优先收集海洋生物多样性数据,实现海洋可持续发展。

IF 8.9 1区 地球科学 Q1 ENVIRONMENTAL SCIENCES
Communications Earth & Environment Pub Date : 2025-01-01 Epub Date: 2025-06-18 DOI:10.1038/s43247-025-02442-7
Amelia E H Bridges, Kerry L Howell
{"title":"优先收集海洋生物多样性数据,实现海洋可持续发展。","authors":"Amelia E H Bridges, Kerry L Howell","doi":"10.1038/s43247-025-02442-7","DOIUrl":null,"url":null,"abstract":"<p><p>Fundamental ecological questions about the distribution of ocean life remain unanswered, hindering both the effective management of the ocean, and our comprehension of life on this planet. The benthic and pelagic realms are subject to different methods of study, and to understand where to best focus effort, a thorough understanding of existing information is required, allowing identification of critical knowledge gaps. Open-access data repositories provide a valuable means to identify such gaps; however, these repositories are subject to challenges in separating benthic from pelagic data. Here we demonstrate an automated data pipeline for extracting and separating benthic from pelagic data in open-access repositories. By stratifying data against essential ocean variables in a critical gap analysis, we show that large spatial and taxonomic biases exist in both the benthic and pelagic global datasets, favouring depths shallower than ~100 m, the northern hemisphere, and vertebrate species. The newly compiled, cleaned, and classified dataset is used to identify areas of chronic under sampling and high-priority regions for exploration. We argue that coordinated strategic prioritisation of sampling is needed to support modelling and prediction, enabling us to better manage our oceans and comprehend life on Earth.</p>","PeriodicalId":10530,"journal":{"name":"Communications Earth & Environment","volume":"6 1","pages":"473"},"PeriodicalIF":8.9000,"publicationDate":"2025-01-01","publicationTypes":"Journal Article","fieldsOfStudy":null,"isOpenAccess":false,"openAccessPdf":"https://www.ncbi.nlm.nih.gov/pmc/articles/PMC12176621/pdf/","citationCount":"0","resultStr":"{\"title\":\"Prioritisation of ocean biodiversity data collection to deliver a sustainable ocean.\",\"authors\":\"Amelia E H Bridges, Kerry L Howell\",\"doi\":\"10.1038/s43247-025-02442-7\",\"DOIUrl\":null,\"url\":null,\"abstract\":\"<p><p>Fundamental ecological questions about the distribution of ocean life remain unanswered, hindering both the effective management of the ocean, and our comprehension of life on this planet. The benthic and pelagic realms are subject to different methods of study, and to understand where to best focus effort, a thorough understanding of existing information is required, allowing identification of critical knowledge gaps. Open-access data repositories provide a valuable means to identify such gaps; however, these repositories are subject to challenges in separating benthic from pelagic data. Here we demonstrate an automated data pipeline for extracting and separating benthic from pelagic data in open-access repositories. By stratifying data against essential ocean variables in a critical gap analysis, we show that large spatial and taxonomic biases exist in both the benthic and pelagic global datasets, favouring depths shallower than ~100 m, the northern hemisphere, and vertebrate species. The newly compiled, cleaned, and classified dataset is used to identify areas of chronic under sampling and high-priority regions for exploration. We argue that coordinated strategic prioritisation of sampling is needed to support modelling and prediction, enabling us to better manage our oceans and comprehend life on Earth.</p>\",\"PeriodicalId\":10530,\"journal\":{\"name\":\"Communications Earth & Environment\",\"volume\":\"6 1\",\"pages\":\"473\"},\"PeriodicalIF\":8.9000,\"publicationDate\":\"2025-01-01\",\"publicationTypes\":\"Journal Article\",\"fieldsOfStudy\":null,\"isOpenAccess\":false,\"openAccessPdf\":\"https://www.ncbi.nlm.nih.gov/pmc/articles/PMC12176621/pdf/\",\"citationCount\":\"0\",\"resultStr\":null,\"platform\":\"Semanticscholar\",\"paperid\":null,\"PeriodicalName\":\"Communications Earth & Environment\",\"FirstCategoryId\":\"93\",\"ListUrlMain\":\"https://doi.org/10.1038/s43247-025-02442-7\",\"RegionNum\":1,\"RegionCategory\":\"地球科学\",\"ArticlePicture\":[],\"TitleCN\":null,\"AbstractTextCN\":null,\"PMCID\":null,\"EPubDate\":\"2025/6/18 0:00:00\",\"PubModel\":\"Epub\",\"JCR\":\"Q1\",\"JCRName\":\"ENVIRONMENTAL SCIENCES\",\"Score\":null,\"Total\":0}","platform":"Semanticscholar","paperid":null,"PeriodicalName":"Communications Earth & Environment","FirstCategoryId":"93","ListUrlMain":"https://doi.org/10.1038/s43247-025-02442-7","RegionNum":1,"RegionCategory":"地球科学","ArticlePicture":[],"TitleCN":null,"AbstractTextCN":null,"PMCID":null,"EPubDate":"2025/6/18 0:00:00","PubModel":"Epub","JCR":"Q1","JCRName":"ENVIRONMENTAL SCIENCES","Score":null,"Total":0}
引用次数: 0

