香港老年男女日常生活工具活动轨迹及其预测因素:一项为期14年的前瞻性研究。

IF 3 3区 医学 Q3 GERIATRICS & GERONTOLOGY
Gerontology Pub Date : 2025-01-01 Epub Date: 2025-01-02 DOI:10.1159/000543378
Zhihui Lu, Jason Leung, T W Auyeung, Jenny Lee, Kenneth Lo, King-Son Lai, Kuen Lam, Jean Woo, Timothy Kwok
{"title":"香港老年男女日常生活工具活动轨迹及其预测因素:一项为期14年的前瞻性研究。","authors":"Zhihui Lu, Jason Leung, T W Auyeung, Jenny Lee, Kenneth Lo, King-Son Lai, Kuen Lam, Jean Woo, Timothy Kwok","doi":"10.1159/000543378","DOIUrl":null,"url":null,"abstract":"<p><strong>Introduction: </strong>This study aimed to identify the different patterns of trajectories in instrumental activities of daily living (IADL) in older men and women, respectively, and to examine the factors associated with the different trajectories.</p><p><strong>Methods: </strong>We included 2,088 participants with an average age of 70.8 years at baseline from the MrOS and MsOS Hong Kong cohort study (men: 1,074; women: 1,014) and followed up the participants for over 14 years. The group-based trajectory models were used to identify IADL trajectories. Binary logistic regression and multinominal logistic regression models were used to identify factors associated with different trajectories.</p><p><strong>Results: </strong>Two distinct trajectories were identified for men including \"slow decliners\" (92.6% of men) and \"rapid decliners\" (7.4%), while three distinct trajectories were identified for women including \"slow decliners\" (43.5% of women), \"intermediate decliners\" (48.2%), and \"rapid decliners\" (8.3%). Being overweight or obese and slow walking speed were common predictors of more rapid IADL declining trajectories in both men and women. Particularly, having stroke, weak grip strength, and higher level of PM2.5 were associated with the higher risk of being rapid decliners in men, and having osteoporosis and poor self-rated health were associated with more rapid IADL declining trajectories in women.</p><p><strong>Conclusion: </strong>Sex differences were observed in the IADL declining trajectories. Several risk factors were found that could possibly be useful in identifying and preventing functional impairments in an earlier stage.</p>","PeriodicalId":12662,"journal":{"name":"Gerontology","volume":"71 2","pages":"81-87"},"PeriodicalIF":3.0000,"publicationDate":"2025-01-01","publicationTypes":"Journal Article","fieldsOfStudy":null,"isOpenAccess":false,"openAccessPdf":"https://www.ncbi.nlm.nih.gov/pmc/articles/PMC11854970/pdf/","citationCount":"0","resultStr":"{\"title\":\"Trajectories of Instrumental Activities of Daily Living and Their Predictors among Older Men and Women in Hong Kong: A 14-Year Prospective Study.\",\"authors\":\"Zhihui Lu, Jason Leung, T W Auyeung, Jenny Lee, Kenneth Lo, King-Son Lai, Kuen Lam, Jean Woo, Timothy Kwok\",\"doi\":\"10.1159/000543378\",\"DOIUrl\":null,\"url\":null,\"abstract\":\"<p><strong>Introduction: </strong>This study aimed to identify the different patterns of trajectories in instrumental activities of daily living (IADL) in older men and women, respectively, and to examine the factors associated with the different trajectories.</p><p><strong>Methods: </strong>We included 2,088 participants with an average age of 70.8 years at baseline from the MrOS and MsOS Hong Kong cohort study (men: 1,074; women: 1,014) and followed up the participants for over 14 years. The group-based trajectory models were used to identify IADL trajectories. Binary logistic regression and multinominal logistic regression models were used to identify factors associated with different trajectories.</p><p><strong>Results: </strong>Two distinct trajectories were identified for men including \\\"slow decliners\\\" (92.6% of men) and \\\"rapid decliners\\\" (7.4%), while three distinct trajectories were identified for women including \\\"slow decliners\\\" (43.5% of women), \\\"intermediate decliners\\\" (48.2%), and \\\"rapid decliners\\\" (8.3%). Being overweight or obese and slow walking speed were common predictors of more rapid IADL declining trajectories in both men and women. Particularly, having stroke, weak grip strength, and higher level of PM2.5 were associated with the higher risk of being rapid decliners in men, and having osteoporosis and poor self-rated health were associated with more rapid IADL declining trajectories in women.</p><p><strong>Conclusion: </strong>Sex differences were observed in the IADL declining trajectories. Several risk factors were found that could possibly be useful in identifying and preventing functional impairments in an earlier stage.</p>\",\"PeriodicalId\":12662,\"journal\":{\"name\":\"Gerontology\",\"volume\":\"71 2\",\"pages\":\"81-87\"},\"PeriodicalIF\":3.0000,\"publicationDate\":\"2025-01-01\",\"publicationTypes\":\"Journal Article\",\"fieldsOfStudy\":null,\"isOpenAccess\":false,\"openAccessPdf\":\"https://www.ncbi.nlm.nih.gov/pmc/articles/PMC11854970/pdf/\",\"citationCount\":\"0\",\"resultStr\":null,\"platform\":\"Semanticscholar\",\"paperid\":null,\"PeriodicalName\":\"Gerontology\",\"FirstCategoryId\":\"3\",\"ListUrlMain\":\"https://doi.org/10.1159/000543378\",\"RegionNum\":3,\"RegionCategory\":\"医学\",\"ArticlePicture\":[],\"TitleCN\":null,\"AbstractTextCN\":null,\"PMCID\":null,\"EPubDate\":\"2025/1/2 0:00:00\",\"PubModel\":\"Epub\",\"JCR\":\"Q3\",\"JCRName\":\"GERIATRICS & GERONTOLOGY\",\"Score\":null,\"Total\":0}","platform":"Semanticscholar","paperid":null,"PeriodicalName":"Gerontology","FirstCategoryId":"3","ListUrlMain":"https://doi.org/10.1159/000543378","RegionNum":3,"RegionCategory":"医学","ArticlePicture":[],"TitleCN":null,"AbstractTextCN":null,"PMCID":null,"EPubDate":"2025/1/2 0:00:00","PubModel":"Epub","JCR":"Q3","JCRName":"GERIATRICS & GERONTOLOGY","Score":null,"Total":0}
引用次数: 0

