潜在活性细胞毒性药物香豆素环上新型吡啶嘧啶基团的设计与合成及其对接研究。

IF 3.9 2区 综合性期刊 Q1 MULTIDISCIPLINARY SCIENCES
Nehal A E Youssef, Yasser A Selim, Lina A Shaheen, Ahmed A Fadda, Hatem E Gaffer, Sherihan A El-Hadidy
{"title":"潜在活性细胞毒性药物香豆素环上新型吡啶嘧啶基团的设计与合成及其对接研究。","authors":"Nehal A E Youssef, Yasser A Selim, Lina A Shaheen, Ahmed A Fadda, Hatem E Gaffer, Sherihan A El-Hadidy","doi":"10.1038/s41598-025-05325-1","DOIUrl":null,"url":null,"abstract":"<p><p>Many pyridopyrimidine moieties linked to the coumarin ring were synthesized by the reaction of malononitrile with 7-hydroxy-4-methyl-2-oxo-2 H-chromene-8-carbaldehyde (2) directly in the presence of ammonium acetate and different ketones and studied the effect of other basic catalysis, ratio of reactants and the effect of the solvent. The newly synthesized compounds were evaluated for their cytotoxic activity against four cell lines namely HepG2, WI-38, VERO, and MCF-7. The cytotoxic activity showed that compounds 8, 9, 10, and 7 have the highest activity against the studied cell lines. Focusing on the binding affinity and interactions between the five synthesized derivatives with the highest anticancer activity and specific amino acids of 4HJO residues over the molecular docking analysis. Derivative 10 recorded the highest energy score with good RMSD compared to the rest of the derivatives.</p>","PeriodicalId":21811,"journal":{"name":"Scientific Reports","volume":"15 1","pages":"20155"},"PeriodicalIF":3.9000,"publicationDate":"2025-06-20","publicationTypes":"Journal Article","fieldsOfStudy":null,"isOpenAccess":false,"openAccessPdf":"https://www.ncbi.nlm.nih.gov/pmc/articles/PMC12181260/pdf/","citationCount":"0","resultStr":"{\"title\":\"Design and synthesis of novel pyridopyrimidine moieties linked to coumarin ring of potentially active cytotoxic agents and their docking study.\",\"authors\":\"Nehal A E Youssef, Yasser A Selim, Lina A Shaheen, Ahmed A Fadda, Hatem E Gaffer, Sherihan A El-Hadidy\",\"doi\":\"10.1038/s41598-025-05325-1\",\"DOIUrl\":null,\"url\":null,\"abstract\":\"<p><p>Many pyridopyrimidine moieties linked to the coumarin ring were synthesized by the reaction of malononitrile with 7-hydroxy-4-methyl-2-oxo-2 H-chromene-8-carbaldehyde (2) directly in the presence of ammonium acetate and different ketones and studied the effect of other basic catalysis, ratio of reactants and the effect of the solvent. The newly synthesized compounds were evaluated for their cytotoxic activity against four cell lines namely HepG2, WI-38, VERO, and MCF-7. The cytotoxic activity showed that compounds 8, 9, 10, and 7 have the highest activity against the studied cell lines. Focusing on the binding affinity and interactions between the five synthesized derivatives with the highest anticancer activity and specific amino acids of 4HJO residues over the molecular docking analysis. Derivative 10 recorded the highest energy score with good RMSD compared to the rest of the derivatives.</p>\",\"PeriodicalId\":21811,\"journal\":{\"name\":\"Scientific Reports\",\"volume\":\"15 1\",\"pages\":\"20155\"},\"PeriodicalIF\":3.9000,\"publicationDate\":\"2025-06-20\",\"publicationTypes\":\"Journal Article\",\"fieldsOfStudy\":null,\"isOpenAccess\":false,\"openAccessPdf\":\"https://www.ncbi.nlm.nih.gov/pmc/articles/PMC12181260/pdf/\",\"citationCount\":\"0\",\"resultStr\":null,\"platform\":\"Semanticscholar\",\"paperid\":null,\"PeriodicalName\":\"Scientific Reports\",\"FirstCategoryId\":\"103\",\"ListUrlMain\":\"https://doi.org/10.1038/s41598-025-05325-1\",\"RegionNum\":2,\"RegionCategory\":\"综合性期刊\",\"ArticlePicture\":[],\"TitleCN\":null,\"AbstractTextCN\":null,\"PMCID\":null,\"EPubDate\":\"\",\"PubModel\":\"\",\"JCR\":\"Q1\",\"JCRName\":\"MULTIDISCIPLINARY SCIENCES\",\"Score\":null,\"Total\":0}","platform":"Semanticscholar","paperid":null,"PeriodicalName":"Scientific Reports","FirstCategoryId":"103","ListUrlMain":"https://doi.org/10.1038/s41598-025-05325-1","RegionNum":2,"RegionCategory":"综合性期刊","ArticlePicture":[],"TitleCN":null,"AbstractTextCN":null,"PMCID":null,"EPubDate":"","PubModel":"","JCR":"Q1","JCRName":"MULTIDISCIPLINARY SCIENCES","Score":null,"Total":0}
引用次数: 0

