低分子肝素在COVID-19住院患者静脉血栓栓塞预防中的实际应用:一项来自中国的多中心前瞻性研究

IF 2.2 4区 医学 Q2 HEMATOLOGY
Feiya Xu, Yuzhi Tao, Lijun Chen, Yunhui Zhang, Binliang Wang, Jing Han, Chaosheng Deng, Weijia Liu, Guohui Fan, Rui Liang, Zhaofei Chen, Yinong Chen, Kaiyuan Zhen, Yunxia Zhang, Zhu Zhang, Shuai Zhang, Jun Wan, Wanmu Xie, Peiran Yang, YuTing Kang, Dingyi Wang, Chen Wang, Zhenguo Zhai
{"title":"低分子肝素在COVID-19住院患者静脉血栓栓塞预防中的实际应用:一项来自中国的多中心前瞻性研究","authors":"Feiya Xu, Yuzhi Tao, Lijun Chen, Yunhui Zhang, Binliang Wang, Jing Han, Chaosheng Deng, Weijia Liu, Guohui Fan, Rui Liang, Zhaofei Chen, Yinong Chen, Kaiyuan Zhen, Yunxia Zhang, Zhu Zhang, Shuai Zhang, Jun Wan, Wanmu Xie, Peiran Yang, YuTing Kang, Dingyi Wang, Chen Wang, Zhenguo Zhai","doi":"10.1186/s12959-025-00741-9","DOIUrl":null,"url":null,"abstract":"<p><strong>Background: </strong>Effective thromboprophylaxis is critical to reducing mortality and improving clinical outcomes in COVID-19 patients. Despite guidelines recommending prophylactic anticoagulation, particularly for those in intensive care, real-world adherence and optimal venous thromboembolism (VTE) prevention strategies remain challenging, particularly in populations with complex comorbidities.</p><p><strong>Methods: </strong>A prospective study was conducted on patients hospitalized with moderate, severe, and critical COVID-19 in six Chinese hospitals during the Omicron pandemic (December 2022-January 2023). The dose and duration of low-molecular-weight heparin (LMWH) were recorded. VTE, all-cause mortality and major bleeding events during hospitalization and 90-days follow-up were analyzed as endpoints.</p><p><strong>Results: </strong>Among 4,236 COVID-19 patients, 1575 (37.09%) received LMWH prophylaxis, with 592 (37.6%) receiving reduced dosage (< 4000IU/24 h). The multivariable logistic regression model revealed that age ≥ 65, elevated D-dimer levels, severely ill at admission and concomitant use of antiviral drugs or corticosteroids were the main factors influencing the initiation of LMWH thromboprophylaxis in hospitalized COVID-19 patients. Patients who were critically ill at admission were more likely to receive reduced doses of LMWH. The duration of thromboprophylaxis over 7 days was associated with reduced estimated glomerular filtration rate (eGFR) and concomitant use of antiviral drugs or corticosteroid, whereas shorter durations were observed in patients with platelet less than 100*10<sup>9</sup>/L and anemia.</p><p><strong>Conclusion: </strong>Real-world thromboprophylaxis in hospitalized COVID-19 patients vary widely, with a significant proportion receiving lower-than-conventional doses of LMWH. There is a need for individualized thromboprophylaxis strategies that consider patient-specific factors such as disease severity, renal function, low platelet and anemia to optimize outcomes.</p>","PeriodicalId":22982,"journal":{"name":"Thrombosis Journal","volume":"23 1","pages":"69"},"PeriodicalIF":2.2000,"publicationDate":"2025-06-20","publicationTypes":"Journal Article","fieldsOfStudy":null,"isOpenAccess":false,"openAccessPdf":"https://www.ncbi.nlm.nih.gov/pmc/articles/PMC12181860/pdf/","citationCount":"0","resultStr":"{\"title\":\"Real-world practices of low-molecular-weight heparin for venous thromboembolism prophylaxis in patients hospitalized with COVID-19: a multicenter prospective study from China.\",\"authors\":\"Feiya Xu, Yuzhi Tao, Lijun Chen, Yunhui Zhang, Binliang Wang, Jing Han, Chaosheng Deng, Weijia Liu, Guohui Fan, Rui Liang, Zhaofei Chen, Yinong Chen, Kaiyuan Zhen, Yunxia Zhang, Zhu Zhang, Shuai Zhang, Jun Wan, Wanmu Xie, Peiran Yang, YuTing Kang, Dingyi Wang, Chen Wang, Zhenguo Zhai\",\"doi\":\"10.1186/s12959-025-00741-9\",\"DOIUrl\":null,\"url\":null,\"abstract\":\"<p><strong>Background: </strong>Effective thromboprophylaxis is critical to reducing mortality and improving clinical outcomes in COVID-19 patients. Despite guidelines recommending prophylactic anticoagulation, particularly for those in intensive care, real-world adherence and optimal venous thromboembolism (VTE) prevention strategies remain challenging, particularly in populations with complex comorbidities.</p><p><strong>Methods: </strong>A prospective study was conducted on patients hospitalized with moderate, severe, and critical COVID-19 in six Chinese hospitals during the Omicron pandemic (December 2022-January 2023). The dose and duration of low-molecular-weight heparin (LMWH) were recorded. VTE, all-cause mortality and major bleeding events during hospitalization and 90-days follow-up were analyzed as endpoints.</p><p><strong>Results: </strong>Among 4,236 COVID-19 patients, 1575 (37.09%) received LMWH prophylaxis, with 592 (37.6%) receiving reduced dosage (< 4000IU/24 h). The multivariable logistic regression model revealed that age ≥ 65, elevated D-dimer levels, severely ill at admission and concomitant use of antiviral drugs or corticosteroids were the main factors influencing the initiation of LMWH thromboprophylaxis in hospitalized COVID-19 patients. Patients who were critically ill at admission were more likely to receive reduced doses of LMWH. The duration of thromboprophylaxis over 7 days was associated with reduced estimated glomerular filtration rate (eGFR) and concomitant use of antiviral drugs or corticosteroid, whereas shorter durations were observed in patients with platelet less than 100*10<sup>9</sup>/L and anemia.</p><p><strong>Conclusion: </strong>Real-world thromboprophylaxis in hospitalized COVID-19 patients vary widely, with a significant proportion receiving lower-than-conventional doses of LMWH. There is a need for individualized thromboprophylaxis strategies that consider patient-specific factors such as disease severity, renal function, low platelet and anemia to optimize outcomes.</p>\",\"PeriodicalId\":22982,\"journal\":{\"name\":\"Thrombosis Journal\",\"volume\":\"23 1\",\"pages\":\"69\"},\"PeriodicalIF\":2.2000,\"publicationDate\":\"2025-06-20\",\"publicationTypes\":\"Journal Article\",\"fieldsOfStudy\":null,\"isOpenAccess\":false,\"openAccessPdf\":\"https://www.ncbi.nlm.nih.gov/pmc/articles/PMC12181860/pdf/\",\"citationCount\":\"0\",\"resultStr\":null,\"platform\":\"Semanticscholar\",\"paperid\":null,\"PeriodicalName\":\"Thrombosis Journal\",\"FirstCategoryId\":\"3\",\"ListUrlMain\":\"https://doi.org/10.1186/s12959-025-00741-9\",\"RegionNum\":4,\"RegionCategory\":\"医学\",\"ArticlePicture\":[],\"TitleCN\":null,\"AbstractTextCN\":null,\"PMCID\":null,\"EPubDate\":\"\",\"PubModel\":\"\",\"JCR\":\"Q2\",\"JCRName\":\"HEMATOLOGY\",\"Score\":null,\"Total\":0}","platform":"Semanticscholar","paperid":null,"PeriodicalName":"Thrombosis Journal","FirstCategoryId":"3","ListUrlMain":"https://doi.org/10.1186/s12959-025-00741-9","RegionNum":4,"RegionCategory":"医学","ArticlePicture":[],"TitleCN":null,"AbstractTextCN":null,"PMCID":null,"EPubDate":"","PubModel":"","JCR":"Q2","JCRName":"HEMATOLOGY","Score":null,"Total":0}
引用次数: 0

