维生素A缺乏的印度和富含维生素A的食物的季节性消费。

IF 3 3区 医学 Q2 NUTRITION & DIETETICS
British Journal of Nutrition Pub Date : 2025-06-28 Epub Date: 2025-06-23 DOI:10.1017/S0007114525103681
Rupinder Sahota, Fanny Sandalinas, Christopher Chagumaira, Robert Johnston, Jaswant S Khokhar, R Murray Lark, Arindam Das, Edward J M Joy, E Louise Ander
{"title":"维生素A缺乏的印度和富含维生素A的食物的季节性消费。","authors":"Rupinder Sahota, Fanny Sandalinas, Christopher Chagumaira, Robert Johnston, Jaswant S Khokhar, R Murray Lark, Arindam Das, Edward J M Joy, E Louise Ander","doi":"10.1017/S0007114525103681","DOIUrl":null,"url":null,"abstract":"<p><p>Vitamin A deficiency (VAD) poses significant health risks and is prevalent in children and adolescents in India. This study aimed to determine the effect of seasonal variation and availability of vitamin A-rich (VA-rich) foods on serum retinol in adolescents. Data on serum retinol levels from adolescents (<i>n</i> 2297, mean age 14 years) from the Comprehensive National Nutrition Survey (2016-2018) in India were analysed, with VAD defined as serum retinol < 0·7 µmol/L. Five states were selected based on a comparable under-five mortality rate and the seasonal spread of the data collection period. Dietary data from adolescents and children ≤ 4 years old were used to assess VA-rich food consumption. A linear mixed model framework was employed to analyse the relationship between serum retinol, month of the year and VA-rich food consumption, with <i>a priori</i> ranking to control for multiple hypothesis testing. Consumption of VA-rich foods, particularly fruits and vegetables/roots and tubers, showed seasonal patterns, with higher consumption during summer and monsoon months. Significant associations were found between serum retinol concentrations and age, month of sampling, consumption of VA-rich foods and fish. VAD prevalence was lowest in August, coinciding with higher consumption of VA-rich fruits and foods. Findings highlight the importance of considering seasonality in assessing VAD prevalence and careful interpretation of survey findings. Intentional design, analysis and reporting of surveys to capture seasonal variation is crucial for accurate assessment and interpretation of VAD prevalence, including during monitoring and evaluation of programmes, and to ensure that public health strategies are appropriately informed.</p>","PeriodicalId":9257,"journal":{"name":"British Journal of Nutrition","volume":" ","pages":"1522-1531"},"PeriodicalIF":3.0000,"publicationDate":"2025-06-28","publicationTypes":"Journal Article","fieldsOfStudy":null,"isOpenAccess":false,"openAccessPdf":"https://www.ncbi.nlm.nih.gov/pmc/articles/PMC12335917/pdf/","citationCount":"0","resultStr":"{\"title\":\"Vitamin A deficiency in India and seasonality of vitamin A-rich food consumption.\",\"authors\":\"Rupinder Sahota, Fanny Sandalinas, Christopher Chagumaira, Robert Johnston, Jaswant S Khokhar, R Murray Lark, Arindam Das, Edward J M Joy, E Louise Ander\",\"doi\":\"10.1017/S0007114525103681\",\"DOIUrl\":null,\"url\":null,\"abstract\":\"<p><p>Vitamin A deficiency (VAD) poses significant health risks and is prevalent in children and adolescents in India. This study aimed to determine the effect of seasonal variation and availability of vitamin A-rich (VA-rich) foods on serum retinol in adolescents. Data on serum retinol levels from adolescents (<i>n</i> 2297, mean age 14 years) from the Comprehensive National Nutrition Survey (2016-2018) in India were analysed, with VAD defined as serum retinol < 0·7 µmol/L. Five states were selected based on a comparable under-five mortality rate and the seasonal spread of the data collection period. Dietary data from adolescents and children ≤ 4 years old were used to assess VA-rich food consumption. A linear mixed model framework was employed to analyse the relationship between serum retinol, month of the year and VA-rich food consumption, with <i>a priori</i> ranking to control for multiple hypothesis testing. Consumption of VA-rich foods, particularly fruits and vegetables/roots and tubers, showed seasonal patterns, with higher consumption during summer and monsoon months. Significant associations were found between serum retinol concentrations and age, month of sampling, consumption of VA-rich foods and fish. VAD prevalence was lowest in August, coinciding with higher consumption of VA-rich fruits and foods. Findings highlight the importance of considering seasonality in assessing VAD prevalence and careful interpretation of survey findings. Intentional design, analysis and reporting of surveys to capture seasonal variation is crucial for accurate assessment and interpretation of VAD prevalence, including during monitoring and evaluation of programmes, and to ensure that public health strategies are appropriately informed.</p>\",\"PeriodicalId\":9257,\"journal\":{\"name\":\"British Journal of Nutrition\",\"volume\":\" \",\"pages\":\"1522-1531\"},\"PeriodicalIF\":3.0000,\"publicationDate\":\"2025-06-28\",\"publicationTypes\":\"Journal Article\",\"fieldsOfStudy\":null,\"isOpenAccess\":false,\"openAccessPdf\":\"https://www.ncbi.nlm.nih.gov/pmc/articles/PMC12335917/pdf/\",\"citationCount\":\"0\",\"resultStr\":null,\"platform\":\"Semanticscholar\",\"paperid\":null,\"PeriodicalName\":\"British Journal of Nutrition\",\"FirstCategoryId\":\"3\",\"ListUrlMain\":\"https://doi.org/10.1017/S0007114525103681\",\"RegionNum\":3,\"RegionCategory\":\"医学\",\"ArticlePicture\":[],\"TitleCN\":null,\"AbstractTextCN\":null,\"PMCID\":null,\"EPubDate\":\"2025/6/23 0:00:00\",\"PubModel\":\"Epub\",\"JCR\":\"Q2\",\"JCRName\":\"NUTRITION & DIETETICS\",\"Score\":null,\"Total\":0}","platform":"Semanticscholar","paperid":null,"PeriodicalName":"British Journal of Nutrition","FirstCategoryId":"3","ListUrlMain":"https://doi.org/10.1017/S0007114525103681","RegionNum":3,"RegionCategory":"医学","ArticlePicture":[],"TitleCN":null,"AbstractTextCN":null,"PMCID":null,"EPubDate":"2025/6/23 0:00:00","PubModel":"Epub","JCR":"Q2","JCRName":"NUTRITION & DIETETICS","Score":null,"Total":0}
引用次数: 0

