肌萎缩侧索硬化症的预后因素:同一问题的不同方法。

IF 1.6 4区 医学 Q4 NEUROSCIENCES
Arquivos de neuro-psiquiatria Pub Date : 2025-06-01 Epub Date: 2025-06-20 DOI:10.1055/s-0045-1809407
Maria Cristina Vázquez, Abayubá Perna, Mariana Legnani, Gustavo Saona
{"title":"肌萎缩侧索硬化症的预后因素:同一问题的不同方法。","authors":"Maria Cristina Vázquez, Abayubá Perna, Mariana Legnani, Gustavo Saona","doi":"10.1055/s-0045-1809407","DOIUrl":null,"url":null,"abstract":"<p><p>The natural history of amyotrophic lateral sclerosis (ALS), the prognoses, and the survival times are fields of considerable interest that are scarcely studied in South American countries.To describe the survival of a representative cohort of Uruguayan ALS patients, and to identify covariates associated with survival using different analyses.Survival was assessed using the Kaplan-Meier method. Different Cox proportional hazards functions were used to identify independent prognostic predictors since the diagnosis: classic, stratified, and truncated.We included 166 definite and probable ALS patients. The median follow-up was of 13.6 years. An analysis was performed according to the recruitment groups: prevalent, exhaustive incident, and non-exhaustive incident cases. The median survival since the diagnosis was longer in the prevalent group (33 months) than in the exhaustive incident (22 months) and non-exhaustive incident (14 months) groups. The median survival time of the entire cohort from onset to death was 37 months and 23 months from the diagnosis. Factors related to survival from diagnosis to death were: age at onset, bulbar region onset, clinical form, and progression rate.The present study described the role of clinical and demographic factors in ALS survival in the Uruguayan population and shed light on differences involving survival models and the temporal bias produced by the lack of precision in determining the onset of the disease.</p>","PeriodicalId":8694,"journal":{"name":"Arquivos de neuro-psiquiatria","volume":"83 6","pages":"1-7"},"PeriodicalIF":1.6000,"publicationDate":"2025-06-01","publicationTypes":"Journal Article","fieldsOfStudy":null,"isOpenAccess":false,"openAccessPdf":"https://www.ncbi.nlm.nih.gov/pmc/articles/PMC12180952/pdf/","citationCount":"0","resultStr":"{\"title\":\"Prognostic factors in ALS: different approaches to the same problem.\",\"authors\":\"Maria Cristina Vázquez, Abayubá Perna, Mariana Legnani, Gustavo Saona\",\"doi\":\"10.1055/s-0045-1809407\",\"DOIUrl\":null,\"url\":null,\"abstract\":\"<p><p>The natural history of amyotrophic lateral sclerosis (ALS), the prognoses, and the survival times are fields of considerable interest that are scarcely studied in South American countries.To describe the survival of a representative cohort of Uruguayan ALS patients, and to identify covariates associated with survival using different analyses.Survival was assessed using the Kaplan-Meier method. Different Cox proportional hazards functions were used to identify independent prognostic predictors since the diagnosis: classic, stratified, and truncated.We included 166 definite and probable ALS patients. The median follow-up was of 13.6 years. An analysis was performed according to the recruitment groups: prevalent, exhaustive incident, and non-exhaustive incident cases. The median survival since the diagnosis was longer in the prevalent group (33 months) than in the exhaustive incident (22 months) and non-exhaustive incident (14 months) groups. The median survival time of the entire cohort from onset to death was 37 months and 23 months from the diagnosis. Factors related to survival from diagnosis to death were: age at onset, bulbar region onset, clinical form, and progression rate.The present study described the role of clinical and demographic factors in ALS survival in the Uruguayan population and shed light on differences involving survival models and the temporal bias produced by the lack of precision in determining the onset of the disease.</p>\",\"PeriodicalId\":8694,\"journal\":{\"name\":\"Arquivos de neuro-psiquiatria\",\"volume\":\"83 6\",\"pages\":\"1-7\"},\"PeriodicalIF\":1.6000,\"publicationDate\":\"2025-06-01\",\"publicationTypes\":\"Journal Article\",\"fieldsOfStudy\":null,\"isOpenAccess\":false,\"openAccessPdf\":\"https://www.ncbi.nlm.nih.gov/pmc/articles/PMC12180952/pdf/\",\"citationCount\":\"0\",\"resultStr\":null,\"platform\":\"Semanticscholar\",\"paperid\":null,\"PeriodicalName\":\"Arquivos de neuro-psiquiatria\",\"FirstCategoryId\":\"3\",\"ListUrlMain\":\"https://doi.org/10.1055/s-0045-1809407\",\"RegionNum\":4,\"RegionCategory\":\"医学\",\"ArticlePicture\":[],\"TitleCN\":null,\"AbstractTextCN\":null,\"PMCID\":null,\"EPubDate\":\"2025/6/20 0:00:00\",\"PubModel\":\"Epub\",\"JCR\":\"Q4\",\"JCRName\":\"NEUROSCIENCES\",\"Score\":null,\"Total\":0}","platform":"Semanticscholar","paperid":null,"PeriodicalName":"Arquivos de neuro-psiquiatria","FirstCategoryId":"3","ListUrlMain":"https://doi.org/10.1055/s-0045-1809407","RegionNum":4,"RegionCategory":"医学","ArticlePicture":[],"TitleCN":null,"AbstractTextCN":null,"PMCID":null,"EPubDate":"2025/6/20 0:00:00","PubModel":"Epub","JCR":"Q4","JCRName":"NEUROSCIENCES","Score":null,"Total":0}
引用次数: 0

