在体外,代谢综合征和代谢功能障碍相关的脂肪变性肝病患者进行为期四周的黎明至黄昏干禁食后,HepG2肝癌细胞增殖减少,体内蛋白质组学变化。

IF 3.3 3区 医学 Q2 BIOCHEMICAL RESEARCH METHODS
Ayse L Mindikoglu, Kristin Eckel-Mahan, Antone R Opekun, Mustafa M Alzubaidi, Zoe R Crochet, Prasun K Jalal, Sung Yun Jung
{"title":"在体外,代谢综合征和代谢功能障碍相关的脂肪变性肝病患者进行为期四周的黎明至黄昏干禁食后,HepG2肝癌细胞增殖减少,体内蛋白质组学变化。","authors":"Ayse L Mindikoglu, Kristin Eckel-Mahan, Antone R Opekun, Mustafa M Alzubaidi, Zoe R Crochet, Prasun K Jalal, Sung Yun Jung","doi":"10.1186/s12014-025-09547-3","DOIUrl":null,"url":null,"abstract":"<p><strong>Background: </strong>Four-week dawn-to-dusk dry fasting (DDDF) was previously shown to have a potent anti-inflammatory effect and induce an anti-tumorigenic proteome in the serum and peripheral blood mononuclear cells in subjects without cancer. The study goal was to determine if serum obtained from these subjects without cancer who underwent 4-week DDDF has an anti-tumorigenic effect.</p><p><strong>Methods: </strong>HepG2 cells were treated with serum collected from four individuals with metabolic syndrome and metabolic dysfunction-associated steatotic liver disease (MASLD) and four healthy individuals who performed 4-week DDDF. The objective was to assess cell proliferation/viability in HepG2 cells treated with non-fasted and dry-fasted serum and determine proteomic changes in human serum. We comparatively performed 3-[4,5-dimethylthiazol-2-yl]-2,5-diphenyltetrazolium bromide (MTT) cell proliferation assay and untargeted proteomic analysis using nano ultra-high performance liquid chromatography coupled with tandem mass spectrometry.</p><p><strong>Results: </strong>Serum collected from 3 out of 4 subjects with metabolic syndrome and MASLD at the end of 4-week DDDF (dry-fasted serum/V2) significantly reduced proliferation/viability in HepG2 cells compared with the serum collected before 4-week DDDF (non-fasted serum/V1). A similar reduction effect on cell proliferation was not observed when HepG2 cells were treated with dry-fasted serum collected from healthy subjects. In addition to the in vitro changes observed, the following circulating gene protein products (GP) demonstrated significant increases or decreases in subjects with metabolic syndrome and MASLD after a 4-week DDDF regimen, compared with their GP levels before the 4-week DDDF: CD248 molecule (mean log2 fold = 8.124, P = 0.001), dipeptidyl peptidase 4 (mean log2 fold = 0.937, P = 0.027), lymphatic vessel endothelial hyaluronan receptor 1 (mean log2 fold = 1.054, P = 0.029), LDL receptor related protein 1 (mean log2 fold = 1.401, P = 0.031), and beta-2-microglobulin (mean log2 fold= -0.977, P = 0.033) at the end of 4-week DDDF compared with the GP levels before 4-week DDDF.</p><p><strong>Conclusion: </strong>This study demonstrated that dry-fasted serum collected from subjects with metabolic syndrome and MASLD decreased HepG2 cell proliferation in vitro and showed that proteomic changes occurred in vivo. These findings suggest that DDDF may be an effective intervention for inducing proteomic responses that could assist in the prevention and adjunct treatment of cancers associated with metabolic syndrome.</p>","PeriodicalId":10468,"journal":{"name":"Clinical proteomics","volume":"22 1","pages":"25"},"PeriodicalIF":3.3000,"publicationDate":"2025-06-24","publicationTypes":"Journal Article","fieldsOfStudy":null,"isOpenAccess":false,"openAccessPdf":"https://www.ncbi.nlm.nih.gov/pmc/articles/PMC12186377/pdf/","citationCount":"0","resultStr":"{\"title\":\"Decreased proliferation of HepG2 liver cancer cells in vitro and exhibited proteomic changes in vivo in subjects with metabolic syndrome and metabolic dysfunction-associated steatotic liver disease who performed four-week dawn-to-dusk dry fasting.