单剂23价肺炎球菌多糖疫苗的免疫持久性:6年随访

IF 3.5 4区 医学 Q2 BIOTECHNOLOGY & APPLIED MICROBIOLOGY
Human Vaccines & Immunotherapeutics Pub Date : 2025-12-01 Epub Date: 2025-06-19 DOI:10.1080/21645515.2025.2517489
Lili Huang, Xinyi Yang, Hong Li, Zhiqiang Xie, Taotao Zhu, Wangyang You, Zeng Wang, Jiebing Tan, Guangwei Feng, Qingmin Sun, Bin Wang, Xing Han, Yanxia Wang
{"title":"单剂23价肺炎球菌多糖疫苗的免疫持久性:6年随访","authors":"Lili Huang, Xinyi Yang, Hong Li, Zhiqiang Xie, Taotao Zhu, Wangyang You, Zeng Wang, Jiebing Tan, Guangwei Feng, Qingmin Sun, Bin Wang, Xing Han, Yanxia Wang","doi":"10.1080/21645515.2025.2517489","DOIUrl":null,"url":null,"abstract":"<p><p>In a previous phase 3 clinical trial, a 23-valent pneumococcal polysaccharide vaccine (PPV23) induced robust immune responses in participants aged 2 years and older. We conducted this study to evaluate the immune persistence of a single dose of PPV23 6 years after vaccination. In this follow-up study, 600 participants aged 2 years and older (referred to the age of vaccination) who had received a single dose of either test vaccine or control vaccine in the previous clinical trial were enrolled in a 3:1 ratio. Blood samples were collected to determine anti-capsular immunoglobulin G (IgG) antibody levels against 23 serotypes with enzyme-linked immunosorbent assay (ELISA). A total of 598 subjects were included for immune persistence analysis. Six years after vaccination, the geometric mean concentrations (GMCs) of IgG antibodies to most serotypes remained higher than prior to vaccination in both groups (1.1-1.8 folds vs.1.1-1.7 folds), although there was a significant decrease compared to 28 days. The results suggested PPV23 could provide protection 6 years after vaccination. Considering the significant decrease of antibody level, the revaccination in high-risk population may be needed.<b>Trial registration:</b> ClinicalTrial.gov identifier: NCT03480763.</p>","PeriodicalId":49067,"journal":{"name":"Human Vaccines & Immunotherapeutics","volume":"21 1","pages":"2517489"},"PeriodicalIF":3.5000,"publicationDate":"2025-12-01","publicationTypes":"Journal Article","fieldsOfStudy":null,"isOpenAccess":false,"openAccessPdf":"https://www.ncbi.nlm.nih.gov/pmc/articles/PMC12184158/pdf/","citationCount":"0","resultStr":"{\"title\":\"Immune persistence of a single dose of 23-valent pneumococcal polysaccharide vaccine: A 6-year follow-up.\",\"authors\":\"Lili Huang, Xinyi Yang, Hong Li, Zhiqiang Xie, Taotao Zhu, Wangyang You, Zeng Wang, Jiebing Tan, Guangwei Feng, Qingmin Sun, Bin Wang, Xing Han, Yanxia Wang\",\"doi\":\"10.1080/21645515.2025.2517489\",\"DOIUrl\":null,\"url\":null,\"abstract\":\"<p><p>In a previous phase 3 clinical trial, a 23-valent pneumococcal polysaccharide vaccine (PPV23) induced robust immune responses in participants aged 2 years and older. We conducted this study to evaluate the immune persistence of a single dose of PPV23 6 years after vaccination. In this follow-up study, 600 participants aged 2 years and older (referred to the age of vaccination) who had received a single dose of either test vaccine or control vaccine in the previous clinical trial were enrolled in a 3:1 ratio. Blood samples were collected to determine anti-capsular immunoglobulin G (IgG) antibody levels against 23 serotypes with enzyme-linked immunosorbent assay (ELISA). A total of 598 subjects were included for immune persistence analysis. Six years after vaccination, the geometric mean concentrations (GMCs) of IgG antibodies to most serotypes remained higher than prior to vaccination in both groups (1.1-1.8 folds vs.1.1-1.7 folds), although there was a significant decrease compared to 28 days. The results suggested PPV23 could provide protection 6 years after vaccination. Considering the significant decrease of antibody level, the revaccination in high-risk population may be needed.<b>Trial registration:</b> ClinicalTrial.gov identifier: NCT03480763.</p>\",\"PeriodicalId\":49067,\"journal\":{\"name\":\"Human Vaccines & Immunotherapeutics\",\"volume\":\"21 1\",\"pages\":\"2517489\"},\"PeriodicalIF\":3.5000,\"publicationDate\":\"2025-12-01\",\"publicationTypes\":\"Journal Article\",\"fieldsOfStudy\":null,\"isOpenAccess\":false,\"openAccessPdf\":\"https://www.ncbi.nlm.nih.gov/pmc/articles/PMC12184158/pdf/\",\"citationCount\":\"0\",\"resultStr\":null,\"platform\":\"Semanticscholar\",\"paperid\":null,\"PeriodicalName\":\"Human Vaccines & Immunotherapeutics\",\"FirstCategoryId\":\"3\",\"ListUrlMain\":\"https://doi.org/10.1080/21645515.2025.2517489\",\"RegionNum\":4,\"RegionCategory\":\"医学\",\"ArticlePicture\":[],\"TitleCN\":null,\"AbstractTextCN\":null,\"PMCID\":null,\"EPubDate\":\"2025/6/19 0:00:00\",\"PubModel\":\"Epub\",\"JCR\":\"Q2\",\"JCRName\":\"BIOTECHNOLOGY & APPLIED MICROBIOLOGY\",\"Score\":null,\"Total\":0}","platform":"Semanticscholar","paperid":null,"PeriodicalName":"Human Vaccines & Immunotherapeutics","FirstCategoryId":"3","ListUrlMain":"https://doi.org/10.1080/21645515.2025.2517489","RegionNum":4,"RegionCategory":"医学","ArticlePicture":[],"TitleCN":null,"AbstractTextCN":null,"PMCID":null,"EPubDate":"2025/6/19 0:00:00","PubModel":"Epub","JCR":"Q2","JCRName":"BIOTECHNOLOGY & APPLIED MICROBIOLOGY","Score":null,"Total":0}
引用次数: 0