摘要

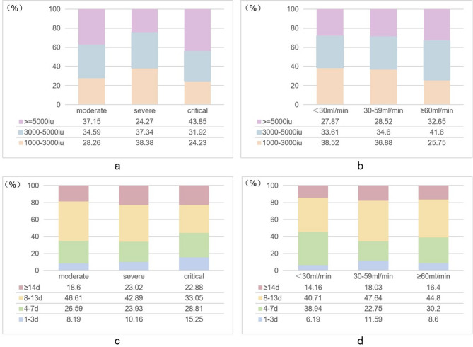
背景:有效的血栓预防对于降低COVID-19患者的死亡率和改善临床结果至关重要。尽管指南推荐预防性抗凝,特别是对于重症监护患者,但现实世界的依从性和最佳静脉血栓栓塞(VTE)预防策略仍然具有挑战性,特别是在具有复杂合并症的人群中。方法:对中国6家医院在欧米克隆大流行期间(2022年12月- 2023年1月)住院的中、重度和危重型COVID-19患者进行前瞻性研究。记录低分子肝素(LMWH)的剂量和持续时间。静脉血栓栓塞、全因死亡率和住院期间及90天随访期间大出血事件作为终点进行分析。结果:在4236例COVID-19患者中,1575例(37.09%)接受了低分子肝素预防,592例(37.6%)接受了减剂量(9/L)和贫血。结论:COVID-19住院患者的现实血栓预防差异很大,低分子肝素低于常规剂量的比例很大。需要个性化的血栓预防策略,考虑患者的特定因素,如疾病严重程度、肾功能、低血小板和贫血,以优化结果。
本文章由计算机程序翻译,如有差异,请以英文原文为准。