摘要

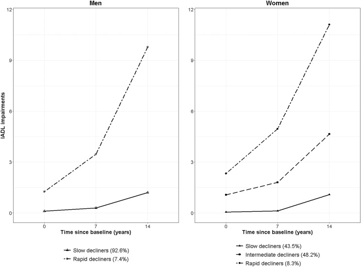
本研究旨在分别确定老年男性和女性日常生活工具活动(IADL)的不同轨迹模式,并研究与不同轨迹相关的因素。方法:我们纳入了来自mro和MsOS香港队列研究的2088名参与者,基线时平均年龄为70.8岁(男性:1074;女性:1014名),并对参与者进行了超过14年的随访。基于组的轨迹模型用于识别IADL轨迹。使用二元逻辑回归和多项逻辑回归模型来识别与不同轨迹相关的因素。结果:男性有两种不同的轨迹,包括“缓慢衰退”(92.6%的男性)和“快速衰退”(7.4%),而女性有三种不同的轨迹,包括“缓慢衰退”(43.5%的女性)、“中间衰退”(48.2%)和“快速衰退”(8.3%)。超重或肥胖和步行速度慢是男性和女性更快速的IADL下降轨迹的常见预测因素。特别是,中风、握力弱和PM2.5水平较高与男性快速下降的风险较高有关,而骨质疏松症和自我评估健康状况不佳与女性更快的IADL下降轨迹有关。结论:IADL的下降轨迹存在性别差异。研究发现,有几个风险因素可能有助于在早期阶段识别和预防功能障碍。
本文章由计算机程序翻译,如有差异,请以英文原文为准。

Trajectories of Instrumental Activities of Daily Living and Their Predictors among Older Men and Women in Hong Kong: A 14-Year Prospective Study.

