poor results in phase II and phase III trials with the exception of sipuleucel-T that showed a modest survival benefit. Radiotherapy and Targeted radioisotopes, such as <sup>223</sup>Radium or <sup>177</sup>Lu-PSMA-617 monotherapy, contributed in prolonging the progression-free survival of PCa patients in second or third line. However, potential benefits of combination with immune therapies were inconstantly investigated and outcomes often were discordant.</p><p><strong>Objective: </strong>Aim of this systematic review was to gather and analyze clinical evidence about benefits and risks of combining ionizing-radiation-based treatments with the main immunotherapies administed in clinical and experimental oncology for the setting of metastatic PCa.</p><p><strong>Methods: </strong>We performed a systematic review according to the PRISMA-ScR criteria, investigating PubMed, Web of science, Embase and Medline databases from February 2000 to April 2024, searching for phase I to phase III clinical trials associating radiotherapy with immunotherapy (RT/IT) in metastatic PCa patients.</p><p><strong>Conclusion: </strong>We observed that combination of Ipilimumab with stereotactic beam radiotherapy (SBRT) at the dose of 8 Gy performed about 12 days (range 2-21) before immunotherapy was liked with trials with a significative gain in progression-free survival. Furtherly, we described better objective responses when immunotherapies, were associated with SBRT than radionuclides An exception was <sup>177</sup>Lu-PSMA-617, which showed promising synergic results after few cycles of standard doses, suggesting a possible enhancing of immune system, in particular when associated with anti-PD1 (pembrolizumab). Due to the few data reported in literature, both for radiotherapy and radionuclides, however, future randomized trials should confirm these data.</p>","PeriodicalId":15118,"journal":{"name":"Journal of Cancer Research and Clinical Oncology","volume":"151 6","pages":"195"},"PeriodicalIF":2.8000,"publicationDate":"2025-06-23","publicationTypes":"Journal Article","fieldsOfStudy":null,"isOpenAccess":false,"openAccessPdf":"https://www.ncbi.nlm.nih.gov/pmc/articles/PMC12185560/pdf/","citationCount":"0","resultStr":"{\"title\":\"Combinations of treatments based on radiotherapy or radionuclides to enhance immunotherapy efficacy in advanced prostate cancer: a systematic review.\",\"authors\":\"Roberto Rosenfeld, Stefano Sganga, Marco Badalamenti, Sveva Mortellaro, Marta Scorsetti, Ornella Garrone, Giovanni Maria Iannantuono, Elias Chandran, Michele Ghidini, Ciro Franzese\",\"doi\":\"10.1007/s00432-025-06245-3\",\"DOIUrl\":null,\"url\":null,\"abstract\":\"<p><strong>Background: </strong>Prostate cancer (PCa) has been considered an immunologically \\\"cold tumor\\\". Indeed, in advanced PCa, immune checkpoint inhibitors (ICIs) or anti-tumor vaccines have shown poor results in phase II and phase III trials with the exception of sipuleucel-T that showed a modest survival benefit. Radiotherapy and Targeted radioisotopes, such as <sup>223</sup>Radium or <sup>177</sup>Lu-PSMA-617 monotherapy, contributed in prolonging the progression-free survival of PCa patients in second or third line. However, potential benefits of combination with immune therapies were inconstantly investigated and outcomes often were discordant.</p><p><strong>Objective: </strong>Aim of this systematic review was to gather and analyze clinical evidence about benefits and risks of combining ionizing-radiation-based treatments with the main immunotherapies administed in clinical and experimental oncology for the setting of metastatic PCa.</p><p><strong>Methods: </strong>We performed a systematic review according to the PRISMA-ScR criteria, investigating PubMed, Web of science, Embase and Medline databases from February 2000 to April 2024, searching for phase I to phase III clinical trials associating radiotherapy with immunotherapy (RT/IT) in metastatic PCa patients.</p><p><strong>Conclusion: </strong>We observed that combination of Ipilimumab with stereotactic beam radiotherapy (SBRT) at the dose of 8 Gy performed about 12 days (range 2-21) before immunotherapy was liked with trials with a significative gain in progression-free survival. Furtherly, we described better objective responses when immunotherapies, were associated with SBRT than radionuclides An exception was <sup>177</sup>Lu-PSMA-617, which showed promising synergic results after few cycles of standard doses, suggesting a possible enhancing of immune system, in particular when associated with anti-PD1 (pembrolizumab). Due to the few data reported in literature, both for radiotherapy and radionuclides, however, future randomized trials should confirm these data.</p>\",\"PeriodicalId\":15118,\"journal\":{\"name\":\"Journal of Cancer Research and Clinical Oncology\",\"volume\":\"151 6\",\"pages\":\"195\"},\"PeriodicalIF\":2.8000,\"publicationDate\":\"2025-06-23\",\"publicationTypes\":\"Journal Article\",\"fieldsOfStudy\":null,\"isOpenAccess\":false,\"openAccessPdf\":\"https://www.ncbi.nlm.nih.gov/pmc/articles/PMC12185560/pdf/\",\"citationCount\":\"0\",\"resultStr\":null,\"platform\":\"Semanticscholar\",\"paperid\":null,\"PeriodicalName\":\"Journal of Cancer Research and Clinical Oncology\",\"FirstCategoryId\":\"3\",\"ListUrlMain\":\"https://doi.org/10.1007/s00432-025-06245-3\",\"RegionNum\":3,\"RegionCategory\":\"医学\",\"ArticlePicture\":[],\"TitleCN\":null,\"AbstractTextCN\":null,\"PMCID\":null,\"EPubDate\":\"\",\"PubModel\":\"\",\"JCR\":\"Q3\",\"JCRName\":\"ONCOLOGY\",\"Score\":null,\"Total\":0}","platform":"Semanticscholar","paperid":null,"PeriodicalName":"Journal of Cancer Research and Clinical Oncology","FirstCategoryId":"3","ListUrlMain":"https://doi.org/10.1007/s00432-025-06245-3","RegionNum":3,"RegionCategory":"医学","ArticlePicture":[],"TitleCN":null,"AbstractTextCN":null,"PMCID":null,"EPubDate":"","PubModel":"","JCR":"Q3","JCRName":"ONCOLOGY","Score":null,"Total":0}
引用次数: 0