\",\"authors\":\"Ayse L Mindikoglu, Kristin Eckel-Mahan, Antone R Opekun, Mustafa M Alzubaidi, Zoe R Crochet, Prasun K Jalal, Sung Yun Jung\",\"doi\":\"10.1186/s12014-025-09547-3\",\"DOIUrl\":null,\"url\":null,\"abstract\":\"<p><strong>Background: </strong>Four-week dawn-to-dusk dry fasting (DDDF) was previously shown to have a potent anti-inflammatory effect and induce an anti-tumorigenic proteome in the serum and peripheral blood mononuclear cells in subjects without cancer. The study goal was to determine if serum obtained from these subjects without cancer who underwent 4-week DDDF has an anti-tumorigenic effect.</p><p><strong>Methods: </strong>HepG2 cells were treated with serum collected from four individuals with metabolic syndrome and metabolic dysfunction-associated steatotic liver disease (MASLD) and four healthy individuals who performed 4-week DDDF. The objective was to assess cell proliferation/viability in HepG2 cells treated with non-fasted and dry-fasted serum and determine proteomic changes in human serum. We comparatively performed 3-[4,5-dimethylthiazol-2-yl]-2,5-diphenyltetrazolium bromide (MTT) cell proliferation assay and untargeted proteomic analysis using nano ultra-high performance liquid chromatography coupled with tandem mass spectrometry.</p><p><strong>Results: </strong>Serum collected from 3 out of 4 subjects with metabolic syndrome and MASLD at the end of 4-week DDDF (dry-fasted serum/V2) significantly reduced proliferation/viability in HepG2 cells compared with the serum collected before 4-week DDDF (non-fasted serum/V1). A similar reduction effect on cell proliferation was not observed when HepG2 cells were treated with dry-fasted serum collected from healthy subjects. In addition to the in vitro changes observed, the following circulating gene protein products (GP) demonstrated significant increases or decreases in subjects with metabolic syndrome and MASLD after a 4-week DDDF regimen, compared with their GP levels before the 4-week DDDF: CD248 molecule (mean log2 fold = 8.124, P = 0.001), dipeptidyl peptidase 4 (mean log2 fold = 0.937, P = 0.027), lymphatic vessel endothelial hyaluronan receptor 1 (mean log2 fold = 1.054, P = 0.029), LDL receptor related protein 1 (mean log2 fold = 1.401, P = 0.031), and beta-2-microglobulin (mean log2 fold= -0.977, P = 0.033) at the end of 4-week DDDF compared with the GP levels before 4-week DDDF.</p><p><strong>Conclusion: </strong>This study demonstrated that dry-fasted serum collected from subjects with metabolic syndrome and MASLD decreased HepG2 cell proliferation in vitro and showed that proteomic changes occurred in vivo. These findings suggest that DDDF may be an effective intervention for inducing proteomic responses that could assist in the prevention and adjunct treatment of cancers associated with metabolic syndrome.</p>\",\"PeriodicalId\":10468,\"journal\":{\"name\":\"Clinical proteomics\",\"volume\":\"22 1\",\"pages\":\"25\"},\"PeriodicalIF\":3.3000,\"publicationDate\":\"2025-06-24\",\"publicationTypes\":\"Journal Article\",\"fieldsOfStudy\":null,\"isOpenAccess\":false,\"openAccessPdf\":\"https://www.ncbi.nlm.nih.gov/pmc/articles/PMC12186377/pdf/\",\"citationCount\":\"0\",\"resultStr\":null,\"platform\":\"Semanticscholar\",\"paperid\":null,\"PeriodicalName\":\"Clinical proteomics\",\"FirstCategoryId\":\"3\",\"ListUrlMain\":\"https://doi.org/10.1186/s12014-025-09547-3\",\"RegionNum\":3,\"RegionCategory\":\"医学\",\"ArticlePicture\":[],\"TitleCN\":null,\"AbstractTextCN\":null,\"PMCID\":null,\"EPubDate\":\"\",\"PubModel\":\"\",\"JCR\":\"Q2\",\"JCRName\":\"BIOCHEMICAL RESEARCH METHODS\",\"Score\":null,\"Total\":0}","platform":"Semanticscholar","paperid":null,"PeriodicalName":"Clinical proteomics","FirstCategoryId":"3","ListUrlMain":"https://doi.org/10.1186/s12014-025-09547-3","RegionNum":3,"RegionCategory":"医学","ArticlePicture":[],"TitleCN":null,"AbstractTextCN":null,"PMCID":null,"EPubDate":"","PubModel":"","JCR":"Q2","JCRName":"BIOCHEMICAL RESEARCH METHODS","Score":null,"Total":0}
引用次数: 0