摘要

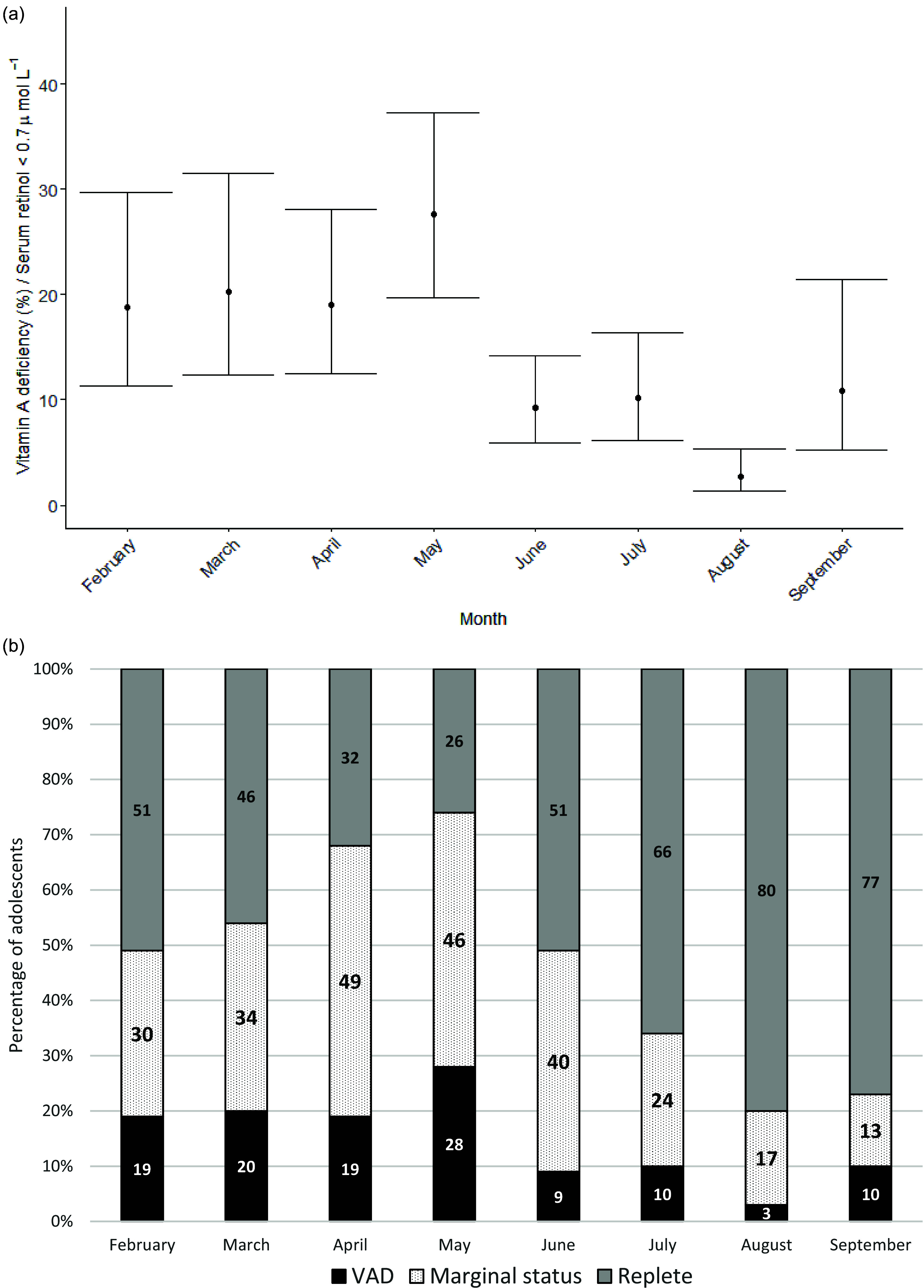
维生素A缺乏症(VAD)对健康构成重大威胁,在印度儿童和青少年中普遍存在。本研究旨在确定季节变化和富含维生素A食物(VA-rich)的可得性对青少年血清视黄醇的影响。分析了印度全国综合营养调查(2016-2018)中青少年(n= 2297,平均年龄14岁)的血清视黄醇水平数据,将VAD定义为血清视黄醇-1。根据可比较的五岁以下儿童死亡率和数据收集期的季节性分布选择了五个州。来自青少年和≤4岁儿童的饮食数据被用来评估富含va的食物消费。采用线性混合模型框架分析血清视黄醇、月份与富含va食物摄入量之间的关系,并采用先验排序来控制多重假设检验。富含维生素a的食物,特别是水果和蔬菜/块根和块茎的消费呈现季节性模式,夏季和季风月份的消费量较高。血清视黄醇浓度与年龄、取样月份、食用富含维生素a的食物和鱼类之间存在显著关联。VAD患病率在8月份最低,与富含维生素a的水果和食物的消费量增加相一致。研究结果强调了在评估VAD患病率和仔细解释调查结果时考虑季节性的重要性。有意设计、分析和报告调查,以捕捉季节变化,对于准确评估和解释VAD流行情况至关重要,包括在监测和评价规划期间,并确保适当告知公共卫生战略。
本文章由计算机程序翻译,如有差异,请以英文原文为准。

