总小管间质评分:一种简单有效的预测狼疮性肾炎长期死亡率和不良肾脏预后的指标。

IF 3.5 2区 医学 Q1 RHEUMATOLOGY
Xinxin Zhang, Manhuai Zhang, Xiaolei Shi, Wang Xiang, Yuewen Lu, Jiaqing Tan, Jianwen Yu, Hongjian Ye, Zhong Zhong, Jiang Lanping, Ruihan Tang, Xi Xia, Wei Chen
{"title":"总小管间质评分:一种简单有效的预测狼疮性肾炎长期死亡率和不良肾脏预后的指标。","authors":"Xinxin Zhang, Manhuai Zhang, Xiaolei Shi, Wang Xiang, Yuewen Lu, Jiaqing Tan, Jianwen Yu, Hongjian Ye, Zhong Zhong, Jiang Lanping, Ruihan Tang, Xi Xia, Wei Chen","doi":"10.1136/lupus-2025-001578","DOIUrl":null,"url":null,"abstract":"<p><strong>Objective: </strong>Most studies focused on glomerular lesions in lupus nephritis (LN). However, the predictive value for tubulointerstitial lesions remains less well understood and controversial. Here, we assessed the impact of tubulointerstitial lesions, quantified by Total Tubulointerstitial Lesions Score (TTS), on long-term renal outcomes and mortality in LN.</p><p><strong>Methods: </strong>We conducted a cohort study of 832 patients with LN diagnosed from 1996 to 2018 at the First Affiliated Hospital of Sun Yat-sen University. Patients were stratified by the median of TTS (TTS ≤2 vs TTS >2 groups), which included the total score of tubulointerstitial inflammation, tubular atrophy and interstitial fibrosis by the 2018 ISN/RPS (International Society of Nephrology and Renal Pathology Society) classification semi-score. We used Kaplan-Meier survival curves and Cox regression models to analyse the associations between TTS and patient outcomes.</p><p><strong>Results: </strong>Pearson's correlation analysis revealed that TTS was negatively correlated with estimated glomerular filtration rate, haemoglobin and serum albumin levels, while positively correlated with proteinuria levels. TTS was significantly higher in patients with proliferative LN. Kaplan-Meier analysis showed that patients with higher TTS had a higher risk of all-cause mortality and adverse renal outcomes. Multivariate Cox analysis identified TTS >2 (HR=1.50, 95% CI=1.02 to 2.22, p=0.039) and higher tubulointerstitial inflammation and tubular atrophy as the independent predictor of all-cause mortality, and TTS >2 (HR=1.63, 95% CI=1.05 to 2.52, p=0.030) and severer tubulointerstitial inflammation, tubular atrophy and interstitial fibrosis were independently associated with adverse renal outcomes.</p><p><strong>Conclusions: </strong>TTS provides a comprehensive assessment of renal tubulointerstitial lesions and is a simple and effective predictor of long-term mortality and adverse renal outcomes in LN.</p>","PeriodicalId":18126,"journal":{"name":"Lupus Science & Medicine","volume":"12 1","pages":""},"PeriodicalIF":3.5000,"publicationDate":"2025-06-20","publicationTypes":"Journal Article","fieldsOfStudy":null,"isOpenAccess":false,"openAccessPdf":"https://www.ncbi.nlm.nih.gov/pmc/articles/PMC12182180/pdf/","citationCount":"0","resultStr":"{\"title\":\"Total Tubulointerstitial Score: a simple and effective predictor of long-term mortality and adverse renal outcomes in lupus nephritis.\",\"authors\":\"Xinxin Zhang, Manhuai Zhang, Xiaolei Shi, Wang Xiang, Yuewen Lu, Jiaqing Tan, Jianwen Yu, Hongjian Ye, Zhong Zhong, Jiang Lanping, Ruihan Tang, Xi Xia, Wei Chen\",\"doi\":\"10.1136/lupus-2025-001578\",\"DOIUrl\":null,\"url\":null,\"abstract\":\"<p><strong>Objective: </strong>Most studies focused on glomerular lesions in lupus nephritis (LN). However, the predictive value for tubulointerstitial lesions remains less well understood and controversial. Here, we assessed the impact of tubulointerstitial lesions, quantified by Total Tubulointerstitial Lesions Score (TTS), on long-term renal outcomes and mortality in LN.</p><p><strong>Methods: </strong>We conducted a cohort study of 832 patients with LN diagnosed from 1996 to 2018 at the First Affiliated Hospital of Sun Yat-sen University. Patients were stratified by the median of TTS (TTS ≤2 vs TTS >2 groups), which included the total score of tubulointerstitial inflammation, tubular atrophy and interstitial fibrosis by the 2018 ISN/RPS (International Society of Nephrology and Renal Pathology Society) classification semi-score. We used Kaplan-Meier survival curves and Cox regression models to analyse the associations between TTS and patient outcomes.</p><p><strong>Results: </strong>Pearson's correlation analysis revealed that TTS was negatively correlated with estimated glomerular filtration rate, haemoglobin and serum albumin levels, while positively correlated with proteinuria levels. TTS was significantly higher in patients with proliferative LN. Kaplan-Meier analysis showed that patients with higher TTS had a higher risk of all-cause mortality and adverse renal outcomes. Multivariate Cox analysis identified TTS >2 (HR=1.50, 95% CI=1.02 to 2.22, p=0.039) and higher tubulointerstitial inflammation and tubular atrophy as the independent predictor of all-cause mortality, and TTS >2 (HR=1.63, 95% CI=1.05 to 2.52, p=0.030) and severer tubulointerstitial inflammation, tubular atrophy and interstitial fibrosis were independently associated with adverse renal outcomes.</p><p><strong>Conclusions: </strong>TTS provides a comprehensive assessment of renal tubulointerstitial lesions and is a simple and effective predictor of long-term mortality and adverse renal outcomes in LN.</p>\",\"PeriodicalId\":18126,\"journal\":{\"name\":\"Lupus Science & Medicine\",\"volume\":\"12 1\",\"pages\":\"\"},\"PeriodicalIF\":3.5000,\"publicationDate\":\"2025-06-20\",\"publicationTypes\":\"Journal Article\",\"fieldsOfStudy\":null,\"isOpenAccess\":false,\"openAccessPdf\":\"https://www.ncbi.nlm.nih.gov/pmc/articles/PMC12182180/pdf/\",\"citationCount\":\"0\",\"resultStr\":null,\"platform\":\"Semanticscholar\",\"paperid\":null,\"PeriodicalName\":\"Lupus Science & Medicine\",\"FirstCategoryId\":\"3\",\"ListUrlMain\":\"https://doi.org/10.1136/lupus-2025-001578\",\"RegionNum\":2,\"RegionCategory\":\"医学\",\"ArticlePicture\":[],\"TitleCN\":null,\"AbstractTextCN\":null,\"PMCID\":null,\"EPubDate\":\"\",\"PubModel\":\"\",\"JCR\":\"Q1\",\"JCRName\":\"RHEUMATOLOGY\",\"Score\":null,\"Total\":0}","platform":"Semanticscholar","paperid":null,"PeriodicalName":"Lupus Science & Medicine","FirstCategoryId":"3","ListUrlMain":"https://doi.org/10.1136/lupus-2025-001578","RegionNum":2,"RegionCategory":"医学","ArticlePicture":[],"TitleCN":null,"AbstractTextCN":null,"PMCID":null,"EPubDate":"","PubModel":"","JCR":"Q1","JCRName":"RHEUMATOLOGY","Score":null,"Total":0}
引用次数: 0