摘要

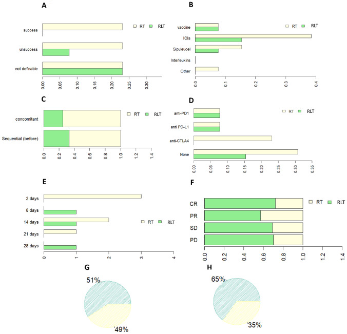
背景:前列腺癌(PCa)一直被认为是一种免疫学上的“冷肿瘤”。事实上,在晚期前列腺癌中,免疫检查点抑制剂(ICIs)或抗肿瘤疫苗在II期和III期试验中显示出较差的结果,除了sipuleucel-T显示出适度的生存获益。放疗和靶向放射性同位素,如223镭或177Lu-PSMA-617单药治疗,有助于延长二线或三线PCa患者的无进展生存期。然而,联合免疫疗法的潜在益处并没有得到持续的研究,结果往往不一致。目的:本系统综述的目的是收集和分析临床和实验肿瘤学中以电离辐射为基础的治疗与主要免疫治疗联合治疗转移性前列腺癌的获益和风险的临床证据。方法:我们根据PRISMA-ScR标准,对2000年2月至2024年4月期间的PubMed、Web of science、Embase和Medline数据库进行了系统回顾,检索转移性前列腺癌患者放疗与免疫治疗(RT/IT)相关的I - III期临床试验。结论:我们观察到Ipilimumab与立体定向放射治疗(SBRT)在免疫治疗前约12天(范围2-21)进行8 Gy剂量的联合治疗,试验显示无进展生存期显着增加。此外,我们描述了当免疫疗法与SBRT相关时比放射性核素有更好的客观反应,但177Lu-PSMA-617例外,在几个标准剂量周期后显示出有希望的协同效果,这表明可能增强免疫系统,特别是与抗pd1(派姆单抗)相关时。然而,由于文献中报道的放疗和放射性核素的数据很少,未来的随机试验应该证实这些数据。
本文章由计算机程序翻译,如有差异,请以英文原文为准。

Combinations of treatments based on radiotherapy or radionuclides to enhance immunotherapy efficacy in advanced prostate cancer: a systematic review.