Real-world practices of low-molecular-weight heparin for venous thromboembolism prophylaxis in patients hospitalized with COVID-19: a multicenter prospective study from China.

Real-world practices of low-molecular-weight heparin for venous thromboembolism prophylaxis in patients hospitalized with COVID-19: a multicenter prospective study from China.

Real-world practices of low-molecular-weight heparin for venous thromboembolism prophylaxis in patients hospitalized with COVID-19: a multicenter prospective study from China.

Background: Effective thromboprophylaxis is critical to reducing mortality and improving clinical outcomes in COVID-19 patients. Despite guidelines recommending prophylactic anticoagulation, particularly for those in intensive care, real-world adherence and optimal venous thromboembolism (VTE) prevention strategies remain challenging, particularly in populations with complex comorbidities.

Methods: A prospective study was conducted on patients hospitalized with moderate, severe, and critical COVID-19 in six Chinese hospitals during the Omicron pandemic (December 2022-January 2023). The dose and duration of low-molecular-weight heparin (LMWH) were recorded. VTE, all-cause mortality and major bleeding events during hospitalization and 90-days follow-up were analyzed as endpoints.

Results: Among 4,236 COVID-19 patients, 1575 (37.09%) received LMWH prophylaxis, with 592 (37.6%) receiving reduced dosage (< 4000IU/24 h). The multivariable logistic regression model revealed that age ≥ 65, elevated D-dimer levels, severely ill at admission and concomitant use of antiviral drugs or corticosteroids were the main factors influencing the initiation of LMWH thromboprophylaxis in hospitalized COVID-19 patients. Patients who were critically ill at admission were more likely to receive reduced doses of LMWH. The duration of thromboprophylaxis over 7 days was associated with reduced estimated glomerular filtration rate (eGFR) and concomitant use of antiviral drugs or corticosteroid, whereas shorter durations were observed in patients with platelet less than 100*109/L and anemia.

Conclusion: Real-world thromboprophylaxis in hospitalized COVID-19 patients vary widely, with a significant proportion receiving lower-than-conventional doses of LMWH. There is a need for individualized thromboprophylaxis strategies that consider patient-specific factors such as disease severity, renal function, low platelet and anemia to optimize outcomes.

求助全文
通过发布文献求助,成功后即可免费获取论文全文。 去求助
来源期刊
Thrombosis Journal
Thrombosis Journal Medicine-Hematology
CiteScore
3.80
自引率
3.20%
发文量
69
审稿时长
16 weeks
期刊介绍: Thrombosis Journal is an open-access journal that publishes original articles on aspects of clinical and basic research, new methodology, case reports and reviews in the areas of thrombosis. Topics of particular interest include the diagnosis of arterial and venous thrombosis, new antithrombotic treatments, new developments in the understanding, diagnosis and treatments of atherosclerotic vessel disease, relations between haemostasis and vascular disease, hypertension, diabetes, immunology and obesity.
×
引用
GB/T 7714-2015
复制
MLA
复制
APA
复制
导出至
BibTeX EndNote RefMan NoteFirst NoteExpress
×
提示
您的信息不完整,为了账户安全,请先补充。
现在去补充
×
提示
您因"违规操作"
具体请查看互助需知
我知道了
×
提示
确定
请完成安全验证×
copy
已复制链接
快去分享给好友吧!
我知道了
右上角分享
点击右上角分享
0
联系我们:info@booksci.cn Book学术提供免费学术资源搜索服务,方便国内外学者检索中英文文献。致力于提供最便捷和优质的服务体验。 Copyright © 2023 布克学术 All rights reserved.
京ICP备2023020795号-1
ghs 京公网安备 11010802042870号
Book学术文献互助
Book学术文献互助群
群 号:604180095
Book学术官方微信