摘要

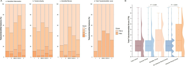
目的:大多数研究集中在狼疮性肾炎(LN)的肾小球病变。然而,对小管间质病变的预测价值仍然不太清楚和有争议。在这里,我们评估了用总管间质病变评分(TTS)量化的管间质病变对LN患者长期肾脏预后和死亡率的影响。方法:我们对1996年至2018年中山大学第一附属医院诊断为LN的832例患者进行了队列研究。根据TTS的中位数(TTS≤2 vs TTS bbbb2组)对患者进行分层,其中包括2018年ISN/RPS(国际肾脏病与肾脏病理学会)分类半分的小管间质炎症、小管萎缩和间质纤维化的总分。我们使用Kaplan-Meier生存曲线和Cox回归模型来分析TTS与患者预后之间的关系。结果:Pearson相关分析显示,TTS与估算的肾小球滤过率、血红蛋白和血清白蛋白水平呈负相关,与蛋白尿水平呈正相关。增生性LN患者TTS显著增高。Kaplan-Meier分析显示,TTS较高的患者有较高的全因死亡率和不良肾脏结局风险。多因素Cox分析发现,TTS >2 (HR=1.50, 95% CI=1.02 ~ 2.22, p=0.039)和较高的小管间质炎症和小管萎缩是全因死亡率的独立预测因子,TTS >2 (HR=1.63, 95% CI=1.05 ~ 2.52, p=0.030)和较严重的小管间质炎症、小管萎缩和间质纤维化与肾脏不良结局独立相关。结论:TTS提供了肾小管间质病变的全面评估,是LN患者长期死亡率和不良肾脏结局的简单有效预测指标。
本文章由计算机程序翻译,如有差异,请以英文原文为准。

Total Tubulointerstitial Score: a simple and effective predictor of long-term mortality and adverse renal outcomes in lupus nephritis.