Combinations of treatments based on radiotherapy or radionuclides to enhance immunotherapy efficacy in advanced prostate cancer: a systematic review.

Combinations of treatments based on radiotherapy or radionuclides to enhance immunotherapy efficacy in advanced prostate cancer: a systematic review.

Background: Prostate cancer (PCa) has been considered an immunologically "cold tumor". Indeed, in advanced PCa, immune checkpoint inhibitors (ICIs) or anti-tumor vaccines have shown poor results in phase II and phase III trials with the exception of sipuleucel-T that showed a modest survival benefit. Radiotherapy and Targeted radioisotopes, such as 223Radium or 177Lu-PSMA-617 monotherapy, contributed in prolonging the progression-free survival of PCa patients in second or third line. However, potential benefits of combination with immune therapies were inconstantly investigated and outcomes often were discordant.

Objective: Aim of this systematic review was to gather and analyze clinical evidence about benefits and risks of combining ionizing-radiation-based treatments with the main immunotherapies administed in clinical and experimental oncology for the setting of metastatic PCa.

Methods: We performed a systematic review according to the PRISMA-ScR criteria, investigating PubMed, Web of science, Embase and Medline databases from February 2000 to April 2024, searching for phase I to phase III clinical trials associating radiotherapy with immunotherapy (RT/IT) in metastatic PCa patients.

Conclusion: We observed that combination of Ipilimumab with stereotactic beam radiotherapy (SBRT) at the dose of 8 Gy performed about 12 days (range 2-21) before immunotherapy was liked with trials with a significative gain in progression-free survival. Furtherly, we described better objective responses when immunotherapies, were associated with SBRT than radionuclides An exception was 177Lu-PSMA-617, which showed promising synergic results after few cycles of standard doses, suggesting a possible enhancing of immune system, in particular when associated with anti-PD1 (pembrolizumab). Due to the few data reported in literature, both for radiotherapy and radionuclides, however, future randomized trials should confirm these data.

求助全文
通过发布文献求助,成功后即可免费获取论文全文。 去求助
来源期刊
CiteScore
4.00
自引率
2.80%
发文量
577
审稿时长
2 months
期刊介绍: The "Journal of Cancer Research and Clinical Oncology" publishes significant and up-to-date articles within the fields of experimental and clinical oncology. The journal, which is chiefly devoted to Original papers, also includes Reviews as well as Editorials and Guest editorials on current, controversial topics. The section Letters to the editors provides a forum for a rapid exchange of comments and information concerning previously published papers and topics of current interest. Meeting reports provide current information on the latest results presented at important congresses. The following fields are covered: carcinogenesis - etiology, mechanisms; molecular biology; recent developments in tumor therapy; general diagnosis; laboratory diagnosis; diagnostic and experimental pathology; oncologic surgery; and epidemiology.
×
引用
GB/T 7714-2015
复制
MLA
复制
APA
复制
导出至
BibTeX EndNote RefMan NoteFirst NoteExpress
×
提示
您的信息不完整,为了账户安全,请先补充。
现在去补充
×
提示
您因"违规操作"
具体请查看互助需知
我知道了
×
提示
确定
请完成安全验证×
copy
已复制链接
快去分享给好友吧!
我知道了
右上角分享
点击右上角分享
0
联系我们:info@booksci.cn Book学术提供免费学术资源搜索服务,方便国内外学者检索中英文文献。致力于提供最便捷和优质的服务体验。 Copyright © 2023 布克学术 All rights reserved.
京ICP备2023020795号-1
ghs 京公网安备 11010802042870号
Book学术文献互助
Book学术文献互助群
群 号:604180095
Book学术官方微信