摘要

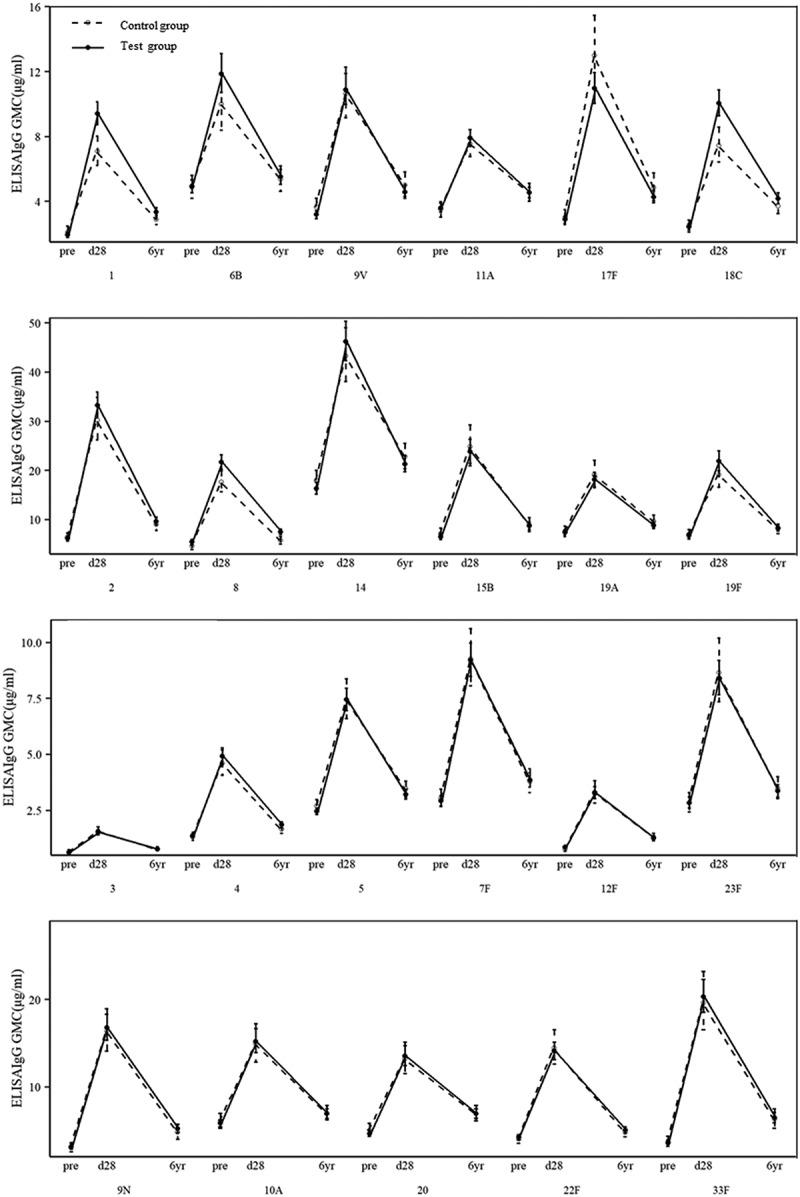
在之前的一项3期临床试验中,一种23价肺炎球菌多糖疫苗(PPV23)在2岁及以上的参与者中诱导了强大的免疫应答。我们进行了这项研究,以评估接种后6年单剂量PPV23的免疫持久性。在这项随访研究中,600名年龄在2岁及以上(指接种疫苗的年龄)的参与者按3:1的比例入组,他们在之前的临床试验中接受了单剂量的试验疫苗或对照疫苗。采用酶联免疫吸附试验(ELISA)测定23种血清型患者的抗荚膜免疫球蛋白G (IgG)抗体水平。共纳入598名受试者进行免疫持久性分析。接种疫苗6年后,两组大多数血清型IgG抗体的几何平均浓度(GMCs)仍高于接种前(1.1-1.8倍vs 1.1-1.7倍),尽管与接种前28天相比有显著下降。结果表明,PPV23在接种后6年仍有保护作用。考虑到抗体水平明显下降,高危人群可能需要重新接种疫苗。试验注册:ClinicalTrial.gov标识符:NCT03480763。
本文章由计算机程序翻译,如有差异,请以英文原文为准。