Total Tubulointerstitial Score: a simple and effective predictor of long-term mortality and adverse renal outcomes in lupus nephritis.

Total Tubulointerstitial Score: a simple and effective predictor of long-term mortality and adverse renal outcomes in lupus nephritis.

Total Tubulointerstitial Score: a simple and effective predictor of long-term mortality and adverse renal outcomes in lupus nephritis.

Objective: Most studies focused on glomerular lesions in lupus nephritis (LN). However, the predictive value for tubulointerstitial lesions remains less well understood and controversial. Here, we assessed the impact of tubulointerstitial lesions, quantified by Total Tubulointerstitial Lesions Score (TTS), on long-term renal outcomes and mortality in LN.

Methods: We conducted a cohort study of 832 patients with LN diagnosed from 1996 to 2018 at the First Affiliated Hospital of Sun Yat-sen University. Patients were stratified by the median of TTS (TTS ≤2 vs TTS >2 groups), which included the total score of tubulointerstitial inflammation, tubular atrophy and interstitial fibrosis by the 2018 ISN/RPS (International Society of Nephrology and Renal Pathology Society) classification semi-score. We used Kaplan-Meier survival curves and Cox regression models to analyse the associations between TTS and patient outcomes.

Results: Pearson's correlation analysis revealed that TTS was negatively correlated with estimated glomerular filtration rate, haemoglobin and serum albumin levels, while positively correlated with proteinuria levels. TTS was significantly higher in patients with proliferative LN. Kaplan-Meier analysis showed that patients with higher TTS had a higher risk of all-cause mortality and adverse renal outcomes. Multivariate Cox analysis identified TTS >2 (HR=1.50, 95% CI=1.02 to 2.22, p=0.039) and higher tubulointerstitial inflammation and tubular atrophy as the independent predictor of all-cause mortality, and TTS >2 (HR=1.63, 95% CI=1.05 to 2.52, p=0.030) and severer tubulointerstitial inflammation, tubular atrophy and interstitial fibrosis were independently associated with adverse renal outcomes.

Conclusions: TTS provides a comprehensive assessment of renal tubulointerstitial lesions and is a simple and effective predictor of long-term mortality and adverse renal outcomes in LN.

求助全文
通过发布文献求助,成功后即可免费获取论文全文。 去求助
来源期刊
Lupus Science & Medicine
Lupus Science & Medicine RHEUMATOLOGY-
CiteScore
5.30
自引率
7.70%
发文量
88
审稿时长
15 weeks
期刊介绍: Lupus Science & Medicine is a global, peer reviewed, open access online journal that provides a central point for publication of basic, clinical, translational, and epidemiological studies of all aspects of lupus and related diseases. It is the first lupus-specific open access journal in the world and was developed in response to the need for a barrier-free forum for publication of groundbreaking studies in lupus. The journal publishes research on lupus from fields including, but not limited to: rheumatology, dermatology, nephrology, immunology, pediatrics, cardiology, hepatology, pulmonology, obstetrics and gynecology, and psychiatry.
×
引用
GB/T 7714-2015
复制
MLA
复制
APA
复制
导出至
BibTeX EndNote RefMan NoteFirst NoteExpress
×
提示
您的信息不完整,为了账户安全,请先补充。
现在去补充
×
提示
您因"违规操作"
具体请查看互助需知
我知道了
×
提示
确定
请完成安全验证×
copy
已复制链接
快去分享给好友吧!
我知道了
右上角分享
点击右上角分享
0
联系我们:info@booksci.cn Book学术提供免费学术资源搜索服务,方便国内外学者检索中英文文献。致力于提供最便捷和优质的服务体验。 Copyright © 2023 布克学术 All rights reserved.
京ICP备2023020795号-1
ghs 京公网安备 11010802042870号
Book学术文献互助
Book学术文献互助群
群 号:604180095
Book学术官方微信