摘要

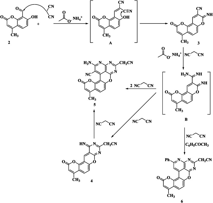
采用丙二腈与7-羟基-4-甲基-2-氧-2- h -铬-8-乙醛(2)在乙酸铵和不同酮类存在下直接反应合成了香豆素环上的多个吡啶嘧啶基团,并研究了其他碱催化、反应物配比和溶剂的影响。新合成的化合物对HepG2、WI-38、VERO和MCF-7四种细胞系的细胞毒活性进行了评价。细胞毒活性表明,化合物8、9、10和7对所研究的细胞系的细胞毒活性最高。通过分子对接分析,重点研究合成的抗癌活性最高的5个衍生物与4HJO残基特定氨基酸之间的结合亲和力和相互作用。与其他衍生品相比,衍生品10的能量得分最高,RMSD良好。
本文章由计算机程序翻译,如有差异,请以英文原文为准。

Design and synthesis of novel pyridopyrimidine moieties linked to coumarin ring of potentially active cytotoxic agents and their docking study.

Design and synthesis of novel pyridopyrimidine moieties linked to coumarin ring of potentially active cytotoxic agents and their docking study.

Design and synthesis of novel pyridopyrimidine moieties linked to coumarin ring of potentially active cytotoxic agents and their docking study.

Design and synthesis of novel pyridopyrimidine moieties linked to coumarin ring of potentially active cytotoxic agents and their docking study.

Many pyridopyrimidine moieties linked to the coumarin ring were synthesized by the reaction of malononitrile with 7-hydroxy-4-methyl-2-oxo-2 H-chromene-8-carbaldehyde (2) directly in the presence of ammonium acetate and different ketones and studied the effect of other basic catalysis, ratio of reactants and the effect of the solvent. The newly synthesized compounds were evaluated for their cytotoxic activity against four cell lines namely HepG2, WI-38, VERO, and MCF-7. The cytotoxic activity showed that compounds 8, 9, 10, and 7 have the highest activity against the studied cell lines. Focusing on the binding affinity and interactions between the five synthesized derivatives with the highest anticancer activity and specific amino acids of 4HJO residues over the molecular docking analysis. Derivative 10 recorded the highest energy score with good RMSD compared to the rest of the derivatives.

求助全文
通过发布文献求助,成功后即可免费获取论文全文。 去求助
来源期刊
Scientific Reports
Scientific Reports Natural Science Disciplines-
CiteScore
7.50
自引率
4.30%
发文量
19567
审稿时长
3.9 months
期刊介绍: We publish original research from all areas of the natural sciences, psychology, medicine and engineering. You can learn more about what we publish by browsing our specific scientific subject areas below or explore Scientific Reports by browsing all articles and collections. Scientific Reports has a 2-year impact factor: 4.380 (2021), and is the 6th most-cited journal in the world, with more than 540,000 citations in 2020 (Clarivate Analytics, 2021). •Engineering Engineering covers all aspects of engineering, technology, and applied science. It plays a crucial role in the development of technologies to address some of the world''s biggest challenges, helping to save lives and improve the way we live. •Physical sciences Physical sciences are those academic disciplines that aim to uncover the underlying laws of nature — often written in the language of mathematics. It is a collective term for areas of study including astronomy, chemistry, materials science and physics. •Earth and environmental sciences Earth and environmental sciences cover all aspects of Earth and planetary science and broadly encompass solid Earth processes, surface and atmospheric dynamics, Earth system history, climate and climate change, marine and freshwater systems, and ecology. It also considers the interactions between humans and these systems. •Biological sciences Biological sciences encompass all the divisions of natural sciences examining various aspects of vital processes. The concept includes anatomy, physiology, cell biology, biochemistry and biophysics, and covers all organisms from microorganisms, animals to plants. •Health sciences The health sciences study health, disease and healthcare. This field of study aims to develop knowledge, interventions and technology for use in healthcare to improve the treatment of patients.
×
引用
GB/T 7714-2015
复制
MLA
复制
APA
复制
导出至
BibTeX EndNote RefMan NoteFirst NoteExpress
×
提示
您的信息不完整,为了账户安全,请先补充。
现在去补充
×
提示
您因"违规操作"
具体请查看互助需知
我知道了
×
提示
确定
请完成安全验证×
copy
已复制链接
快去分享给好友吧!
我知道了
右上角分享
点击右上角分享
0
联系我们:info@booksci.cn Book学术提供免费学术资源搜索服务,方便国内外学者检索中英文文献。致力于提供最便捷和优质的服务体验。 Copyright © 2023 布克学术 All rights reserved.
京ICP备2023020795号-1
ghs 京公网安备 11010802042870号
Book学术文献互助
Book学术文献互助群
群 号:604180095
Book学术官方微信