Immune persistence of a single dose of 23-valent pneumococcal polysaccharide vaccine: A 6-year follow-up.

Immune persistence of a single dose of 23-valent pneumococcal polysaccharide vaccine: A 6-year follow-up.

In a previous phase 3 clinical trial, a 23-valent pneumococcal polysaccharide vaccine (PPV23) induced robust immune responses in participants aged 2 years and older. We conducted this study to evaluate the immune persistence of a single dose of PPV23 6 years after vaccination. In this follow-up study, 600 participants aged 2 years and older (referred to the age of vaccination) who had received a single dose of either test vaccine or control vaccine in the previous clinical trial were enrolled in a 3:1 ratio. Blood samples were collected to determine anti-capsular immunoglobulin G (IgG) antibody levels against 23 serotypes with enzyme-linked immunosorbent assay (ELISA). A total of 598 subjects were included for immune persistence analysis. Six years after vaccination, the geometric mean concentrations (GMCs) of IgG antibodies to most serotypes remained higher than prior to vaccination in both groups (1.1-1.8 folds vs.1.1-1.7 folds), although there was a significant decrease compared to 28 days. The results suggested PPV23 could provide protection 6 years after vaccination. Considering the significant decrease of antibody level, the revaccination in high-risk population may be needed.Trial registration: ClinicalTrial.gov identifier: NCT03480763.

求助全文
通过发布文献求助,成功后即可免费获取论文全文。 去求助
来源期刊
Human Vaccines & Immunotherapeutics
Human Vaccines & Immunotherapeutics BIOTECHNOLOGY & APPLIED MICROBIOLOGY-IMMUNOLOGY
CiteScore
7.90
自引率
8.30%
发文量
489
审稿时长
3-6 weeks
期刊介绍: (formerly Human Vaccines; issn 1554-8619) Vaccine research and development is extending its reach beyond the prevention of bacterial or viral diseases. There are experimental vaccines for immunotherapeutic purposes and for applications outside of infectious diseases, in diverse fields such as cancer, autoimmunity, allergy, Alzheimer’s and addiction. Many of these vaccines and immunotherapeutics should become available in the next two decades, with consequent benefit for human health. Continued advancement in this field will benefit from a forum that can (A) help to promote interest by keeping investigators updated, and (B) enable an exchange of ideas regarding the latest progress in the many topics pertaining to vaccines and immunotherapeutics. Human Vaccines & Immunotherapeutics provides such a forum. It is published monthly in a format that is accessible to a wide international audience in the academic, industrial and public sectors.
×
引用
GB/T 7714-2015
复制
MLA
复制
APA
复制
导出至
BibTeX EndNote RefMan NoteFirst NoteExpress
×
提示
您的信息不完整,为了账户安全,请先补充。
现在去补充
×
提示
您因"违规操作"
具体请查看互助需知
我知道了
×
提示
确定
请完成安全验证×
copy
已复制链接
快去分享给好友吧!
我知道了
右上角分享
点击右上角分享
0
联系我们:info@booksci.cn Book学术提供免费学术资源搜索服务,方便国内外学者检索中英文文献。致力于提供最便捷和优质的服务体验。 Copyright © 2023 布克学术 All rights reserved.
京ICP备2023020795号-1
ghs 京公网安备 11010802042870号
Book学术文献互助
Book学术文献互助群
群 号:604180095
Book学术官方微信