Vitamin A deficiency in India and seasonality of vitamin A-rich food consumption.

Vitamin A deficiency in India and seasonality of vitamin A-rich food consumption.

Vitamin A deficiency in India and seasonality of vitamin A-rich food consumption.

Vitamin A deficiency in India and seasonality of vitamin A-rich food consumption.

Vitamin A deficiency (VAD) poses significant health risks and is prevalent in children and adolescents in India. This study aimed to determine the effect of seasonal variation and availability of vitamin A-rich (VA-rich) foods on serum retinol in adolescents. Data on serum retinol levels from adolescents (n 2297, mean age 14 years) from the Comprehensive National Nutrition Survey (2016-2018) in India were analysed, with VAD defined as serum retinol < 0·7 µmol/L. Five states were selected based on a comparable under-five mortality rate and the seasonal spread of the data collection period. Dietary data from adolescents and children ≤ 4 years old were used to assess VA-rich food consumption. A linear mixed model framework was employed to analyse the relationship between serum retinol, month of the year and VA-rich food consumption, with a priori ranking to control for multiple hypothesis testing. Consumption of VA-rich foods, particularly fruits and vegetables/roots and tubers, showed seasonal patterns, with higher consumption during summer and monsoon months. Significant associations were found between serum retinol concentrations and age, month of sampling, consumption of VA-rich foods and fish. VAD prevalence was lowest in August, coinciding with higher consumption of VA-rich fruits and foods. Findings highlight the importance of considering seasonality in assessing VAD prevalence and careful interpretation of survey findings. Intentional design, analysis and reporting of surveys to capture seasonal variation is crucial for accurate assessment and interpretation of VAD prevalence, including during monitoring and evaluation of programmes, and to ensure that public health strategies are appropriately informed.

求助全文
通过发布文献求助,成功后即可免费获取论文全文。 去求助
来源期刊
British Journal of Nutrition
British Journal of Nutrition 医学-营养学
CiteScore
6.60
自引率
5.60%
发文量
740
审稿时长
3 months
期刊介绍: British Journal of Nutrition is a leading international peer-reviewed journal covering research on human and clinical nutrition, animal nutrition and basic science as applied to nutrition. The Journal recognises the multidisciplinary nature of nutritional science and includes material from all of the specialities involved in nutrition research, including molecular and cell biology and nutritional genomics.
×
引用
GB/T 7714-2015
复制
MLA
复制
APA
复制
导出至
BibTeX EndNote RefMan NoteFirst NoteExpress
×
提示
您的信息不完整,为了账户安全,请先补充。
现在去补充
×
提示
您因"违规操作"
具体请查看互助需知
我知道了
×
提示
确定
请完成安全验证×
copy
已复制链接
快去分享给好友吧!
我知道了
右上角分享
点击右上角分享
0
联系我们:info@booksci.cn Book学术提供免费学术资源搜索服务,方便国内外学者检索中英文文献。致力于提供最便捷和优质的服务体验。 Copyright © 2023 布克学术 All rights reserved.
京ICP备2023020795号-1
ghs 京公网安备 11010802042870号
Book学术文献互助
Book学术文献互助群
群 号:604180095
Book学术官方微信