摘要

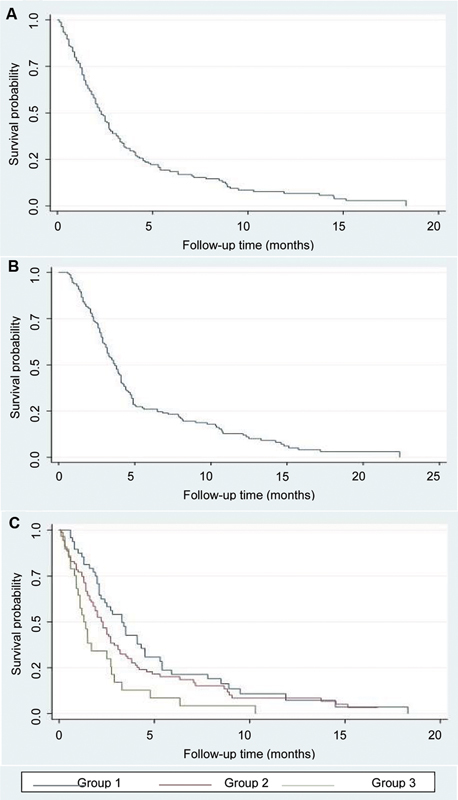
肌萎缩性侧索硬化症(ALS)的自然史、预后和生存时间是相当感兴趣的领域,在南美国家几乎没有研究。描述乌拉圭ALS患者的代表性队列的生存,并使用不同的分析确定与生存相关的协变量。生存率采用Kaplan-Meier法评估。自诊断以来,使用不同的Cox比例风险函数来确定独立的预后预测因子:经典、分层和截断。我们纳入了166例明确和可能的ALS患者。中位随访时间为13.6年。根据招募组进行分析:普遍事件、详尽事件和非详尽事件案例。自诊断以来,流行组的中位生存期(33个月)长于穷尽事件组(22个月)和非穷尽事件组(14个月)。整个队列从发病到死亡的中位生存时间为37个月,从诊断到死亡的中位生存时间为23个月。从诊断到死亡的相关生存因素是:发病年龄、球区发病、临床形式和进展率。本研究描述了临床和人口学因素在乌拉圭ALS患者生存中的作用,并阐明了生存模型的差异以及由于确定疾病发病缺乏准确性而产生的时间偏差。
本文章由计算机程序翻译,如有差异,请以英文原文为准。

Prognostic factors in ALS: different approaches to the same problem.

Prognostic factors in ALS: different approaches to the same problem.

Prognostic factors in ALS: different approaches to the same problem.

The natural history of amyotrophic lateral sclerosis (ALS), the prognoses, and the survival times are fields of considerable interest that are scarcely studied in South American countries.To describe the survival of a representative cohort of Uruguayan ALS patients, and to identify covariates associated with survival using different analyses.Survival was assessed using the Kaplan-Meier method. Different Cox proportional hazards functions were used to identify independent prognostic predictors since the diagnosis: classic, stratified, and truncated.We included 166 definite and probable ALS patients. The median follow-up was of 13.6 years. An analysis was performed according to the recruitment groups: prevalent, exhaustive incident, and non-exhaustive incident cases. The median survival since the diagnosis was longer in the prevalent group (33 months) than in the exhaustive incident (22 months) and non-exhaustive incident (14 months) groups. The median survival time of the entire cohort from onset to death was 37 months and 23 months from the diagnosis. Factors related to survival from diagnosis to death were: age at onset, bulbar region onset, clinical form, and progression rate.The present study described the role of clinical and demographic factors in ALS survival in the Uruguayan population and shed light on differences involving survival models and the temporal bias produced by the lack of precision in determining the onset of the disease.

求助全文
通过发布文献求助,成功后即可免费获取论文全文。 去求助
来源期刊
Arquivos de neuro-psiquiatria
Arquivos de neuro-psiquiatria 医学-精神病学
CiteScore
2.10
自引率
7.10%
发文量
262
审稿时长
4-8 weeks
期刊介绍: Arquivos de Neuro-Psiquiatria is the official journal of the Brazilian Academy of Neurology. The mission of the journal is to provide neurologists, specialists and researchers in Neurology and related fields with open access to original articles (clinical and translational research), editorials, reviews, historical papers, neuroimages and letters about published manuscripts. It also publishes the consensus and guidelines on Neurology, as well as educational and scientific material from the different scientific departments of the Brazilian Academy of Neurology. The ultimate goals of the journal are to contribute to advance knowledge in the areas of Neurology and Neuroscience, and to provide valuable material for training and continuing education for neurologists and other health professionals working in the area. These goals might contribute to improving care for patients with neurological diseases. We aim to be the best Neuroscience journal in Latin America within the peer review system.
×
引用
GB/T 7714-2015
复制
MLA
复制
APA
复制
导出至
BibTeX EndNote RefMan NoteFirst NoteExpress
×
提示
您的信息不完整,为了账户安全,请先补充。
现在去补充
×
提示
您因"违规操作"
具体请查看互助需知
我知道了
×
提示
确定
请完成安全验证×
copy
已复制链接
快去分享给好友吧!
我知道了
右上角分享
点击右上角分享
0
联系我们:info@booksci.cn Book学术提供免费学术资源搜索服务,方便国内外学者检索中英文文献。致力于提供最便捷和优质的服务体验。 Copyright © 2023 布克学术 All rights reserved.
京ICP备2023020795号-1
ghs 京公网安备 11010802042870号
Book学术文献互助
Book学术文献互助群
群 号:604180095
Book学术官方微信