摘要

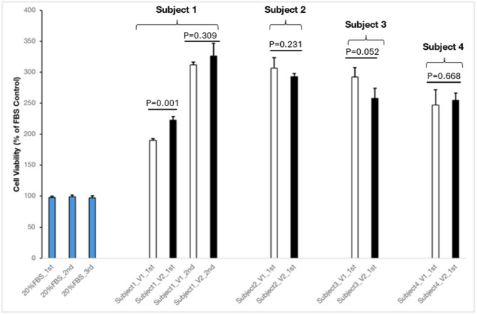
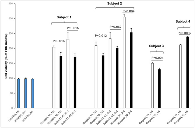
背景:4周的黎明至黄昏干禁食(DDDF)先前被证明具有有效的抗炎作用,并在无癌症受试者的血清和外周血单个核细胞中诱导抗肿瘤蛋白组。研究目的是确定从这些接受4周DDDF治疗的无癌受试者中获得的血清是否具有抗肿瘤作用。方法:用4例代谢综合征和代谢功能障碍相关脂肪变性肝病(MASLD)患者和4例进行4周DDDF的健康人的血清处理HepG2细胞。目的是评估非禁食和干禁食血清处理HepG2细胞的细胞增殖/活力,并确定人血清中蛋白质组学的变化。采用纳米超高效液相色谱-串联质谱联用技术对3-[4,5-二甲基噻唑-2-基]-2,5-二苯基溴化四唑(MTT)细胞增殖试验和非靶向蛋白质组学分析进行了比较。结果:在4周DDDF(干禁食血清/V2)结束时,4例代谢综合征和MASLD患者中有3例的血清与4周DDDF(非禁食血清/V1)前收集的血清相比,HepG2细胞的增殖/活力明显降低。用健康人的干断血清处理HepG2细胞时,未观察到类似的细胞增殖抑制作用。除了在体外观察到的变化外,与4周DDDF治疗前的GP水平相比,代谢综合征和MASLD患者在4周DDDF治疗后的循环基因蛋白产物(GP)水平显著增加或减少:DDDF 4周结束时CD248分子(平均log2倍= 8.124,P = 0.001)、二肽基肽酶4(平均log2倍= 0.937,P = 0.027)、淋巴管内皮透明质酸受体1(平均log2倍= 1.054,P = 0.029)、LDL受体相关蛋白1(平均log2倍= 1.401,P = 0.031)、β -2微球蛋白(平均log2倍= -0.977,P = 0.033)与DDDF 4周前的GP水平比较。结论:本研究表明,代谢综合征和MASLD患者的干断血清在体外降低了HepG2细胞的增殖,并在体内显示出蛋白质组学的变化。这些发现表明,DDDF可能是一种有效的干预手段,可以诱导蛋白质组反应,有助于预防和辅助治疗与代谢综合征相关的癌症。
本文章由计算机程序翻译,如有差异,请以英文原文为准。

Decreased proliferation of HepG2 liver cancer cells in vitro and exhibited proteomic changes in vivo in subjects with metabolic syndrome and metabolic dysfunction-associated steatotic liver disease who performed four-week dawn-to-dusk dry fasting.

Decreased proliferation of HepG2 liver cancer cells in vitro and exhibited proteomic changes in vivo in subjects with metabolic syndrome and metabolic dysfunction-associated steatotic liver disease who performed four-week dawn-to-dusk dry fasting.

Decreased proliferation of HepG2 liver cancer cells in vitro and exhibited proteomic changes in vivo in subjects with metabolic syndrome and metabolic dysfunction-associated steatotic liver disease who performed four-week dawn-to-dusk dry fasting.