Trajectories of Instrumental Activities of Daily Living and Their Predictors among Older Men and Women in Hong Kong: A 14-Year Prospective Study.

Introduction: This study aimed to identify the different patterns of trajectories in instrumental activities of daily living (IADL) in older men and women, respectively, and to examine the factors associated with the different trajectories.

Methods: We included 2,088 participants with an average age of 70.8 years at baseline from the MrOS and MsOS Hong Kong cohort study (men: 1,074; women: 1,014) and followed up the participants for over 14 years. The group-based trajectory models were used to identify IADL trajectories. Binary logistic regression and multinominal logistic regression models were used to identify factors associated with different trajectories.

Results: Two distinct trajectories were identified for men including "slow decliners" (92.6% of men) and "rapid decliners" (7.4%), while three distinct trajectories were identified for women including "slow decliners" (43.5% of women), "intermediate decliners" (48.2%), and "rapid decliners" (8.3%). Being overweight or obese and slow walking speed were common predictors of more rapid IADL declining trajectories in both men and women. Particularly, having stroke, weak grip strength, and higher level of PM2.5 were associated with the higher risk of being rapid decliners in men, and having osteoporosis and poor self-rated health were associated with more rapid IADL declining trajectories in women.

Conclusion: Sex differences were observed in the IADL declining trajectories. Several risk factors were found that could possibly be useful in identifying and preventing functional impairments in an earlier stage.

求助全文
通过发布文献求助,成功后即可免费获取论文全文。 去求助
来源期刊
Gerontology
Gerontology 医学-老年医学
CiteScore
6.00
自引率
0.00%
发文量
94
审稿时长
6-12 weeks
期刊介绍: In view of the ever-increasing fraction of elderly people, understanding the mechanisms of aging and age-related diseases has become a matter of urgent necessity. ''Gerontology'', the oldest journal in the field, responds to this need by drawing topical contributions from multiple disciplines to support the fundamental goals of extending active life and enhancing its quality. The range of papers is classified into four sections. In the Clinical Section, the aetiology, pathogenesis, prevention and treatment of agerelated diseases are discussed from a gerontological rather than a geriatric viewpoint. The Experimental Section contains up-to-date contributions from basic gerontological research. Papers dealing with behavioural development and related topics are placed in the Behavioural Science Section. Basic aspects of regeneration in different experimental biological systems as well as in the context of medical applications are dealt with in a special section that also contains information on technological advances for the elderly. Providing a primary source of high-quality papers covering all aspects of aging in humans and animals, ''Gerontology'' serves as an ideal information tool for all readers interested in the topic of aging from a broad perspective.
×
引用
GB/T 7714-2015
复制
MLA
复制
APA
复制
导出至
BibTeX EndNote RefMan NoteFirst NoteExpress
×
提示
您的信息不完整,为了账户安全,请先补充。
现在去补充
×
提示
您因"违规操作"
具体请查看互助需知
我知道了
×
提示
确定
请完成安全验证×
copy
已复制链接
快去分享给好友吧!
我知道了
右上角分享
点击右上角分享
0
联系我们:info@booksci.cn Book学术提供免费学术资源搜索服务,方便国内外学者检索中英文文献。致力于提供最便捷和优质的服务体验。 Copyright © 2023 布克学术 All rights reserved.
京ICP备2023020795号-1
ghs 京公网安备 11010802042870号
Book学术文献互助
Book学术文献互助群
群 号:604180095
Book学术官方微信