摘要

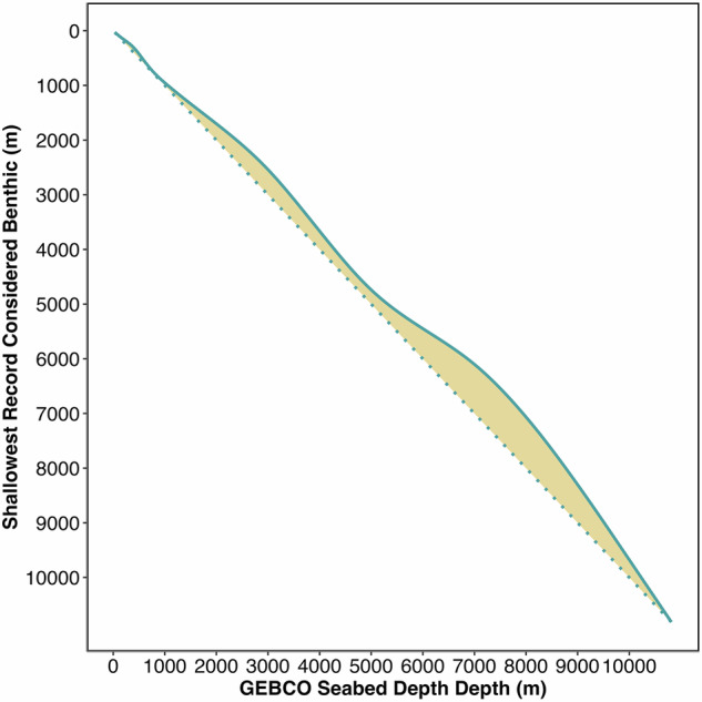
关于海洋生物分布的基本生态问题仍然没有答案,这既阻碍了对海洋的有效管理,也阻碍了我们对这个星球上生命的理解。底栖生物和远洋生物领域采用不同的研究方法,为了了解在哪里最能集中精力,需要彻底了解现有信息,从而确定关键的知识差距。开放存取数据存储库为识别此类差距提供了宝贵的手段;然而,这些存储库在分离底栖生物和远洋生物数据方面面临挑战。在这里,我们演示了一个自动数据管道,用于在开放访问存储库中提取和分离底栖和远洋数据。通过对关键海洋变量进行分层分析,我们发现底栖和远洋全球数据集存在较大的空间和分类偏差,有利于浅于~100 m的深度,北半球和脊椎动物物种。新编译、清理和分类的数据集用于识别长期采样不足的区域和高优先级的勘探区域。我们认为,需要协调采样的战略优先级来支持建模和预测,使我们能够更好地管理我们的海洋并了解地球上的生命。
本文章由计算机程序翻译,如有差异,请以英文原文为准。

Prioritisation of ocean biodiversity data collection to deliver a sustainable ocean.

Prioritisation of ocean biodiversity data collection to deliver a sustainable ocean.

Prioritisation of ocean biodiversity data collection to deliver a sustainable ocean.

Prioritisation of ocean biodiversity data collection to deliver a sustainable ocean.

Fundamental ecological questions about the distribution of ocean life remain unanswered, hindering both the effective management of the ocean, and our comprehension of life on this planet. The benthic and pelagic realms are subject to different methods of study, and to understand where to best focus effort, a thorough understanding of existing information is required, allowing identification of critical knowledge gaps. Open-access data repositories provide a valuable means to identify such gaps; however, these repositories are subject to challenges in separating benthic from pelagic data. Here we demonstrate an automated data pipeline for extracting and separating benthic from pelagic data in open-access repositories. By stratifying data against essential ocean variables in a critical gap analysis, we show that large spatial and taxonomic biases exist in both the benthic and pelagic global datasets, favouring depths shallower than ~100 m, the northern hemisphere, and vertebrate species. The newly compiled, cleaned, and classified dataset is used to identify areas of chronic under sampling and high-priority regions for exploration. We argue that coordinated strategic prioritisation of sampling is needed to support modelling and prediction, enabling us to better manage our oceans and comprehend life on Earth.

求助全文
通过发布文献求助,成功后即可免费获取论文全文。 去求助
来源期刊
Communications Earth & Environment
Communications Earth & Environment Earth and Planetary Sciences-General Earth and Planetary Sciences
CiteScore
8.60
自引率
2.50%
发文量
269
审稿时长
26 weeks
期刊介绍: Communications Earth & Environment is an open access journal from Nature Portfolio publishing high-quality research, reviews and commentary in all areas of the Earth, environmental and planetary sciences. Research papers published by the journal represent significant advances that bring new insight to a specialized area in Earth science, planetary science or environmental science. Communications Earth & Environment has a 2-year impact factor of 7.9 (2022 Journal Citation Reports®). Articles published in the journal in 2022 were downloaded 1,412,858 times. Median time from submission to the first editorial decision is 8 days.
×
引用
GB/T 7714-2015
复制
MLA
复制
APA
复制
导出至
BibTeX EndNote RefMan NoteFirst NoteExpress
×
提示
您的信息不完整,为了账户安全,请先补充。
现在去补充
×
提示
您因"违规操作"
具体请查看互助需知
我知道了
×
提示
确定
请完成安全验证×
copy
已复制链接
快去分享给好友吧!
我知道了
右上角分享
点击右上角分享
0
联系我们:info@booksci.cn Book学术提供免费学术资源搜索服务,方便国内外学者检索中英文文献。致力于提供最便捷和优质的服务体验。 Copyright © 2023 布克学术 All rights reserved.
京ICP备2023020795号-1
ghs 京公网安备 11010802042870号
Book学术文献互助
Book学术文献互助群
群 号:604180095
Book学术官方微信