Decreased proliferation of HepG2 liver cancer cells in vitro and exhibited proteomic changes in vivo in subjects with metabolic syndrome and metabolic dysfunction-associated steatotic liver disease who performed four-week dawn-to-dusk dry fasting.

Background: Four-week dawn-to-dusk dry fasting (DDDF) was previously shown to have a potent anti-inflammatory effect and induce an anti-tumorigenic proteome in the serum and peripheral blood mononuclear cells in subjects without cancer. The study goal was to determine if serum obtained from these subjects without cancer who underwent 4-week DDDF has an anti-tumorigenic effect.

Methods: HepG2 cells were treated with serum collected from four individuals with metabolic syndrome and metabolic dysfunction-associated steatotic liver disease (MASLD) and four healthy individuals who performed 4-week DDDF. The objective was to assess cell proliferation/viability in HepG2 cells treated with non-fasted and dry-fasted serum and determine proteomic changes in human serum. We comparatively performed 3-[4,5-dimethylthiazol-2-yl]-2,5-diphenyltetrazolium bromide (MTT) cell proliferation assay and untargeted proteomic analysis using nano ultra-high performance liquid chromatography coupled with tandem mass spectrometry.

Results: Serum collected from 3 out of 4 subjects with metabolic syndrome and MASLD at the end of 4-week DDDF (dry-fasted serum/V2) significantly reduced proliferation/viability in HepG2 cells compared with the serum collected before 4-week DDDF (non-fasted serum/V1). A similar reduction effect on cell proliferation was not observed when HepG2 cells were treated with dry-fasted serum collected from healthy subjects. In addition to the in vitro changes observed, the following circulating gene protein products (GP) demonstrated significant increases or decreases in subjects with metabolic syndrome and MASLD after a 4-week DDDF regimen, compared with their GP levels before the 4-week DDDF: CD248 molecule (mean log2 fold = 8.124, P = 0.001), dipeptidyl peptidase 4 (mean log2 fold = 0.937, P = 0.027), lymphatic vessel endothelial hyaluronan receptor 1 (mean log2 fold = 1.054, P = 0.029), LDL receptor related protein 1 (mean log2 fold = 1.401, P = 0.031), and beta-2-microglobulin (mean log2 fold= -0.977, P = 0.033) at the end of 4-week DDDF compared with the GP levels before 4-week DDDF.

Conclusion: This study demonstrated that dry-fasted serum collected from subjects with metabolic syndrome and MASLD decreased HepG2 cell proliferation in vitro and showed that proteomic changes occurred in vivo. These findings suggest that DDDF may be an effective intervention for inducing proteomic responses that could assist in the prevention and adjunct treatment of cancers associated with metabolic syndrome.

求助全文
通过发布文献求助,成功后即可免费获取论文全文。 去求助
来源期刊
Clinical proteomics
Clinical proteomics BIOCHEMICAL RESEARCH METHODS-
CiteScore
5.80
自引率
2.60%
发文量
37
审稿时长
17 weeks
期刊介绍: Clinical Proteomics encompasses all aspects of translational proteomics. Special emphasis will be placed on the application of proteomic technology to all aspects of clinical research and molecular medicine. The journal is committed to rapid scientific review and timely publication of submitted manuscripts.
×
引用
GB/T 7714-2015
复制
MLA
复制
APA
复制
导出至
BibTeX EndNote RefMan NoteFirst NoteExpress
×
提示
您的信息不完整,为了账户安全,请先补充。
现在去补充
×
提示
您因"违规操作"
具体请查看互助需知
我知道了
×
提示
确定
请完成安全验证×
copy
已复制链接
快去分享给好友吧!
我知道了
右上角分享
点击右上角分享
0
联系我们:info@booksci.cn Book学术提供免费学术资源搜索服务,方便国内外学者检索中英文文献。致力于提供最便捷和优质的服务体验。 Copyright © 2023 布克学术 All rights reserved.
京ICP备2023020795号-1
ghs 京公网安备 11010802042870号
Book学术文献互助
Book学术文献互助群
群 号:604180095
Book学术官方微信